Угли активные импрегнированные. Технические условия
На нашем сайте можно бесплатно скачать Руководящий документ ГОСТ 30268-95 в удобном формате. Узнать актуальный статус документа «Угли активные импрегнированные. Технические условия» на 2016 год.
Скрыть дополнительную информацию
Страница 1

Страница 2

Страница 3

Страница 4

Страница 5

Страница 6

Страница 7

Страница 8

Страница 9

Страница 10

Страница 11

Страница 12

Страница 13

Страница 14

Страница 15
ГОСТ 30268-95 МЕЖГОСУДАРСТВЕННЫЙ СТАНДАРТ
УГЛИ АКТИВНЫЕ ИМПРЕГНИРОВАННЫЕ
ТЕХНИЧЕСКИЕ УСЛОВИЯ
Издание официальное
I
3
МЕЖГОСУДАРСТВЕННЫЙ СОВЕТ ПО СТАНДАРТИЗАЦИИ. МЕТРОЛОГИИ И СЕРТИФИКАЦИИ Минск
ГОСТ 3026* 9S
Предисловие
1 РАЗРАБОТАН Украинским государственным консорциумом «ЭКОСОРБ»
ВНЕСЕН Техническим секретариатом Межгосударственного Совета по стандартизации, метрологии и сертификации
2 ПРИНЯТ Межгосударственным Советом по стандартизации, метрологии и сертификации 26 апреля 1995 г. (протокол N? 7 МГС)
За принятие проголосовали-
! «»“»“rSTKSST01‘»‘»
Российским Федерация j Госстандарт России
Республика Узбекистан | Узгосстамларт
Украина ] Госстандарт Украины
3 Постановлением Комитета Российской Федерации по стандартизации, метрологии и сертификации от 27.02.96 Nч 118 межгосударственный стандарт ГОСТ 30268-95 введен в действие непосредственно в качестве государственного стандарта с I января 1997 г.
4 ВВЕДЕН ВПЕРВЫЕ
© ИПК Издательство стандартов, 1996
Настоящий стандарт не может быть полностью или частично воспроизведен, тиражирован и распространен в качестве официального издания на территории Российской Федерации без разрешения Госстандарта России н
ГОСТ 30268-95
Содержание
1 Область применения…………………………1
2 Нормативные ссылки…………………………1
3 Классификация, марки…………………………3
4 Общие технические требовании………………………………..4
5 Требования безопасности……………………….6
6 Требования охраны окружающей среды………………7
7 Правила приемки…………………………….7
8 Методы контроля…………………………….8
9 Транспортирование и хранение……………………10
10 Указания по эксплуатации……………………..10
11 Гарантии изготовителя…………………………II
ill
ГОСТ 30268-95 МЕЖГОСУДАРСТВЕННЫЙ СТАНДАРТ
УГЛИ АКТИВНЫЕ ИМНРЕГНИРОВАННЫЕ
Технические у сломи
Active impregnated carbons Specifications
Дата меленмя 1997-01-01
1 ОБЛАСТЬ ПРИМЕНЕНИЯ
Настоящий стандарт распространяется на угли активные нмпрег-нированные (далее — угли), изютовляемые по действующей нормативной документации из угля активною КАУ-1 марки А обработкой его йодом или фосфатом титана.
Угли предназначены для сорбции токсических соединений из водных растворов, а также доочистки питьевой воды.
Обязательные требования к продукции, направленные на обеспечение ее безопасности для жизни и здоровья населения и охраны окружающей среды приведены в таблице I, пп.2, 3, 4. 5 и таблице 2. пп.2, 3, 5.
2 НОРМАТИВНЫЕ ССЫЛКИ
В настоящем стандарте есть ссылки на следующие нормативные документы:
ГОСТ 12.1.(ЮЗ—83 ССБТ. Шум. Общие требования безопасности
ГОСТ 12.1.005-88 ССБТ Общие санитарно-гигиенические требования к воздуху рабочей зоны
ГОСТ 12.1.007-76 ССБТ. Вредные вещества. Классификация и общие требования безопасности
Иыаяме официальное
I
ГОСТ 30268-95
ГОСТ 12.1.044- 89 ССБТ. Пожаровзрывоопасмость всщсств и материалов Номенклатура показателей и методы их определения ГОСТ 12.3.002-75 ССБТ. Процессы производственные. Общие требования безопасности
ГОСТ 12.4.013-85 ССБТ Очки защитные. Общие технические условия
ГОСТ 12.4.021 —75 ССБТ. Системы вентиляционные. Общие требования
ГОСТ 12.4.028-76 ССБТ. Респираторы ШБ-1 «Лепесток». Технические условия
ГОСТ 12.4.121 —83 ССБТ. Противогазы промышленные фильтрующие. Технические условия
ГОСТ 2226-88 Мешки бумажные. Технические условия ГОСТ 2874-82 Вода питьевая. Гигиенические требования и контроль за качеством
ГОСТ 3885-73 Реактивы и особо чистые вещества. Правила приемки, отбор проб, фасовка, упаковка и маркировка ГОСТ 4159-79 Реактивы. Йод. Технические условия ГОСТ 4232-74 Реактивы. Калий йодистый. Технические условия ГОСТ 4453-74 Уголь активный осветляющий древесный порошкообразный. Технические условия
ГОСТ 5445-79 Продукты коксования химические. Правила приемки и методы отбора проб
ГОСТ 6552-80 Кислота ортофосфорная. Технические условия ГОСТ 6613-86 Сетки проволочные тканые с квадратными ячейками. Технические условия
ГОСТ 6709-72 Вода дистиллированная. Технические условия ГОСТ 10163-76 Крахмал растворимый. Технические условия ГОСТ 12026-76 Бумага фильтровальная лабораторная. Технические условия
ГОСТ 12596-67 Угли активные. Метол определения массовой доли золы
ГОСТ 12597-67 Сорбенты. Метол определения массовой доли воды в активных углях и катализаторах на их основе ГОСТ 14192-77 Маркировка грузов
ГОСТ 14919-83 Электроплиты, электроплитки и жарочные элсктрошкафы бытовые. Общие технические условия
ГОСТ 16187-70 Сорбенты. Метол определения фракционного состава
ГОСТ 16189-70 Сорбенты. Метод определения и сокращения проб
2
ГОСТ 3MA-9S
ГОСТ 16190- 70 Сорбенты. Метод определения насыпной плотности
ГОСТ 17811-78 Мешки полиэтиленовые для химической продукции. Технические условия
ГОСТ 18309-72 Вода питьевая. Метод определения содержания полифосфатов
ГОСТ 19360-74 Мешки*вкладыши пленочные. Общие технические условия
ГОСТ 23998-80 Уголь активный АГ-2. Технические условия ГОСТ 24 J 04—88 Весы лабораторные общего назначения и образцовые. Общие технические условия
ГОСТ 25336-82 Посуда и оборудование лабораторные стеклянные. Типы, основные параметры и размеры
ГОСТ 25794.2-83 Реактивы. Методы приготовления титрованных растворов для окислительно-восстановительного титрования
ГОСТ 27068-86 Натрий серноватистокислый (натрия тиосульфат) S-водный. Технические условия
ГОСТ 27574-87 Костюмы женские для зашиты от общих производственных загрязнений и механических воздействий. Технические условия
ГОСТ 27575-87 Костюмы мужские для защиты от общих производственных загрязнений и механических воздействий Технические условия
ГОСТ 29227-91 Посуда лабораторная стеклянная. Пипетки градуированные. Часть I. Общие требования
ГОСТ 29251-91 Посуда лабораторная стеклянная. Бюретки. Часть I. Общие требования
3 КЛАССИФИКАЦИЯ, МАРКИ
3.1 Марки
3.1.1 В зависимости от вида химического импрегнируюшего агента и назначения продукта угли выпускают двух типов: КАУ-ТФ и КАУ-Й.
Пример условного обозначения угля КАУ-ТФ:
Уголь активный импрегнированный КАУ-ТФ, ГОСТ 30268 В зависимости от содержания йода уголь КАУ-Й выпускают двух марок: А и Б.
Пример условного обозначения импрегнированного угля КАУ-Й марки А:
Угольактивный импрегнированный КАУ-Й, марка А, ГОСТ 30268
з
IТХ-Т 30261—95
4 ОБЩИЕ ТЕХНИЧЕСКИЕ ТРЕБОВАНИЯ
4.1 Требования к изготовлению углей
4.1.1 Угли должны изготовляться в соответствии с требованиями настоящего стандарта по технологическим регламентам, утвержденным в установленном порядке.
4.2 Характеристики углей
4.2 I Физико-химические показатели углей должны соответствовать нормам, указанным в таблице I (КАУ-ТФ) и таблице 2 (КАУ-Й).
|
Таблица 1 |
|||||||||||||||||||||||||||
|
|||||||||||||||||||||||||||
4
ГОСТ Э#268»5
Таблица 2
Норма марка А | марка Б
Покиитслк
Метоп кои грата
1_»
Крупиок-рнкстый порошок ■♦ерного цвета 6ci посторонних включений
I Внешний вил
Витуальный
|
2 Фракционный состав массовая долм остатка на сите с сеткой по ГОСТ | 6613 2, %. не более 0315, %. не мснсс на поаломе. %. не более 3 Массовая доля иолы. %. не более 4 Насыпная плотность, г/дм3 5 Массовая доля иода. % |
|
По ГОСТ 161X7 По ГОСТ 12597 По ГОСТ 16190 По 8 2 настоящего стандарта |
||||||||||||
Примечания
1 По согласоплнию с потребителем для получения угля КАУ-Й допускается, использовать в качестве исходною сырья угля активные КАУ-1 марки Б и КЛУ-2′ марок А. Б. изготовляемые но действующей нормативной документации
2 По согласованию с потребителем долускосгся иттжление угля импрегаиро-ваниосо КАУ-Й с другой массовой долей йода
3 Показатель насыпной плотности не нормируют до 01 01.97 Определение обя-1 эательно
4.3 Упаковка, маркировка
4.3.1 Угли упаковывают в четырех-, пятислойные мешки марки ПМ или НМ по ГОСТ 2226 с пленочным мешком-вкладышем по ГОСТ 19360 массой нетто не более 20 кг.
Допускается упаковывать угли в полиэтиленовые мешки М5-0.150 по ГОСТ 17811.
Бумажные мешки с углями зашивают машинным способом пряжей из вискозного волокна согласно действующей нормативной документации или аналогичной пряжей, обеспечивающей прочность упаковки в соответствии с действующей нормативной документацией. Полиэтиленовые вкладыши и мешки заваривают или зашивают машинным способом.
Допускается упаковывать и маркировать угли по ГОСТ 3885.
5
ГОСТ 3026S—95
4.3.2 Транспортную маркировку выполняют но ГОСТ 14192 с нанесением основных, дополнительных налнисей и манипуляционного знака «Беречь от влаги*. На каждое упаковочное место приклеивают этикетку с указанием:
— наименования предприятия-изготовителя;
— наименования продукта и его марки;
— номера партии;
~ номера места;
— массы нетто и брутто;
~ даты изготовления партии;
— обозначения настоящего стандарта
5 ГРКЬОВЛНИН БЕЗОПАСНОСТИ
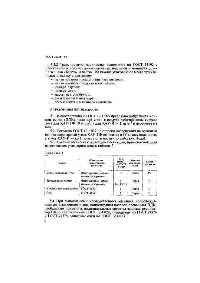
5.1 В соответствии с ГОСТ 12.1.005 предельно допустимая концентрация (ИДК) пыли для углей в воздухе рабочей зоны составляет для КАУ-ТФ 10 мг/.м5. а для КАУ-Й — 1 мг/м3 в пересчете на йод.
5.2 Согласно ГОСТ 12.1 007 по степени воздействия на организм импрегнированный уголь КАУ-ТФ относится к IV классу опасности, а уголь КАУ-Й — ко II классу опасности (по действию йода).
5.3 Токсикологическая характеристика сырья, применяемого для изготовления угля, приведена в таблице 3.
|
Таблица J Г ООоиичсмис нормативного документа ! Сырье Утоль активный КАУ j Tcrpj хлорид титана Дснстьукнцмс норма-тинные документы Действующие нормативные документы Кислота ортофосфорнзи ГОСТ 6552 Йод f ГОСТ 4159 |
|
5.4 При выполнении производственных операций, сопровождающихся выделением пыли, концентрация которой превышает ПДК, необходимо применять индивидуальные средства зашиты: респиратор ШБ-! «Лепесток* по ГОСТ 12.4.028, спецодежду по ГОСТ 27574 и ГОСТ 27575, защитные очки по ГОСТ 12.4.013.
6
ГОСТ 30268-95
При воздействии высоких температур (условия пожара) из углей могут выделяться оксид и диоксид углерода, а также пары йода (уголь КАУ-Й) При этом необходимо применять противогазы марок СО и БКФ по ГОСТ 12 4 121
5 5 Работу с углями необходимо проводить в помещениях, оборудованных ириточно-вытяжнои вентиляцией в соответствии с требованиями ГОСТ 12 4 021
5 6 Оптимальные и допустимые величины показателен микроклимата в производственных помещениях, в том числе при тепловом излучении от нагретых поверхностей технологического оборудования, должны соответствовать требованиям ГОСТ 12 I 005. пункт I
5 7 Контроль содержания в воздухе рабочей юны вредных веществ необходимо проводить в соответствии с требованиями ГОСТ 12 1 005
Контроль воздуха рабочей зоны произволе!венных помещении проводится по графику, утвержденному в установленном порядке
5 8 Технологические процессы при производстве и использовании углей должны соответствовать требованиям ГОСТ 12 3 002 и СанПиН № 1042
5 9 Защиту от шума при производстве углей необходимо обеспечить в соответствии с требованиями ГОСТ 12 I 003
5 10 Угли трудногорючие вещества в соответствии с ГОСТ 12 I 044 Температура самовоспламенения углей 380—460*С
При загорании угли следует тушить водой или пеной
6 ТРЕБОВАНИЯ ОХРАНЫ ОКРУЖАЮЩЕЙ СРЕДЫ
6 I Степень очистки воздуха, выбрасываемого вентиляционными установками, определяют согласно действующей нормативной документации
6 2В атмосферном воздухе населенных мест содержание пыли углей установлено на уровне1 ПЛК м.р —0.5 мг/м3 и ПДК с с 0,15 мг/м3
6 3 Содержание угопьной ныли во взвешенном состоянии в источниках питьевого водоснабжения не должно превышать 0,25 мг/дм3. а в водоемах культурно-бытового назначения — 0,75 мг/дм3
7 ПРАВИЛА НРИКМКИ
7 I Правила приемки — в соответствии с ГОСТ 5445 со следующими дополнениями
Угли поставляют партиями Масса партии — не более 0.5 тонны
7
1ХКЛ 3®2Ь8—95
Паргией считается однородный по своим качественным показателям уголь, сопровождаемый одним документом о качестве.
В документе должны указываться:
— наименование предприятия-изготовителя;
— наименование продукта и его марка;
— дата изготовления;
— номер партии;
— масса нетто;
— результаты провсленных анализов или подтверждение соответ* ствия качества угля требованиям настоящего стандарта;
— обозначение настоящего стандарта.
7.2 Для проверки качества углей на соответствие их показателей требованиям настоящего стандарта от партии отбирают 10 % единиц продукции, но не менее трех, если в партии менее 30 единиц продукции.
7.3 Точечные пробы углей отбирают пятиразовым внесением металлического совка в струю зерен при пересыпании угля из напол-ненной тары в свободную или пробоотборником по ГОСТ 5445 (черт.6) или по ГОСТ 23998. погружая его на три четверти глубины мешка.
Точечные пробы соединяют вместе, тщательно перемешивают, усредняют и сокращают методом квартования до I дм3 согласно ГОСТ 16189.
7.4 Полученную среднюю пробу помещают в чистую сухую плотно закрываемую банку, на которую наклеивают этикетку с указанием:
— наименования продукта;
— номера партии;
— даты ai6opa пробы
7.5 При получении неудовлетворительных результатов анализа хотя бы по одному из показателей по нему должен проводиться повторный анализ проб, отобранных от удвоенного количества мест той же партии.
Результаты повторного анализа являются окончательными и распространяются на всю партию.
При получении неудовлетворительных результатов повторного анализа вся партия бракуется.
8 МЕТОДЫ КОНТРОЛЯ
8.1 Определение массовой концентрации полифосфатов в водной вытяжке
8.1.1 Аппаратура, реактивы
8
ГОСТ 30268-95
Вссы лабораторные общего назначения ill класса с погрешностью 10.01 г по ГОСТ 24104.
Электроплитка мощностью 0,8—1,2 кВт по ГОСТ 14919.
Секундомер согласно действующей нормативной документа’ пин.
Холодильник типа ХПТ с длиной кожуха 300-400 мм по ГОСТ 25336.
Колба коническая вместимостью 500 см3 по ГОСТ 25336.
Воронка по ГОСТ 25336
Бумага фильтровальная лабораторная по ГОСТ 12026
Вода питьевая по ГОСТ 2874.
8.1.2 Проведение анализа
Около I г угля, предварительно высушенного по ГОСТ 12597, помешают в колбу, добавляют 250 см* питьевой воды и кипятят в течение трех минут, закрыв колбу пробкой с обратным холодильником. Затем смесь быстро фильтруют через бумажный фильтр, отбросив первые порции фильтрата. Фильтрат охлаждают и определяют в нем содержание полифосфатов по ГОСТ 18309 Параллельно определяют содержание полифосфатов в питьевой воде, взятой для проведения анализа, и учитывают при вычислении.
8.2 Определение массовой доли йода
8 2.1 Аппаратура, реактивы и растворы
Весы лабораторные общего назначения III класса точности с погрешностью tO.Ol г по ГОСТ 24104.
Бюретка Ы(3)-2-25-0,1 но ГОСТ 29251.
Пипетка 2-2-1-25 по ГОСТ 29227.
Колба коническая Кн-2-250-34(40, 50) ТС по ГОСТ 25336.
Стаканчик СВ-24/10 или СН-34/12 (45/13) по ГОСТ 25336
Вода дистиллированная по ГОСТ 6709.
Калия йодид по ГОСТ 4232, раствор с массовой долей 5 %.
Натрия тиосульфат 5-водный по ГОСТ 27068. раствор концентрации с (Na2S203 5Н20)=0.025 моль/дм3; готовят по ГОСТ 25794.2.
Крахмал растворимый по ГОСТ 10163, раствор с массовой долей 0,5 %.
8.2 2 Проведение анализа
Около 5 г угля марок А или Б, взвешенного в закрытом стаканчике, всыпают в коническую колбу, добавляют 50 см3 раствора йодида калия, закрывают пробкой и взбалтывают вручную каждую минуту в течение 30 мин. В случае применения вегряхивателя, проводят взбалтывание в течение 15 мин при интенсивности не менее 80 колебаний в минуту.
ГОСТ 30268-95
Раствору дают отстояться и из колбы пипеткой осторожно, чтобы не попали частички угля, отбирают 25 см3 раствора, вливают его в коническую колбу и титруют 0,025-молярным раствором тиосульфата натрия В конис титрования добавляют 4—5 капель раствора крахмала и титруют до появления синей окраски.
Одновременно проводят контрольный опыт с 50 см3 того же раствора йодида калия, но без угля.
8.2.3 Обработка результатов
Массовую долю йода (А) в процентах вычисляют по формуле
[У 1Х) Ю * 0.025 253.8 100 (I)
X — .
т
где V— объем раствора тиосульфата натрия концентрации
0.025 моль/дм3, израсходованного на титрование 25 см3 анализируемого раствора, см3;
К, — объем раствора тиосульфата натрия концентрации
0.025 моль/дм3, израсходованного на титрование 25 см3 контрольного раствора, см3;
0,025 — молярная концентрация раствора тиосульфата натрия. моль/дм3;
253,8 — молярная масса Йода, г/моль; т — навеска угля. г.
Определение содержания йода проводят параллельно в двух навесках и за окончательный результат принимают среднее арифметическое результатов двух определений.
Допускаемое абсолютное отклонение между двумя параллельными определениями при доверительной вероятности Р = 0.95 не должно превышать 0.02 % при содержании йода в угле 0,1 —1.0 % и 0.1 % — при содержании йода в угле 1.0—5,0 %.
9 ТРАНСПОРГИРОВЧНИЕ И ХРАПЕНИЕ
9.1 Угли транспортируют любым видом транспорта в условиях, исключающих возможность увлажнения и загрязнения продукта.
9.2 Угли хранят в упаковке предприятия-изготовителя в чистых и закрытых помещениях, защищенных от атмосферных осадков и фунтовых вол.
9.3 Транспортирование и хранение углей с продуктами, выделяющими в атмосферу пары или газы, не допускается.
10 УКАЗАНИЯ НО ЭКСПЛУАТАЦИИ
10.1 Угли по истечении гарантийного срока их хранения и в случае несоответствия техническим требованиям возвращают в производство.
ГОСТ 3026* 95
II ГАРАНТИИ ИЗГОТОВИТЕЛЯ
III Предприятие-изготовитель должно гарантировать соответствие продукции требованиям настоящего стандарта при условии соблюдения правил транспортирования и хранения.
11.2 Гарантийный с|хж хранения со дня изготовления — три года для угля КАУ-ТФ и один год — для угля КАУ-Й. По истечении указанного срока продукт должен быть проверен на соответствие требованиям настоящего стандарта,
II
ГОСТ 3026S-9S
УДК 661 183 2:006 354 ОКС 71 060 Л42 ОКП 21 6200
Ключевые слова: угли активные импрегнированные. доочистка питьевой волы
Ре диктор Р С Фпкфона Технический редактор В Н Нрусокова Корректор В И Норгпцовп Компьютерная перстка В И Грищенко
Ии ли и .V.1 021007от 10 0Я 95 Слано в набор 1904% Подписано в печать 1408% Уел нем л 0.93 Уч-и шлО.вО Тираж J49 »ki С 3517 Зак 280
ИНК Итхютсльство стандартов. 107076. Москва,
Колоде >ный пер . 14 Набрани н Издательстве на ПЭВМ Филиал ИПК Издательство стандартов — тип ‘Московский печатник» Москва, Лялин пер. 6
