Энергоэффективность зданий. Методы определения влияния автоматизации, управления и эксплуатации здания
На нашем сайте можно бесплатно скачать ГОСТ Р 54862-2011 в удобном формате. Узнать актуальный статус ГОСТА «Энергоэффективность зданий. Методы определения влияния автоматизации, управления и эксплуатации здания» на 2016 год.
Скрыть дополнительную информацию
Страница 1

Страница 2

Страница 3

Страница 4

Страница 5

Страница 6

Страница 7

Страница 8

Страница 9

Страница 10

Страница 11

Страница 12

Страница 13

Страница 14

Страница 15

Страница 16

Страница 17

Страница 18

Страница 19

Страница 20

Страница 21

Страница 22

Страница 23

Страница 24

Страница 25

Страница 26

Страница 27

Страница 28

Страница 29

Страница 30

Страница 31

Страница 32

Страница 33

Страница 34

Страница 35

Страница 36

Страница 37

Страница 38

Страница 39

Страница 40

Страница 41

Страница 42

Страница 43

Страница 44

Страница 45

Страница 46
ФЕДЕРАЛЬНОЕ АГЕНТСТВО ПО ТЕХНИЧЕСКОМУ РЕГУЛИРОВАНИЮ И МЕТРОЛОГИИ
НАЦИОНАЛЬНЫМ СТАНДАРТ РОССИЙСКОЙ ФЕДЕРАЦИИ
ГОСТР
54862
2011
ЭНЕРГОЭФФЕКТИВНОСТЬ ЗДАНИЙ
Методы определения влияния автоматизации, управления и эксплуатации здания
EN 15232:2007 (NEQ)
Издание официальное
Предисловие
Цели и принципы стандартизации в Российской Федерации установлены Федеральным законом от 27 декабря 2002 г. № 184-ФЗ «О техническом регулировании», а правила применения национальных стандартов Российской Федерации — ГОСТ Р 1.0-2004 «Стандартизация в Российской Федерации. Основные положения»
Сведения о стандарте
1 РАЗРАБОТАН Открытым акционерным обществом «Проектный, конструкторский и научно-исследовательский институт «СантехНИИпроект» (ОАО «СантехНИИпроект»)
2 ВНЕСЕН Техническим комитетом по стандартизации ТК 465 «Строительство»
3 УТВЕРЖДЕН И ВВЕДЕН В ДЕЙСТВИЕ Приказом Федерального агентства по техническому регулированию и метрологии от 15 декабря 2011 г. № 1567-ст
4 Настоящий стандарт разработан с учетом основных нормативных положений европейского региональногостандартаЕН 15232:2007 «Энергоэффективность зданий. Методы определения влияния автоматизации, управления и эксплуатации здания» (EN 15232:2007 «Energy performance of buildings — Impact of Buildings Automation, Controls and Building Management», NEQ).
Наименование настоящего стандарта изменено по отношению к наименованию европейского стандарта для приведения в соответствие с ГОСТ Р 1.5 (подраздел 3.5)
5 ВВЕДЕН ВПЕРВЫЕ
Информация об изменениях к настоящему стандарту публикуется в ежегодно издаваемом информационном указателе «Национальные стандарты»,атекст изменений ипоправок — в ежемесячно издаваемых информационных указателях «Национальные стандарты». В случае пересмотра (замены) или отмены настоящего стандарта соответствующее уведомление будет опубликовано в ежемесячно издаваемом информационном указателе «Национальные стандарты». Соответствующая информация, уведомление и тексты размещаются также в информационной системе общего пользования — на официальном сайте Федерального агентства по техническому регулированию и метрологии в сети Интернет
©Стандартинформ, 2012
Настоящий стандарт не может быть полностью или частично воспроизведен, тиражирован и распространен в качестве официального издания без разрешения Федерального агентства по техническому регулированию и метрологии
Содержание
1 Область применения……………………………………………1
2 Нормативные ссылки…………………………………………..1
3 Термины и определения…………………………………………1
4 Обозначения………………………………………………..3
5 Влияние BACS и ТВМ на энергетическую эффективность зданий…………………..4
5.1 Общие положения…………………………………………..4
5.2 Классы эффективности системы автоматизации и управления здания…………….4
5.3 Функции ВАС и ТВМ, оказывающие влияние на энергетическую эффективность зданий…..4
5.4 Функции ВАС, влияющие на энергоэффективность здания…………………..10
6 Методики расчета эффективности ВАС………………………………..13
6.1 Общие положения………………………………………….13
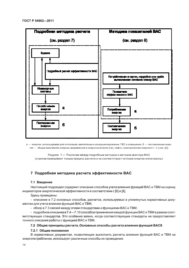
7 Подробная методика расчета эффективности ВАС………………………….14
7.1 Введение………………………………………………14
7.2 Общие принципы расчета. Основные способы расчета влияния функций BACS……….14
7.3 Метод, учитывающий различные функции при расчете……………………..16
7.4 Управление отоплением и охлаждением……………………………..17
7.5 Управление (регулирование) вентиляцией(и)…………………………..22
7.6 Регулирование освещения…………………………………….24
7.7 Управление приводами светозатенения……………………………..24
7.8 Автоматическая система управления квартирой (помещением)и зданием (домовая автоматизация) ……………………………………………….25
7.9 Функции технического менеджмента квартир (помещений) и зданий……………..25
7.10 Сравнение влияния системы автоматизации квартир и здания и функций технического
менеджмента здания……………………………………….26
8 Методика расчета, основанная на коэффициентах эффективности ВАС……………..27
8.1 Описание метода коэффициентов ВАС……………………………..27
8.2 Коэффициент эффективности ВАС для тепловой энергии fBAC, HC……………….29
8.3 Коэффициент эффективности ВАС для электроэнергии /Bac, ei…………………29
8.4 Пример расчета методом коэффициентов ВАС…………………………30
Приложение А (справочное) Влияние инновационных интегрированных функций ВАСS на энергоэффективность (примеры)………………………………..32
Библиография………………………………………………..38
Введение
Целью настоящего стандарта является гармонизация методов расчета энергетической эффективности зданий в соответствии с Федеральными законами № 384-ФЗ от 30.12.2009 «Технический регламент о безопасности зданий и сооружений» и № 261-ФЗ от 23.11.2009 «Об энергосбережении и о повышении энергетической эффективности, и о внесении изменений в отдельные законодательные акты Российской Федерации», а также с основополагающими требованиями директив Европейского сообщества 2002/91/ЕС по общей энергетической эффективности зданий (далее — ЕРВй).
Настоящий стандарт предназначен для разработки зависимостей и методов оценки влияния автоматических систем управления зданиями (далее — BACS) и технического обслуживания зданий (далее — TBM) на энергетическую эффективность и потребление энергии в зданиях.
Настоящий стандарт также содержит рекомендации по учету влияния функций BACS и TBM при разработке стандартов в соответствии с мандатом М/343.
Настоящий стандарт устанавливает методы оценки факторов экономии энергии, которые могут быть использованы при энергетической оценке зданий для расчета энергетической эффективности технических систем здания, например систем отопления, охлаждения, вентиляции и освещения. Настоящий стандарт учитывает, что при эксплуатации зданий с помощью автоматического управления зданиями (BAC) и менеджмента зданий (BM) энергопотребление зданий может быть снижено.
Настоящий стандарт следует применять какдля существующих, так ипри строительстве новых или реконструируемых зданий.
НАЦИОНАЛЬНЫЙ СТАНДАРТ РОССИЙСКОЙ ФЕДЕРАЦИИ
ЭНЕРГОЭФФЕКТИВНОСТЬ ЗДАНИЙ
Методы определения влияния автоматизации, управления и эксплуатации здания
Energy performance of buildings.
Methods for determination of automation, controls and building management influence
Дата введения — 2012—05—01
1 Область применения
Настоящий стандарт устанавливает:
— функции управления, автоматизации зданий и технического менеджмента зданий, которые оказывают влияние на энергетическую эффективность зданий;
— метод определения минимальных требований к функциям управления, автоматизации и технического управления зданий, которые должны внедряться в зданиях различного назначения;
— подробные методы оценки влияния указанных функций на потребление энергии зданием, позволяющие ввести характеристики влияния этих функций в расчеты параметров энергетической эффективности и индикаторов, используемых в соответствующих стандартах [1]—[40];
— упрощенный метод первичной оценки влияния указанных функций на типовое здание.
2 Нормативные ссылки
В настоящем стандарте использована нормативная ссылка на следующий стандарт:
ГОСТ Р 51750-2001 Энергосбережение. Методика определения энергоемкости при производстве продукции иоказании услугвтехнологическихэнергетических системах. Общие положения
Примечание — При пользовании настоящим стандартом целесообразно проверить действие ссылочных стандартов в информационной системе общего пользования — на официальном сайте Федерального агентства по техническому регулированию и метрологии в сети Интернет или по ежегодно издаваемому информационному указателю «Национальные стандарты», который опубликован по состоянию на 1 января текущего года, и по соответствующим ежемесячно издаваемым информационным указателям, опубликованным в текущем году. Если ссылочный стандарт заменен (изменен), то при пользовании настоящим стандартом следует руководствоваться заменяющим (измененным) стандартом. Если ссылочный стандарт отменен без замены, то положение, в котором дана ссылка на него, применяется в части, не затрагивающей эту ссылку.
3 Термины и определения
В настоящем стандарте применены следующие термины с соответствующими определениями:
Примечание — Для удобства использования термины и определения, примененные в настоящем стандарте, соответствуют терминам и определениям, определенным в других, близких по тематике международных стандартах ИСО/МЭК и/или ЕН.
3.1 автоматизация и управление зданиями; BAC (building automation and controls; BAC): Комплекс технических средств, программного обеспечения, технического обслуживания для автоматического управления, мониторинга, оптимизации работы персонала при эксплуатации в целях обеспечения энергетически эффективных, экономичных и безопасных операций по обслуживанию инженерного оборудования здания (см. [1]).
Издание официальное
3.2 дополнительная энергия (auxiliary energy): Электрическая энергия, используемая инженерными установками зданий и системамидля отопления, кондиционирования, механической вентиляции и горячего водоснабжения с целью обеспечения коммунальных услуг здания.
Примечание — Дополнительная энергия включает в себя электрическую энергию, расходуемую на приводы вентиляторов, насосов, регулирующих и запорных клапанов, автоматики и т. д.
3.3 заданная температура зоны кондиционирования (set-point temperature of a conditioned zone): Внутренняя (минимальная) температура воздуха в помещении, устанавливаемая системой управления в нормальном режиме отопления, или внутренняя (максимальная) температура воздуха в помещении, устанавливаемая системой управления в нормальном режиме охлаждения.
Примечание — Скорректированное значение заданной температуры используют для расчета энергетической эффективности. Это позволяет учитывать влияние точности системы контроля на энергетическую эффективность.
3.4 измеренное номинальное потребление энергии (measured energy rating): Номинальное потребление энергии, основанное на измеренных количествах поступающей и расходуемой энергии.
Примечания
1 Измеренная номинальная величина представляет собой сумму всех энергоносителей, использованных в здании при измерении с помощью приборов или другими способами. Измеренное номинальное потребление энергии характеризует внутреннее потребление энергии в здании, используемой, в частности, для сертификации фактической энергоэффективности.
2 Измеренное номинальное потребление энергии известно также как «рабочее номинальное потребление».
3.5 интегрированные системы автоматизации и контроля здания (integrated building automation and control systems): Система автоматизации и контроля здания, схема которой позволяет взаимодействовать с другой системой и подсоединяться кодному или более указанномуустройству/ука-занной системе автоматизации и контроля зданий третьей стороны посредством коммуникаций открытого доступа, стандартных интерфейсов, специальных сервисов и других допустимых средств интеграции систем.
Пример — Взаимодействие между отдельными схемами, представляющими собой системы вентиляции, отопления и кондиционирования, горячего водоснабжения, освещения, электроснабжения, лифтов и подъемников, других установок, а также систем коммуникаций, контроля доступа, безопасности и т. д.
3.6 интегрированные функции (integrated function): Рабочие программы BACS, общие параметры и точки доступа для взаимодействия служб и технических систем здания.
3.7 поставляемая энергия (delivered energy): Энергия от энергетических источников, подводимая кустановкам инженерного оборудования в здании по границам установок с тем, чтобы компенсировать расчетное потребление энергии (например, для отопления, кондиционирования, вентиляции, горячего водоснабжения, освещения, электроснабжения бытовых приборов).
Примечания
1 При активных солнечных и ветряных энергетических системах солнечное излучение, падающее на солнечные коллекторы, или кинетическая энергия ветра не входят в энергетический баланс здания.
2 Количество подведенной энергии может определяться расчетным путем для определенных энергетических нужд либо измеряться.
3.8 потребление энергии в системах отопления или охлаждения (energy need for heating or cooling): Тепло, которое должно подаваться в помещение или выводиться из него для поддержания нормируемых температурных условий в течение заданного периода времени.
3.9 потребление энергии в системах отопления, охлаждения или горячего водоснабжения
(energy use for space heating or cooling or domestic hot water): Энергия, подводимая в системы отопления, охлаждения или горячего водоснабжения, равная сумме потребности в энергии и невозвратных тепловых потерь соответственно в каждой технической системе.
Примечание — В настоящем стандарте также рассматривается и потребление энергии на освещение.
3.10 системы автоматизации и управления здания (BACS) [building automation and control systems (BACS)]: Системы, состоящие из технических средств, программного обеспечения, инженерных служб (включая их взаимосвязи), используемых для автоматического управления, мониторинга, оптимизации работы, а также для управления действиями персонала и менеджмента в целях обеспечения энергетически эффективных, экономических и безопасных операций по обслуживанию инженерным оборудованием здания (см. [1]).
Примечание — Функции BACS, помимо функций контроля, включают в себя функции обработки данных.
3.11 система управления зданием (building management system; BMS): См. «система автоматизации и управления зданием (BACS)» (см. [1]).
Примечания
1 Службы здания подразделяют на технические, инфраструктурные и финансовые службы; управление энергопотреблением является частью задач эксплуатации здания.
2 Система управления энергопотреблением здания является частью BMS и частью BAOS.
3 Система управления энергопотреблением здания включает в себя сбор, регистрацию, аварийную сигнализацию, отчетность и анализ данных по энергопотреблению и т. п. Система проектируется в целях уменьшения потребления энергии, повышения ее полезного использования, надежности и прогнозирования рабочих характеристик технических систем здания, а также оптимизации энергозатрат и снижения их стоимости.
3.12 техническая система здания (technical building system): Техническое оборудование различных систем: отопления, охлаждения, вентиляции, кондиционирования, горячего водоснабжения, освещения и электроснабжения (см. [2]).
Примечание — Техническая система здания включает в себя также и другие подсистемы, работающие в здании.
3.13 техническое управление зданием; TBM (technical building management; TBM): Комплекс мероприятий, согласованно выполняемых различными службами, включающий в себя работы по мониторингу технического состояния и поддержанию работоспособности как объекта в целом, так и его отдельных элементов и систем, оптимизацию технических процессов управления при эксплуатации.
Примечание — Задачей TBM также является оптимизация технического обслуживания и энергопотребления.
Пример — Оптимизация технических процессов распространяется на отопление, вентиляцию, кондиционирование, освещение, безопасность, надежность электрических энергосистем и мониторинг их параметров, а также на службы здания, включая коммуникации, техническое обслуживание и управление.
3.14 функция контроля (control function): В рамках BACS — функции контроля, ввода/вывода, обработки, оптимизации, управления и персонала. Они перечислены в перечне функций (BACS-FL) и в описании этих работ (см. [1]).
Примечание — Функция является программным блоком, предоставляющим отдельный элемент данных, который может иметь много значений (т. е. быть массивом или структурой). Функции могут быть составляющими программы [3].
3.15 эксплуатация здания (building management; BM): Совокупность сервисов, включенных в работу по управлению и мониторингу здания (сервисы, включающие в себя оборудование и установки) (см. [4]).
3.16 энергоноситель (energy carrier): Вещество или явление, которое используется для накопления и транспортировки энергии, подвода и передачи ее потребителю.
Примечание — Содержание энергии определяется теплоемкостью энергоносителя или удельной теплотворной способностью.
3.17 энергопотребление здания (energy performance of a building): Расчетное или измеренное количество энергии, использованное для отопления, охлаждения, вентиляции, горячего водоснабжения и освещения здания.
4 Обозначения
В настоящем стандарте применены следующие обозначения:
BAC — автоматизация и управление инженерными системами;
BACS — система автоматизации и управления зданиями;
BM — эксплуатация зданий;
HVAC — отопление, вентиляция и кондиционирование воздуха;
TBM — техническое управление зданиями.
5 Влияние BACS и TBM на энергетическую эффективность зданий
5.1 Общие положения
Системы автоматизации и управления здания обеспечивают эффективное управление системами отопления, вентиляции, охлаждения, горячего водоснабжения и освещения и др., позволяют повысить энергетическую и операционную эффективность систем. В целях энергосбережения работа служб здания и программное обеспечение систем должны предусматриваться так, чтобы осуществлять управление зданием с учетом реальных потребностей пользователей, исключая или уменьшая неоправданные затраты энергии в соответствии с [5].
Техническое управление зданием предоставляет информацию об эксплуатации, техническом обслуживании, работе отдельных служб и всей системы управления зданием, главным образом в целях оценки энергопотребления (различные измерения, анализ и хранение полученных данных), а также осуществляет своевременное диагностирование необоснованных затрат энергии. Оценка энергопотребления предъявляет требования кдокументообороту и процессу контроля и используется для разработки текущих и предупредительных корректирующих действий для повышения энергетической эффективности зданий.
5.2 Классы эффективности системы автоматизации и управления здания
Для зданий жилых и общественного назначения определены следующие классы эффективности системы автоматизации управления зданием:
— класс D — здания, в которых отсутствует необходимость использования BACS для управления энергоэффективностью здания;
— класс C — здания, в которых используются упрощенные BACS;
— класс B — здания, в которых используются усовершенствованные BACS и некоторые определенные функции TBM;
— класс A — здания, в которых используются энергетически высокоэффективные BACS и TBM.
Функции систем автоматического управления зданиями (далее — САУЗ) каждого класса эффективности для подсистемы управления отоплением приведены в таблице 1:
например, для соответствия САУЗ классу C должен быть предусмотрен минимум функций автоматического управления подсистемами от управления производством тепла подсистемы 1.1 до управления температурой от источника энергии (котла) 1.5.
Примечание — При этом подразумевается, что система гидравлически отрегулирована и сбалансирована.
Для соответствия САУЗ здания классу В дополнительно должны быть предусмотрены некоторые специальные функции по таблице 1. Контрольные устройства в помещениях должны быть связаны с системой автоматизации здания и управлять подсистемой производства тепла.
Для соответствия САУЗ здания классу А дополнительно к функциям классов С и В должна быть обеспечена функция технического управления здания и некоторые специальные функции, указанные в таблице 1, в том числе функция 1.6. Контрольные устройства в помещениях должны иметь функции управления системами отопления, вентиляции и кондиционирования, например, устанавливать адаптивную контрольную точку в зависимости от занятости помещения, качества воздуха и т. д. Такие функции называются «контроль по требованию». Дополнительно применяются функции для связи между системами отопления, вентиляции и кондиционирования и другими системами здания (например, электроснабжением, освещением, затенением солнечного освещения и т. д.), а также с некоторыми функциями ВАС (см. разделы 2, 3,4).
Класс D САУЗ здания присваивается, если отсутствует минимум функций, соответствующих классу С.
5.3 Функции BAC и TBM, оказывающие влияние на энергетическую эффективность зданий
Некоторые функции САУЗ и TBM, оказывающие влияние на энергетическую эффективность здания, в обобщенном виде приведены в таблице 1. Функции отнесены к классам эффективности BAC в соответствии с 5.2 в зависимости от их использования в жилых зданиях или зданиях общественного назначения.
Порядок использования таблицы 1:
а) собственники зданий, архитекторы или инженеры, определяющие функции САУЗ, а также технического управления зданий ^УЗ) для нового или при реконструкции существующего здания:
1) должны отметить знаком «X» каждую из тех функций, которую они хотят использовать. Для указания, к какому классу (A, B, C или D) относится указанная ими функция, следует использовать в качестве вспомогательного средства выделенные заливкой ячейки таблицы 1. Например, для включения САУЗ в класс В необходимо поставить знак «X» в выделенную заливкой ячейку класса В,
2) допускается выбирать класс САУЗ (A, B, C или D) по таблице 1;
б) органы государственной власти, определяющие минимальные требования к функциям BAC и TBM для новых или для реконструируемых зданий в соответствии с [6]:
1) допускается устанавливать минимальный класс. Если не обусловлено иное, таким классом является класс С;
в) органы государственной власти, определяющие процедуры контроля технических систем, а также инспекторы, применяющие эти процедуры при проверке соответствия требованиям уровня внедряемых функций BAC и TBM:
1) органы государственной власти могут запросить таблицу с указанием функций управления для контроля BACS на месте,
2) инспекторы могут поставить знак «X» для каждой из внедренных функций BAC,
3) затем инспекторы должны иметь возможность определить класс (A, B, C или D) внедренных функций. Для присвоения данного класса все выделенные заливкой ячейки данного класса должны быть отмечены знаком «X»;
г) органы государственной власти, определяющие методы расчетов, учитывающие влияние функций bAc и TBM на энергетическую эффективность зданий, а также разработчики программного обеспечения, использующие эти методы расчетов совместно с проектировщиками:
1) органы государственной власти могут представить запрос относительно учета влияния принятых функций BAC и TBM,
2) разработчики программного обеспечения могут включить в него интерфейсы пользователя, позволяющие ввести перечень внедряемых функций BAC и TBM в соответствии с таблицей 1. Они могут предоставить упрощенный режим ввода в зависимости от класса функций A, B, C, D;
д) проектировщики должны учитывать наличие или отсутствие функций BAC и TBM при оценке энергетической эффективности здания:
1) проектировщики должны будут только ввести класс функций (A, B, C, D) или подробный перечень функций в программу, предназначенную для оценки энергетической эффективности зданий.
Функции BAC и TBM, определенные в таблице 1, применяются не ко всем типам систем HVAC. В [7] (таблица 5) представлены функции BAC для различных категорий системы HVAC, оказывающие основное влияние на потребление энергии.
|
Таблица 1 — Функции управления и их соответствие классам эффективности BAC |
||||||||||||||||||||||||||||||||||||||||||||||||||||||||||||||||||||||||||||||||||||||
|
||||||||||||||||||||||||||||||||||||||||||||||||||||||||||||||||||||||||||||||||||||||
|
Продолжение таблицы 1 |
||||||||||||||||||||||||||||||||||||||||||||||||||||||||||||||||||||||||||||||||||||||||||||||||||||||||||||||||||||||||||||||||||||||||||||||||||||||||||||||||||||||||||||||||||||||||||||||||||||||||||||||||||||||||||||||||||||||||||||
|
||||||||||||||||||||||||||||||||||||||||||||||||||||||||||||||||||||||||||||||||||||||||||||||||||||||||||||||||||||||||||||||||||||||||||||||||||||||||||||||||||||||||||||||||||||||||||||||||||||||||||||||||||||||||||||||||||||||||||||
|
Продолжение таблицы 1 |
||||||||||||||||||||||||||||||||||||||||||||||||||||||||||||||||||||||||||||||||||||||||||||||||||||||||||||||||||||||||||||||||||||||||||||||||||||||||||||||||
| ||||||||||||||||||||||||||||||||||||||||||||||||||||||||||||||||||||||||||||||||||||||||||||||||||||||||||||||||||||||||||||||||||||||||||||||||||||||||||||||||

