Эмали ПФ-115. Технические условия
Заменяет

Страница 1

Страница 2

Страница 3

Страница 4

Страница 5

Страница 6

Страница 7

Страница 8

Страница 9

Страница 10

Страница 11

Страница 12

Страница 13

Страница 14
ГОСТ 6465-76
МЕЖГОСУДАРСТВЕННЫЙ СТАНДАРТ
ЭМАЛИ ПФ-115
ТЕХНИЧЕСКИЕ УСЛОВИЯ
ИПК ИЗДАТЕЛЬСТВО СТАНДАРТОВ
Москва
МЕЖГОСУДАРСТВЕННЫЙ СТАНДАРТ
|
ЭМАЛИ ПФ-115 Технические условия Enamels ПФ-115. |
ГОСТ |
Дата введения 01.07.77
Настоящий стандарт распространяется на эмали ПФ-115 различных цветов, представляющие собой суспензии двуокиси титана рутильной формы и других пигментов и наполнителей в пентафталевом лаке с добавлением сиккатива и растворителей.
Эмали ПФ-115 предназначаются для окраски металлических, деревянных и других поверхностей, подвергающихся атмосферным воздействиям и для окраски внутри помещений.
(Измененная редакция. Изм. № 5).
Покрытие, состоящее из двух слоев эмали ПФ-115, нанесенных на подготовленную загрунтованную поверхность, в умеренном и холодном климате сохраняет защитные свойства в течение четырех лет до балла не более АЗ1 и декоративные свойства в течение одного года до балла не более АД2 по ГОСТ 9.401-91.
(Измененная редакция. Изм. № 5).
В тропическом климате покрытие, состоящее из двух слоев эмали, нанесенных на подготовленную загрунтованную поверхность, сохраняет защитные и декоративные свойства в соответствии с ГОСТ 9.401-91.
(Измененная редакция. Изм. № 5).
Защитные и декоративные свойства оценивают по ГОСТ 9.407 (после обработки покрытия полировочным составом).
Пленка эмали устойчива к изменению температуры от минус 50 до плюс 60 °С.
Эмали ПФ-115 наносят на поверхность методами распыления, струйного облива, окунания и кистью.
(Измененная редакция, Изм. № 3, 4).
Обязательные требования, направленные на обеспечение безопасности эмали ПФ-115 для жизни, здоровья и имущества граждан, охрану окружающей среды, изложены в п. 1.4 (табл. 1, показатели 5, 14, 15, 16), пп. 4.1, 4.2.
(Измененная редакция. Изм. № 5).
1. ТЕХНИЧЕСКИЕ ТРЕБОВАНИЯ
1.1. Эмали ПФ-115 должны изготовляться в соответствии с требованиями настоящего стандарта по рецептуре и технологическому регламенту, утвержденным в установленном порядке.
1.2. Эмали ПФ-115 должны выпускаться следующих цветов, указанных в табл. 1а.
Таблица 1а
|
Наименование цвета |
Код ОКП |
|
|
Высший сорт |
Первый сорт |
|
|
Красный |
— |
23 1222 0406 01 |
|
Вишневый |
— |
23 1222 0424 10 |
|
Красно-оранжевый |
23 1222 0557 09 |
23 1222 0457 01 |
|
Кремовый |
23 1222 0514 09 |
23 1222 0414 01 |
|
Бледно-желтый |
23 1222 0579 03 |
23 1222 0479 06 |
|
Светло-желтый |
23 1222 0561 02 |
23 1222 0461 05 |
|
Желтый |
23 1222 0504 00 |
23 1222 0404 03 |
|
Темно-зеленый |
23 1222 0568 06 |
23 1222 0468 09 |
|
Зеленый |
23 1222 0508 07 |
23 1222 0408 10 |
|
Фисташковый |
23 1222 0543 04 |
23 1222 0443 07 |
|
Голубой 423 |
23 1222 0510 02 |
23 1222 0410 05 |
|
Синий |
23 1222 0507 08 |
23 1222 0407 00 |
|
Голубой 451 |
23 1222 0571 00 |
23 1222 0471 03 |
|
Серо-голубой |
23 1222 0555 00 |
23 1222 0455 03 |
|
Серый |
23 1222 0539 00 |
23 1222 0439 03 |
|
Светло-серый |
23 1222 0559 07 |
23 1222 0459 10 |
|
Коричневый |
23 1222 0509 06 |
23 1222 0409 09 |
|
Светло-бежевый |
23 1222 0596 02 |
23 1222 0496 05 |
|
Бежевый |
23 1222 0517 06 |
23 1222 0417 09 |
|
Красно-коричневый |
23 1222 0558 08 |
23 1222 0458 00 |
|
Темно-серый 894 |
23 1222 0503 01 |
23 1222 0403 04 |
|
Темно-серый 896 |
23 1222 0560 03 |
23 1222 0460 06 |
|
Белый |
23 1222 0501 03 |
23 1222 0401 06 |
|
Черный |
— |
23 1222 0402 05 |
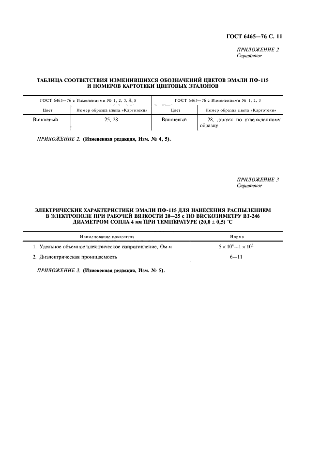
Соответствие изменившихся обозначений цветов эмали приведено в приложении 2.
(Измененная редакция, Изм. № 2, 3, 4).
1.2а. (Исключен, Изм. № 4).
1.3. Перед применением эмали разбавляют до рабочей вязкости сольвентом по ГОСТ 1928 или ГОСТ 10214, уайт-спиритом (нефрасом-С4-155/200) по ГОСТ 3134, скипидаром по ГОСТ 1571 или их смесью в соотношении 1:1 по массе ксилолом по ГОСТ 9410-78 или ГОСТ 9949-76.
(Измененная редакция. Изм. № 5).
Для окраски изделий в электрополе эмали разбавляют до рабочей вязкости разбавителем РЭ-4В или РЭ-ЗВ по ГОСТ 18187. Способ применения эмали ПФ-115, предназначенной для розничной торговли, приведен в приложении 1. Электрические характеристики эмали для нанесения распылением в электрополе приведены в приложении 3.
(Измененная редакция, Изм. № 2, 3, 4).
1.3а. (Исключен. Изм. № 5).
1.4. Эмали ПФ-115 должны соответствовать требованиям и нормам, указанным в табл. 1.
Таблица 1
|
Наименование показателя |
Норма для эмали |
Метод испытания |
|
|
высший сорт |
первый сорт |
||
|
1. Цвет покрытия эмали: |
Должен находиться в пределах допускаемых отклонений, установленных образцами цвета «Картотеки» или контрольными образцами цвета, утвержденными в установленном порядке |
По п. 3.3 |
|
|
красный |
— |
9, 11 |
|
|
вишневый |
— |
25, 28 |
|
|
красно-оранжевый |
132, 133 |
132, 133 |
|
|
кремовый |
200, 201 |
200, 201 |
|
|
бледно-желтый |
207, 213 |
207, 213 |
|
|
светло-желтый |
211, 212 |
211, 212 |
|
|
желтый |
230, 231 |
230, 231 |
|
|
темно-зеленый |
311, 312 |
311, 312 |
|
|
зеленый |
343, 344 |
343, 344 |
|
|
фисташковый |
388, 389 |
388, 389 |
|
|
голубой 423 |
423, 424 |
423, 424 |
|
|
синий |
427, 428 |
427, 428 |
|
|
голубой 451 |
451, 452 |
451, 452 |
|
|
серо-голубой |
491, 492 |
491, 492 |
|
|
серый |
522, 536 |
522, 536 |
|
|
светло-серый |
583, 584 |
583, 584 |
|
|
коричневый |
619, 622 |
619, 622 |
|
|
светло-бежевый |
620, 621 |
620, 621 |
|
|
бежевый |
629, 630 |
629, 630 |
|
|
красно-коричневый |
632, 633 |
632, 633 |
|
|
темно-серый 894 |
894, 895 |
894, 895 |
|
|
темно-серый 896 |
896, 897 |
896, 897 |
|
|
белый |
Контрольные образцы цвета |
||
|
черный |
— |
Контрольные образцы цвета |
|
|
2. Внешний вид покрытия |
После высыхания эмаль должна образовывать гладкую, однородную без расслаивания, оспин, потеков, морщин и посторонних включений поверхность. Допускается небольшая шагрень. |
По п. 3.4 |
|
|
3. Блеск покрытия по фотоэлектрическому блескомеру, %, не менее |
По ГОСТ 896 |
||
|
красной, вишневой, черной |
— |
50 |
|
|
остальных цветов |
60 |
50 |
|
|
4. Условная вязкость по вискозиметру типа ВЗ-246 (с диаметром сопла 4 мм при температуре (20 ± 0,5) °С), с красной, вишневой, черной |
— |
60-100 |
По ГОСТ 8420 и п. 3.4а настоящего стандарта |
|
остальных цветов |
80-120 |
80-120 |
|
|
5. Массовая доля нелетучих веществ, %, для эмалей: |
По ГОСТ 17537 и п. 3.4б настоящего стандарта |
||
|
белой, светло-желтой |
62-68 |
62-68 |
|
|
кремовой, бежевой, светло-бежевой, голубой 451, голубой 423, фисташковой, темно-серой 894, темно-серой 896, серо-голубой, серой |
60-66 |
60-66 |
|
|
бледно-желтой, зеленой, темно-зеленой, красно-коричневой, желтой, красно-оранжевой |
64-70 |
64-70 |
|
|
синей, светло-серой, коричневой |
57-63 |
57-63 |
|
|
черной |
— |
49-55 |
|
|
красной, вишневой |
— |
52-58 |
|
|
6. Степень разбавления до вязкости 28-30 с по вискозиметру типа ВЗ-246 (с диаметром сопла 4 мм при температуре (20 ± 0,5) °С), %, не более |
20 |
20 |
По п. 3.5 |
|
7. Степень перетира, мкм, не более |
По ГОСТ 6589 |
||
|
белой |
10 |
25 |
|
|
красной, вишневой, черной |
— |
25 |
|
|
остальных цветов |
15 |
25 |
|
|
8. Укрывистость высушенной пленки, г/м2, не более, для эмалей: |
По ГОСТ 8784, разд. 1 и п. 3.6 настоящего стандарта |
||
|
белой |
60 |
100 |
|
|
бледно-желтой |
95 |
100 |
|
|
светло-желтой |
90 |
100 |
|
|
кремовой, красно-оранжевой |
85 |
90 |
|
|
бежевой |
50 |
55 |
|
|
светло-бежевой, фисташковой, серой, зеленой, голубой 423 |
55 |
60 |
|
|
желтой, голубой 451 |
65 |
70 |
|
|
серо-голубой |
50 |
60 |
|
|
темно-серой 896, красно-коричневой, синей |
35 |
40 |
|
|
темно-серой 894 |
40 |
55 |
|
|
коричневой |
40 |
40 |
|
|
т | |||
