Газы парниковые. Часть 3. Требования и руководство по валидации и верификации утверждений, касающихся парниковых газов
На нашем сайте можно бесплатно скачать Руководящий документ ГОСТ Р ИСО 14064-3-2007 в удобном формате. Узнать актуальный статус документа «Газы парниковые. Часть 3. Требования и руководство по валидации и верификации утверждений, касающихся парниковых газов» на 2016 год.
Скрыть дополнительную информацию
Страница 1

Страница 2

Страница 3

Страница 4

Страница 5

Страница 6

Страница 7

Страница 8

Страница 9

Страница 10

Страница 11

Страница 12

Страница 13

Страница 14

Страница 15

Страница 16

Страница 17

Страница 18

Страница 19

Страница 20

Страница 21

Страница 22

Страница 23

Страница 24

Страница 25

Страница 26

Страница 27

Страница 28

Страница 29

Страница 30

Страница 31

Страница 32

Страница 33

Страница 34

Страница 35
ФЕДЕРАЛЬНОЕ АГЕНТСТВО ПО ТЕХНИЧЕСКОМУ РЕГУЛИРОВАНИЮ И МЕТРОЛОГИИ
|
НАЦИОНАЛЬНЫЙ
СТАНДАРТ РОССИЙСКОЙ ФЕДЕРАЦИИ |
ГОСТ Р исо 14064-3 — 2007 |
ГАЗЫ ПАРНИКОВЫЕ
Часть 3
Требования и руководство по валидации и верификации утверждений, касающихся парниковых газов
ISO 14064-3:2006 Greenhouse gases — Part 3: Specification with guidance for the validation and verification of greenhouse gas assertions (IDT)
Издание официальное
S
§
0 N
1 «•> LQ
Cl^e20lTl*ePel
ГОСТ Р ИСО 14064-3-2007
Предисловие
Цели и принципы стандартизации в Российской Федерации установлены Федеральным законом от 27 декабря 2002 г. No 184-ФЗ «О техническом регулировании», а правила применения национальных стандартов Российской Федерации — ГОСТ Р 1.0-2004 «Стандартизация в Российской Федерации. Основные положения»
Сведения о стандарте
1 ПОДГОТОВЛЕН Научно-техническим центром «ИНТЕК» на основе собственного аутентичного перевода на русский язык стандарта, указанного в пункте 4
2 ВНЕСЕН Техническим комитетом по стандартизации ТК 20 «Экологический менеджмент и экономика»
3 УТВЕРЖДЕН И ВВЕДЕН В ДЕЙСТВИЕ Приказом Федерального агентства по техническому регулированию и метрологии от 27 декабря 2007 г. No 435-ст
4 Настоящий стандарт идентичен международному стандарту ИСО 14064-3:2006 «Парниковые газы. Часть 3. Требования и руководство по валидации и верификации утверждений, касающихся парниковых газов» (IS0 14064-3:2006 «Greenhouse gases — Part 3: Specification with guidance for the validation and verification of greenhouse gas assertions»).
Наименование настоящего стандарта изменено относительно наименования указанного международного стандарта для приведения в соответствие с ГОСТ Р 1.5 — 2004 (пункт 3.5)
5 ВВЕДЕН ВПЕРВЫЕ
Информация об изменениях к настоящему стандарту публикуется в ежегодно издаваемом информационном указателе «Национальные стандарты», а текст изменений и поправок — в ежемесячно издаваемых информационных указателях «Национальные стандарты». В случав пересмотра (замены) или отмены настоящего стандарта соответствующее уведомление будет опубликовано в ежемесячно издаваемом информационном указателе «Национальные стандарты». Соответствующая информация. уведомления и тексты размещаются также в информационной системе общего пользования — на официальном сайте Федерального агентства по техническому регулированию и метрологии в сети Интернет
©Стандартинформ. 2010
Настоящий стандарт не может быть полностью или частично воспроизведен, тиражирован и распространен в качестве официального издания без разрешения Федерального агентства по техническому регулированию и метрологии
ГОСТ Р ИСО 14064-3-2007
Содержание
1 Область применения . .
1
1
2 Термины и определения
3 Принципы……………………………………….
со тодаси со со с» —j’jcn СЛ(Л1Я1Л(Л1Я1Л(Л(Я
3.1 Общие положения…………………………………
3.2 Принцип независимости……………………………….
3.3 Принцип этичного поведения…………………………….
3.4 Принцип беспристрастности……………………………..
3.5 Принцип профессионализма……………………………..
4 Требования к процедурам валидации и верификации……………………
4.1 Эксперты по валидации и верификации………………………..
4.2 Процессы валидации и верификации…………………………
4.3 Уровень заверения, цели, критерии и область применения процедуры валидации или верификации ……………………………………….
4.4 Подход к валидации и верификации………………………….
4.5 Оценка информационной системы и ее контроль……………………
4.6 Оценка данных и информации……………………………
4.7 Оценка на соответствие критериям валидации или верификации……………..
4.8 Анализ утверждений………………………………..
4.9 Заключение по результатам валидации или верификации………………..
4.10 Записи результатов валидации или верификации……………………
4.11 Факты, выявляемые после валидации или верификации………………..
Приложение А (справочное) Руководство по испопьзованию настоящего стандарта……….
Библиография…………………………………………………………………………….27
Ш
ГОСТ Р ИСО 14064-3-2007
Введение
Изменение климата стало одной из самых важных проблем, стоящих перед народами, правительствами, бизнесом и гражданами в последние годы. Изменение климата влияет как на людей, так и на природные системы и может привести к значительным изменениям в использовании природных ресурсов, промышленном производстве и экономической деятельности. Разрабатываются и реализуются международные. региональные, национальные и локальные методы ограничения содержания парниковых газов (далее — ПГ) в атмосфере Земли, в основе которых лежит их количественное определение, мониторинг, отчетность и верификация выбросов и/или удаления ПГ.
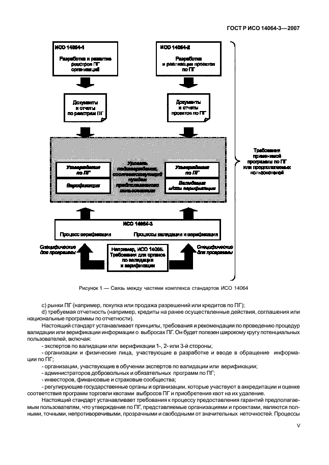
Комплекс стандартов ИСО 14064 состоит из следующих частей:
часть 1 — Требования и руководство по количественному определению и отчетности о выбросах и удалении парниковых газов на уровне организации:
часть 2 — Требования и руководство по количественной оценке, мониторингу и составлению отчетной документации на проокты сокращения выбросов парниковых газов или увеличения их удаления на уровне проекта:
часть 3 — Требования и руководство по валидации и верификации утверждений, касающихся парниковых газов.
В части 1 комплекса стандартов ИС014064 рассмотрены принципы и требования к разработке, управлению и представлению отчетности по реестрам ПГ на уровне организации. В этой части установлены требования по определению границ выбросов ПГ. количественному опредепению ПГ. выбрасываемых и удаляемых организацией, и определению конкретных действий организации, направленных на улучшение управлением выбросами ПГ. В этой части также установлены требования и руководство по менеджменту качества реестра, отчетности, внутреннему аудиту и ответственности организации за проведение процесса верификации.
Часть 2 комплекса стандартов ИСО 14064 распространяется на проекты по ПГ или деятельности, основанной на проектах, специально разработанной для того, чтобы уменьшить выбросы ПГ или увеличить количество удаляемых ПГ. В этой части установлены требования к опредепению начапьного уровня и мониторинга, количественного определения и отчетности о результативности проекта в отношении начального уровня, которые представляют собой основу для валидации и верификации проектов по ПГ.
В настоящем стандарте установлены принципы и требования к верификации реестров ПГ. а также к валидации или верификации проектов по ПГ. В стандарте установлены требования к процессу валидации или верификации в отношении ПГ. а также к таким компонентам, как планирование валидации или верификации. процедуры оценки и анализа утверждений, касающихся парниковых газов организации или проекта. Настоящий стандарт может использоваться организациями или независимыми сторонами для валидации или верификации утверждений, касающихся парниковых газов.
Связь между тремя частями комплекса стандартов ИС014064 представлена на рисунке 1.
Комплекс стандартов ИС014064 разработан с целью помочь организациям, правитепьстеам. инициаторам проектов и всем заинтересованным сторонам во всем мире получить выгоду путем обеспечения понимания и согласованности при количественном определении, мониторинге, составлении отчетов, а также валидации или верификации реестров или проектов по ПГ.
Использование комплекса стандартов ИСО 14064 может принести следующую пользу:
— повысить экологическую целостность количественного определения ПГ,
— повысить доверительность, согласованность и прозрачность количественного определения, мониторинга и отчетности о ПГ. включая снижение выбросов и увеличение удаления ПГ в рамках проектов:
— способствовать разработке и реализации стратегий и планов организаций по управлению ПГ;
— способствовать разработке и реализации проектов по ПГ;
— способствовать возможности отслеживать показательность (результативность), а также прогрессу в сокращении выбросов и/или увеличении удаления ПГ;
— способствовать кредитованию и торговле снижениями выбросов или увеличением удаления ПГ
Пользователи комплекса стандартов ИСО 14064 могут получить выгоду, применяя некоторые из нижеприведенных вариантов их использования:
a) корпоративный менеджмент риска (например, выявпение и менеджмент рисков и возможностей):
b) добровольные инициативы (например, участие в добровольной регистрации реестров или отчетности по ПГ):
IV
ГОСТ Р ИСО 14064-3-2007
|
ксоидаи |
ИС014М44 |
|
|
РщлОопя и pwiw |
РвэраСопш |
|
|
peedpoe ГГ |
и рбвлкЖИре грмягйн |
|
|
оргшимций |
поПГ |
|
Дакумиш |
Досушит |
|
|
мшчвш |
ИСГЧ*™ |
|
|
пормлрамПГ |
Цидатра прПГ |
|
|
Р |
|
Трабоммм грммнииой > программы гк>ПГ иш греагютгаомьес пОтьвС*ет*пей |
Нвлрммр, ИС014066. Тробоимия для српно* пошмдации имрфчшцм
Спвщфичвйчл Лгапрщтжлы
GrMfutwKxub для прсщтмыы
V
Рисунок 1 — Связь между частями комплекса стандартов ИСО 14064
c) рынки ПГ (например, покупка или продажа разрешений или кредитов по ПГ);
d) требуемая отчетность (например, кредиты на ранее осуществленные действия, соглашения или национальные программы по отчетности).
Настоящий стандарт устанавливает принципы, требования и рекомендации по проведению процедур валидации или верификации информации о выбросах ПГ. Он будет полезен широкому кругу потенциальных пользователей, включая:
— экспертов по валидации или верификации 1-, 2- или 3-й стороны.
— организации и физические лица, участвующие в разработке и вводе в обращение информации по ПГ;
— организации, участвующие в обучении экспертов по валидации или верификации;
— администраторов добровольных и обязательных программ по ПГ;
— инвесторов, финансовые и страховые сообщества;
— регулирующие государственные органы и организации, которые участвуют в аккредитации и оценке соответствия программ торговли квотами выбросов ПГ и приобретения квот на их удаление.
Настоящий стандарт устанавливает требования к процессу предоставления гарантий предполагаемым пользователям, что утверждения по ПГ. представляемые организациями и проектами, являются полными. точными, непротиворечивыми, прозрачными и свободными от значитепьных неточностей. Процессы
V
ГОСТ Р ИСО 14064-3-2007
валидации и верификации аналогичны, однако имеют определенные отличия в способах их выполнения. Процесс может быть внешним и внутренним. В первом случае положения настоящего стандарта могут использоваться в качестве рекомендаций, а во втором — как набор требований.
Объем работ по вапидации или верификации зависит от:
— требуемого уровня предоставления гарантий;
— потребностей предполагаемого пользователя:
— цепей выполнения работ по валидации и верификации и
— критериев валидации и верификации.
В утверждении по ПГ могут содержаться требования к различным показателям, таким как:
— количественное опредепение выбрасываемых и удаляемых ПГ;
• количественное определение проектного сокращения выбросов ПГ и увепичения их удаления;
— соответствие требованиям ИС014064-1 или ИС014064-2;
• соответствие принципам и требованиям нормативной базы или программ по ПГ;
— характеристики ипи эффективность рабочих процессов.
В разделе 3 настоящего стандарта рассматриваются принципы и фундаментальные требования к процессам валидации и верификации, что позволяет пользователю оценить основу этих процессов, и, кроме того, раздел 3 является вводной частью к изложенным в разделе 4 требованиям по валидации проектов по ПГ и верификации утверждений по ПГ организаций ипи проектов. Эти требования включают в себя установление целей работ по вапидации и верификации, их критериев и областей применения (включая требуемый уровень гарантий), координацию работ по валидации и верификации, разработку подходов к информации, относящейся к организациям и проектам по ПГ и процедурам валидации и верификации, установление приемлемых режимов выборочных проверок для процедур валидации и верификации информации по ПГ и испытания системы контроля в организациях или в проектах по ПГ. Данный раздел также устанавливает требования к составлению и предоставлению заключений по результатам валидации и верификации.
В приложении А приведены допопнительные рекомендации к проведению вапидации и верификации. выполняемые в соответствии с требованиями программ по ПГ или в различных условиях, а также рекомендации к проведению валидации и верификации в соответствии с требованиями, содержащимися в разделе 4 настоящего стандарта, которые не включают в себя обязательные требования.
Некоторые разделы настоящего стандарта требуют от пользователя разъяснений по использованию некоторых принятых подходов или решений. Эти разъяснения в общем случае включают документацию, поясняющую:
— использованные подходы и принимавшиеся решения;
— причины выбора именно этих подходов или решений.
Некоторые разделы настоящего стандарта требуют от пользователя обоснования применения некоторых принятых подходов или решений. Такое обоснование должно включать документацию, поясняющую:
• испопьзованные подходы и принимавшиеся решения;
• причины выбора именно этих подходов или решений;
— причины отказа от использования альтернативных подходов.
VI
ГОСТ Р ИСО 14064-3-2007
НАЦИОНАЛЬНЫЙ СТАНДАРТ РОССИЙСКОЙ ФЕДЕРАЦИИ
ГАЗЫ ПАРНИКОВЫЕ Ч а с т ь 3
Требования и руководство по валидации и верификации утверждений, касающихся парниковых газов
Greenhouse gases. Part 3. Specification with guidance for the validation and verification of greenhouse gas assertions
Дата введения — 2009 — 01 — 01
1 Область применения
Настоящий стандарт устанавливает принципы и требования, а также рекомендации по проведению или управлению процедурами валидации и/или верификации утверждений по ПГ. Требования настоящего стандарта следует применять для количественных оценок, проводимых в организации, при выполнении проекта по ПГ. включая количественное определение выбросов ПГ, мониторинг и предоставление отчетов в соответствии с требованиями первой и второй частей комппекса стандартов ИС014064.
Настоящий стандарт также устанавливает требования к выбору экспертов по валидации и верификации. установлению уровня гарантий, целей, критериев и областей применения, выбору подходов к процедурам валидации или верификации, оценке данных по ПГ. информации, информационным системами системам управления, оценке правильности утверждений по ПГ и подготовко заключений по результатам валидации или верификации.
Настоящий стандарт не влияет на требования программ по ПГ. Требования действующих программ по ПГ допопняют требования настоящего стандарта.
Примечание — Если требования комплекса стандартов ИСО 14064 входят в противоречив с требованиями программы по ПГ. используемой организацией или инициатором проекта по ПГ. то следует применять требования программы по ПГ.
2 Термины и определения
В настоящем стандарте применены следующие термины с соответствующими определениями.
2.1 парниковый газ; ПГ (greenhouse gas; GHG): Газообразная составляющая атмосферы природного и антропогенного происхождения, которая поглощает и испускает излучение в диапазоне спектра инфракрасного излучения, испускаемого поверхностью Земли, атмосферой и облаками.
Примечание — ПГ содержат диоксид углерода (С02). метан (СН4), оксид азота (N20), гидрофторугле-роды (HFCj), перфтороуглероды (PFCs) и гексафторид серы (SF6).
2.2 источник парниковых газов (greenhouse gas source): Материальный объект или процесс, выбрасывающие ПГ в атмосферу.
2.3 поглотитель парниковых газов (greenhouse gas sink): Материальный объект или процесс, удаляющие ПГ из атмосферы.
2.4 накопитель парниковых газов (greenhouse gas reservoir): Материальный объект или составляющая биосферы, геосферы или гидросферы, обладающие способностью сохранять или накапливать ПГ. удаленный из атмосферы с помощью поглотителя парниковых газов (2.3) или ПГ, поглощенный из источника парниковых газов (2.2).
Издание официальное
1
ГОСТ Р ИСО 14064-3-2007
Примечание 1 — Массу углерода, содержащегося в резервуаре ПГ в установленный момент времени, называют запасом углерода накопителя.
Примечание 2 — Накопитель ПГ может передавать парниковые газы в другой накопитель ПГ.
Примечание 3 — Сбор ПГ от источника ПГ до его поступления в атмосферу и хранение собранного ПГ в накопителе называют улавливанием и хранением ПГ.
2.5 выброс парниковых газов (greenhouse gas emission): Общая масса ПГ. выброшенных в атмосферу за установленный период времени.
2.6 удаление парниковых газов (greenhouse gas removal): полная масса ПГ. удаленных из атмосферы за установленный период времени.
2.7 сокращение выбросов парниковых газов (greenhouse gas emission reduction): Расчетное значение снижения выбросов парниковых газов по отношению к базовому сценарию (2.21) и проекту.
2.8 увеличение удаления парниковых газов (greenhouse gas removal enhancement): Расчетное значение увеличения удаления парниковых газов по отношению к базовому сценарию (2.21) и проекту.
2.9 коэффициент выброса или поглощения парниковых газов (greenhouse gas emission or removal factor): Множитель, связывающий данные о деятельности организации с выбросом или поглощением ПГ.
Примечание — Коэффициент выброса или поглощения парниковых газов может включать в себя составляющую окисления.
2.10 данные о деятельности по парниковым газам (greenhouse gas activity data): Количественная мера деятельности организации, результатом которой является выброс или поглощение ПГ.
Примечание — Примеры данных о деятельности организации по ПГ включают в себя количество потребленной энергии, топлива или электричества, произведенных материалов, предоставленных услуг или затронутую площадь территории.
2.11 утверждение по парниковым газам (greenhouse gas assertion): Декларация или фактическое и объективное заключение, сделанные ответственной стороной (2.24).
Примечание 1 — Утверждение по ПГ может быть представлено в отношении конфетного момента времени или распространяться на определенный период времени.
Примечание 2 — Утверждение по ПГ. представленное ответственной стороной, должно быть четко идентифицируемым и обеспечивать возможность последовательной оценки или измерения на соответствие подходящим критериям экспертом по валидации (2.35) или экспертом по верификации (2.37).
Примечание 3 — Утверждение по ПГ гложет быть представлено в форме отчета по ПГ(2.17) или плана проекта по ПГ.
2.12 информационная система по парниковым газам (greenhouse gas information system): Политика. процессы и процедуры для создания, управления и поддерживания в надлежащем состоянии информации поПГ.
2.13 реестр по парниковым газам (greenhouse gas inventory): Источники ПГ (2.2), поглотители ПГ (2.3). выбросы и удаление ПГ.
2.14 проект по парниковым газам (greenhouse gas project): Деятельность или виды деятельности, изменяющие условия, идентифицированные в базовом сценарии (2.21), которые приводят к сокращению выбросов ПГ (2.7) или увеличению удаления ПГ (2.8).
2.15 инициатор проекта по парниковым газам (greenhouse gas project proponent): Отдельное лицо или организация, осуществляющие полный контроль над проектом по парниковым газам (2.14) и несущие за него ответственность.
2.16 программа по парниковым газам (greenhouse gas programme): Добровольная или обязательная международная, национальная или субнациональная система или схема, в рамках которой осуществляют регистрацию, учет или управление выбросами, удалением, сокращением выбросов (2.7) или увеличением удаления (2.8) ПГ вне границ организации или проекта по ПГ.
2.17 отчет по парниковым газам (greenhouse gas report): Документ, предназначенный для представления предполагаемым пользователям (2.26) информации об организации или о проекте по ПГ.
Примечание — Отчет по ПГ может включать в себя утверждение по ПГ (2.11).
2
ГОСТ Р ИСО 14064-3-2007
2.18 потенциал глобального потепления; ПГП (global warming potential; GWP): Коэффициент, устанавливающий степень воздействия излучающей способности одной единицы массы конкретного ПГ относительно соответствующей единицы диоксида углерода в течение заданного периода времени.
2.19 эквивалент диоксида углерода С02; С02-эквивалент (carbon dioxide equivalent С02е): Единица, используемая для сравнения излучающей способности ПГ с диоксидом углерода.
Примечание 1 — Эквивалент диоксида углерода рассчитывают путем умножения массы данного ПГ на его потенциал глобального потепления (2.18).
2.20 базовый год (base year): Исторический период, установленный для сопоставления во времени выбросов ПГ. процессов удаления ПГ или соответствующей информации по ПГ.
Примечание — Выбросы или процессы удаления в течение условного базового года могут быть определены количественно за определенный период времени, например за реальный год. или быть усреднены за несколько периодов (например, несколько лет).
2.21 базовый сценарий (baseline scenario): Гипотетический базовый вариант, который наилучшим образом представляет условия, которые с наибольшей вероятностью могут возникнуть при отсутствии проекта по парниковым газам (2.14).
Примечание — Базовый сценарий согласуется со сроками проекта по ПГ.
2.22 производственный объект (facility): Установка, комппект установок (стационарные или передвижные) или производственные процессы, которые могут быть определены в рамках единой географической границы, организационной единицы или единого производственного процесса.
2.23 организация (organization): Компания, корпорация, фирма, предприятие, орган власти или учреждение либо их часть или объединение, официально зарегистрированные или незарегистрированные, государственные или частные, занимающиеся какой-либо деятельностью и имеющие административный аппарат.
2.24 ответственная сторона (responsible party): Лицо или лица, ответственные за представление утверждения по парниковым газам (2.11) и соответствующей информации по ПГ.
Примечание — Ответственной стороной могут быть отдельные лица или представители организации или проекта, а также сторона, которая нанимает экспертов по валидации (2.35) или экспертов по верификации (2.37). Эксперты по валидации или верификации могут быть привлечены заказчиком или другой стороной, например администратором программы по ПГ.
2.25 заинтересованная сторона (stakeholder): Физическое лицо или организация, заинтересованные в разработке или внедрении проекта по парниковым газам (2.14).
2.26 предполагаемый пользователь (intended user): Физическое лицо или организация, идентифицированные в качестве субъектов, которые предоставляют информацию по ПГ и опираются на эту информацию при принятии решений.
Примечание — Предполагаемым пользователем могут быть клиент (2.27). ответственная сторона (2.24). администраторы программы по ПГ, контролирующие органы, финансовое сообщество или другие заинтересованные стороны (2.25). например местные сообщества, правительственные департаменты или неправительственные организации.
2.27 клиент (client): Организация или лицо, запрашивающее валидацию (2.32) или верификацию
(2.36).
Примечание — Клиент может быть ответственной стороной (2.24). администратором программы по ПГ или другим заинтересованным лицом.
2.28 уровень заверения (level of assurance): Степень заверения, которую предполагаемый пользователь (2.26) требует от валидации (2.32) или верификации (2.36).
Примечание 1 — Уровень заверения используют для определения глубины подробности, которую эксперт по валидации или верификации устанавливают при разработке плана валидации или верификации для того, чтобы определить, имеются ли какие-либо существенные ошибки, пропуски или ошибочные толкования.
Примечание 2 —Существуют два уровня заверения (разумный и ограниченный), которые приводят к разночтениям заявлений по валидации или верификации. Примеры заявлений по валидации и сертификации приведены в приложении А. пункт А.2.3.2.
3
ГОСТ Р ИСО 14064-3-2007
2.29 значимость, существенность (materiality): Возможность воздействия отдельных ошибок или их совокупности, упущений и искажений на утверждение по парниковым газам (2.11) и решения предполагаемых пользователей (2.26).
Примечание 1 — Понятие существенности используют при планировании проведения валидации или верификации, для идентификации планов выборочного контроля с целью определения типов значительных процессов, используемых для минимизации риска того, что эксперты по валидации или верификации не обнаружат существенного несоответствия (2.30) (риск необнаружения).
Примечание 2 — Понятие существенности используют для идентификации информации, которая в случае ее упущения или неправильного представления значительно искажает утверждение относительно ПГ для предполагаемых пользователей и. следовательно, влияет на их заключения. Приемлемую существенность определяет эксперт по валидации, верификации или программа по ПГ на основе согласованного уровня заверения. Подробные сведения приведены в приложении А. пункт А.2.3.8.
2.30 существенное несоответствие (material discrepancy): Отдельные фактические ошибки или их совокупность, упущения и искажения в утверждении по ПГ (2.11). которые могут повлиять на решения предполагаемых пользователей (2.26).
2.31 мониторинг (monitoring): Непрерывная или периодическая оценка выбрасываемых и удаляемых ПГ или других сопутствующих данных по ПГ.
2.32 валидация (validation): Систематический, независимый и документально оформленный процесс оценки утверждения по парниковым газам (2.11). относящийся к плану проекта по парниковым газам, на соответствие согласованным критериям валидации (2.33).
Примечание 1 — В некоторых случаях, например при валидации первой стороной, независимость может быть продемонстрирована невозложением на какое-либо лицо ответственности за подготовку данных и предоставление соответствующей информации по ПГ.
Примечание 2 — Содержание плана проекта по ПГ приведено в ИСО 14064-2. подраздел 5.2.
2.33 критерии валидации, верификации (validation, verification criteria): Попитика. процедура или требование, используемые в качестве ссылки, на соответствие которым проводится сравнение свидетельств.
Примечание — Критерии валидации или верификации могут быть установлены правительством страны в программах по парниковым газам, добровольными инициативами по отчетности, а также в стандартах или руководствах по надлежащей практике.
2.34 заключение, заявление о валидации, верификации (validation, verification statement): Оформленная в письменном виде официальная декларация, представленная предполагаемому потребителю (2.26), подтверждающая заявление по ПГ, сделанное ответственной стороной.
Примечание — Декларация эксперта по валидации или верификации может распространяться на требования по выбросам, удалениям, сокращению выбросов или увеличению удаления ПГ.
2.35 эксперт по валидации (validator): Компетентное и независимое лицо, ответственное за проведение валидации и представление отчета по ее результатам.
Примечание — Данный термин может распространяться также на орган по валидации.
2.36 верификация (verification): Систематический, независимый и документально оформленный процесс оценки утверждения по ПГ(2.11) на соответствие согласованным критериям верификации (2.33).
Примечание — В некоторых случаях, например при верификации первой стороной, независимость может быть продемонстрирована невозложением на какое-либо лицо ответственности за подготовку данных и представление соответствующей информации по ПГ.
2.37 эксперт по верификации (verifier): Компетентное и независимое лицо, ответственное за проведение процесса верификации и представление отчета по ее результатам.
Примечание — Данный термин может распространяться также на орган по верификации.
2.38 неопределенность (uncertainty): Параметр, ассоциируемый с результатом количественного определения, который характеризует разброс значений, относящихся к количественной величине.
Примечание — Неопределенность (погрешность) устанавливает, как правило, количественную оценку вероятного или предполагаемого разброса значений и качественное описание вероятных причин разброса.
4
ГОСТ Р ИСО 14064-3-2007
3 Принципы
3.1 Общие положения
Применение принципов является фундаментальной основой для проведения процедур валидации и верификации. Данные принципы регулируют применение требований настоящего стандарта.
3.2 Принцип независимости
Данный принцип заключается в сохранении независимости работ, подлежащих валидации и верификации, объективности и отсутствии конфликта интересов. Поддерживание объективности в процессе валидации и верификации гарантирует, что принимаемые решения и выводы будут основаны на объективных доказательствах, полученных в процессе валидации и верификации.
3.3 Принцип этичного поведения
Данный принцип требует соблюдать этичное поведение посредством доверительных отношений, прямоты, конфиденциальности и благоразумия в процессе валидации и верификации.
3.4 Принцип беспристрастности
Данный принцип заключается в правдивом и точном отражении работ по валидации и верификации, решений, выводов и отчетов. Он требует сообщать о проблемах, с которыми сталкиваются в процессе валидации и верификации, а также о несогласованных, различающихся мнениях экспертов по валидации, экспертов по верификации, ответственной стороны и заказчика.
3.5 Принцип профессионализма
Данный принцип требует соблюдения профессиональных навыков и сужаений при выполнении работ с учетом их важности и степени достоверности информации, определяемых заказчиком и предполагаемыми пользователями. Он также требует необходимых навыков и компетенции при проведении валидации или верификации.
Примечание — Принципы независимости, этичного поведения, справедливости и профессионализма соответствуют установленным в ИСО 19011.
4 Требования к процедурам валидации и верификации
4.1 Эксперты по валидации и ворификации
Эксперт по валидации или верификации, выбранный для проведения данных работ, должен:
a) доказать свою компетентность и профессионализм в соответствии со своим назначением и уровнем ответственности;
b)быть независимым;
c) избегать каких-либо реальных или возможных конфликтов интересов с ответственной стороной и предполагаемым пользователем информации по ПГ;
d) демонстрировать этичное поведение в процессе валидации и верификации;
e) правдиво и точно проводить валидацию и верификацию, делать заключения и отчеты;
f) отвечать требованиям стандартов или программы по ПГ, которые приняла ответственная сторона (исполнитель).
Примечание — Дополнительные рекомендации в отношении требуемых от экспертов по валидации и верификации знаний, навыков и компетентности приведены в приложении А. Требования к экспертам по валидации и верификации третьей стороны установлены в ИСО 14065.
4.2 Процессы валидации и ворификации
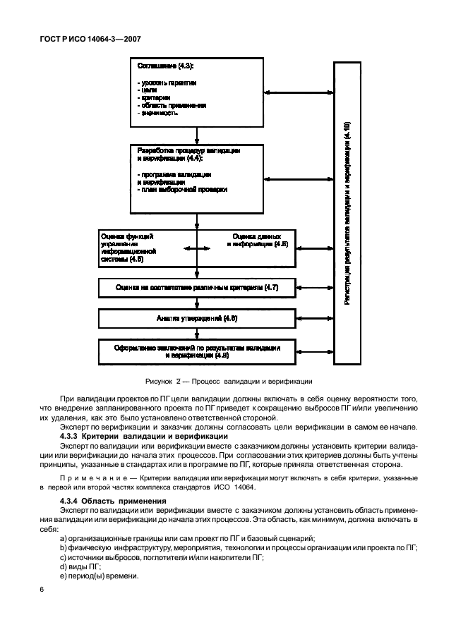
Процессы валидации и верификации информации по ПГ. проводимые в соответствии с требованиями настоящего раздела, изображены на рисунке 2. Дополнительные рекомендации приведены в приложении А.
4.3 Уровень заверения, цели, критории и область применения процедуры валидации или ворификации
4.3.1 Уровень заверения
Уровень заверения валидации или верификации должен быть установлен заказчиком в начале процесса валидации или верификации.
4.3.2 Цели валидации или верификации
Эксперт по валидации и заказчик должны согласовать цели валидации до начала этого процесса.
5
|
Рисунок 2 — Процесс валидации и верификации |
При валидации проектов по ПГ цели валидации должны включать в себя оценку вер

