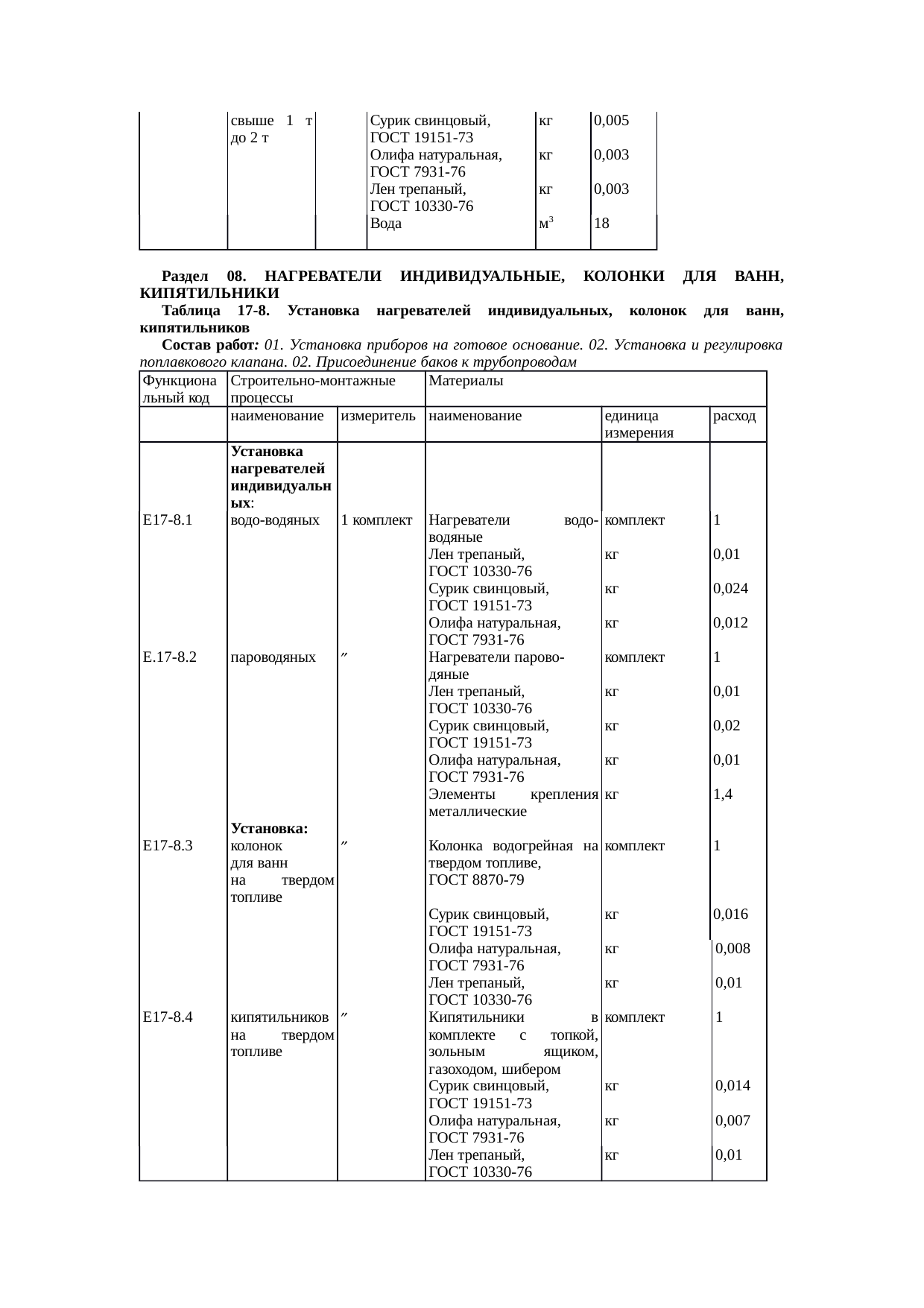
Водопровод и канализация — внутренние устройства
На нашем сайте можно бесплатно скачать Руководящий документ НПРМ Сборник 17 в удобном формате. Узнать актуальный статус документа «Водопровод и канализация — внутренние устройства» на 2016 год.
Скрыть дополнительную информацию

Страница 1

Страница 2

Страница 3

Страница 4

Страница 5

Страница 6

Страница 7

Страница 8

Страница 9

Страница 10

Страница 11

Страница 12

Страница 13

Страница 14

Страница 15

Страница 16

Страница 17

Страница 18

Страница 19
