Болты высокопрочные с шестигранной головкой с увеличенным размером под ключ для металлических конструкций. Технические условия
На нашем сайте можно бесплатно скачать Руководящий документ ГОСТ Р 52644-2006 в удобном формате. Узнать актуальный статус документа «Болты высокопрочные с шестигранной головкой с увеличенным размером под ключ для металлических конструкций. Технические условия» на 2016 год.
Скрыть дополнительную информацию
Страница 1

Страница 2

Страница 3

Страница 4

Страница 5

Страница 6

Страница 7

Страница 8

Страница 9

Страница 10

Страница 11

Страница 12

Страница 13

Страница 14

Страница 15

Страница 16

Страница 17

Страница 18

Страница 19

Страница 20

Страница 21

Страница 22

Страница 23

Страница 24

Страница 25

Страница 26

Страница 27

Страница 28

Страница 29
ФЕДЕРАЛЬНОЕ АГЕНТСТВО ПО ТЕХНИЧЕСКОМУ РЕГУЛИРОВАНИЮ И МЕТРОЛОГИИ
НАЦИОНАЛЬНЫЙ ГОСТР
стандарт 52644—
российской 2006
федерации (ИСО 7411:1984)
БОЛТЫ ВЫСОКОПРОЧНЫЕ С ШЕСТИГРАННОЙ ГОЛОВКОЙ С УВЕЛИЧЕННЫМ РАЗМЕРОМ ПОД КЛЮЧ ДЛЯ МЕТАЛЛИЧЕСКИХ КОНСТРУКЦИЙ
Технические условия
ISO 7411:1984
Hexagon bolts for high-strength structural bolting with large width across flats (thread lengths according to ISO 888) — Product grade С — Property classes 8.8 and 10.9
(MOD)
Издание официальное
|
Москва Стандартинформ 2007 |
Предисловие
Цели и принципы стандартизации в Российской Федерации установлены Федеральным законом от 27 декабря 2002 г. № 184-ФЗ «О техническом регулировании», а правила применения национальных стандартов Российской Федерации — ГОСТ Р 1.0-2004 «Стандартизация в Российской Федерации. Основные положения»
Сведения о стандарте
1 ПОДГОТОВЛЕН рабочей группой в составе Общества с ограниченной ответственностью «Научно-производственный центр мостов» (ООО «НПЦ мостов») и Закрытого акционерного общества «Центральный научно-исследовательский и проектный институт строительных металлоконструкций им. Н.П. Мельникова (ЗАО «ЦНИИ ПСК им. Н.П. Мельникова») на основе собственного аутентичного перевода стандарта, указанного в пункте 4
2 ВНЕСЕН Техническим комитетом по стандартизации ТК229 «Крепежные изделия»
3 УТВЕРЖДЕН И ВВЕДЕН В ДЕЙСТВИЕ Приказом Федерального агентства по техническому регулированию и метрологии от 27 декабря 2006 г. № 409-ст
4 Настоящий стандартявляетсямодифицированным поотношениюкмеждународномустандарту ИСО 7411:1984 «Болты с шестигранной головкой для высокопрочных конструкционных болтовых соединений с широкими гранями (длины резьб в соответствии с ИСО 888). Класс точности С. Классы прочности 8.8 и 10.9» (ISO 7411:1984 «Hexagon bolts for high-strength structural bolting with large width across flats (thread lengths according to ISO 888) — Product grade С — Property classes 8.8 and 10.9») путем внесения технических отклонений, объяснение которых приведено во введении к настоящему стандарту.
Наименование настоящего стандарта изменено относительно наименования указанного международного стандарта для приведения в соответствие с ГОСТ Р 1.5-2004 (подраздел 3.5)
5 ВВЕДЕН ВПЕРВЫЕ
Информация об изменениях к настоящему стандарту публикуется в ежегодно издаваемом указателе «Национальные стандарты», а текст изменений и поправок— в ежемесячно издаваемых информационных указателях «Национальные стандарты». Вслучаепересмотра (замены) или отмены настоящего стандарта соответствующее уведомление будет опубликовано в ежемесячно издаваемом информационном указателе «Национальные стандарты». Соответствующая информация, уведомление и тексты размещаются также в информационной системе общего пользования — на официальном сайте Федерального агентства по техническому регулированию и метрологии в сети Интернет
Настоящий стандарт не может быть полностью или частично воспроизведен, тиражирован и распространен в качестве официального издания без разрешения Федерального агентства по техническому регулированию и метрологии
© СТАНДАРТИНФОРМ, 2007 © СТАНДАРТИНФОРМ, 2008 Переиздание (по состоянию на март 2008 г.)
Содержание
1 Область применения……………………………………………1
2 Нормативные ссылки…………………………………………..1
3 Конструкция и размеры………………………………………….2
4 Технические требования…………………………………………5
5 Обеспечение затяжки болтов на заданное усилие…………………………..5
6 Обозначение………………………………………………..6
7 Маркировка…………………………………………………6
Приложение А (обязательное) Дополнительные варианты конструктивного исполнения тела
и головки болта………………………………………7
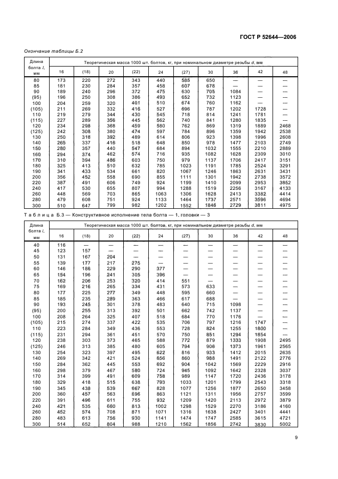
Приложение Б (справочное) Теоретическая масса болтов (без защитного покрытия)……….8
Приложение В (справочное) Разделы ИСО 7411:1984, которые применены в настоящем стандарте с модификацией их содержания для учета особенностей национальной стандартизации……………………………………………12
Приложение Г (справочное) Текст приложений А и В международного стандарта ИСО 7411:1984,
не включенных в настоящий стандарт в связи с нецелесообразностью их применения в национальной стандартизации……………………………17
Приложение Д (справочное) Сведения о соответствии ссылочных международных стандартов
национальным стандартам Российской Федерации, использованным в настоящем стандарте в качестве нормативных ссылок……………………..19
Введение
В настоящий стандарт включены следующие дополнительные по отношению к требованиям международного стандарта ИСО 7411:1984 требования, отражающие потребности национальной экономики Российской Федерации и особенности изложения национальных стандартов Российской Федерации (в соответствии с ГОСТ Р 1.5-2004), а именно приведены:
— нормативные ссылки на национальные стандарты;
— размеры болтов М42 и М48;
— варианты конструктивного исполнения тела и головки болта;
— длина резьбы болтов;
— требования к толщине покрытия болтов;
— пример условного обозначения болтов различного конструктивного исполнения тела и головки;
— требования к значению коэффициента закручивания;
— теоретическая масса болтов различного конструктивного исполнения тела и головки.
Из стандарта исключены размеры болтов М12. В стандарт не включены приложения А и В ИСО 7411:1984.
Указанные дополнительные требования включены в разделы 1, 2, 3, 4, 5, 6, 7 и приложения А и Б настоящего стандарта на основании требований ГОСТ Р 1.5 к содержанию стандартов на продукцию, при этом модифицированные разделы выделены вертикальной полужирной линией, расположенной слева от измененного текста, замененныйтекст приведен в приложении В, а текст, не включенный в стандарт, приведен в приложении Г.
ОКС 21.060.01 Группа Г31
Изменение № 1 ГОСТ Р 52644-2006 (ИСО 7411:1984) Болты высокопрочные с шестигранной головкой с увеличенным размером под ключ для металлических конструкций. Технические условия
Утверждено и введено в действие Приказом Федерального агентства по техническому регулированию и метрологии от 17.03.2011 № 30-ст
Дата введения 2011—07—01
Раздел 1 изложить в новой редакции:
«1 Область применения
Настоящий стандарт распространяется на высокопрочные болты с шестигранной головкой с увеличенным размером под ключ (далее — болты), предназначенные для использования в металлических конструкциях, применяемых в строительстве (в том числе — в строительстве мостов) и машиностроении, эксплуатируемые во всех макроклиматичес-ких районах независимо от категории размещения по ГОСТ 15150».
(Продолжение см. с. 40)
(Продолжение Изменения № 1 к ГОСТ Р 52644-2006) Раздел 2 дополнить ссылками:
«ГОСТ Р ИСО 4759-1-2009 Изделия крепежные. Допуски. Часть 1. Болты, винты, шпильки и гайки. Классы точности А, В и С
ГОСТ Р ИСО 6157-1-2009 Изделия крепежные. Дефекты поверхности. Часть 1. Болты, винты и шпильки общего назначения»;
ссылки на ГОСТ 1759.1-82, ГОСТ 1759.2-82 и их наименования исключить.
Раздел 3. Первый абзац изложить в новой редакции:
«Конструкция болтов должна соответствовать указанной на рисунке 1, а размеры болтов соответствовать указанным в таблице 1»; рисунок 1 заменить новым:
(Продолжение см. с. 41)
Рисунок 1 — Конструктивное исполнение тела болта 1 (основное
исполнение)
|
Таблица 1. Графы «S», «е», «г» изложить в новой редакции: |
|||||||||||||||||||||||||||||||||||||||||||||||||||||||||||
|
|||||||||||||||||||||||||||||||||||||||||||||||||||||||||||
Раздел 4. Таблица 3. Заменить ссылку: ГОСТ 1759.1 на ГОСТ Р ИСО 4759-1 (2 раза), ГОСТ 1759.2 на ГОСТ Р ИСО 6157-1.
Раздел 6. Последний пример изложить в новой редакции:
«Болт с шестигранной головкой с увеличенным размером под ключ с диаметром резьбы d = 22 мм, длиной 1= 75 мм, конструктивного исполнения тела болта 2, конструктивного исполнения головки 1, класса прочности 10.9, климатического исполнения У, с химическим фосфатным покрытием по ГОСТ 9.306:
Болт 2.1 М22х 75 10.9 хим. фос ГОСТ Р 52644-2006».
Приложение А. Рисунок А.2 заменить новым:
(Продолжение см. с. 42)
|
г Г |
||
|
— |
ъ5 |
|
|
Kw к |
(1,5…2,0 |
|
|
12,5 |
Kw = 0,65 К Для исполнений 2 и 3 dw = 0,95S Для исполнения 4 dw = 1,05е
Рисунок А.2 — Конструктивное исполнение головки болта
(ИУС № 6 2011 г.)
ГОСТ Р 52644-2006 (ИСО 7411:1984)
НАЦИОНАЛЬНЫЙ СТАНДАРТ РОССИЙСКОЙ ФЕДЕРАЦИИ
БОЛТЫ ВЫСОКОПРОЧНЫЕ С ШЕСТИГРАННОЙ ГОЛОВКОЙ С УВЕЛИЧЕННЫМ РАЗМЕРОМ ПОД КЛЮЧ ДЛЯ МЕТАЛЛИЧЕСКИХ КОНСТРУКЦИЙ
Технические условия
Hexagon bolts for high-strength structural bolting with large width across flats. Specifications
Дата введения — 2008—01—01
1 Область применения
Настоящий стандарт распространяется на высокопрочные болты с шестигранной головкой с увеличенным размером под ключ (далее — болты), предназначенные для использования в металлических конструкциях, применяемых в строительстве и машиностроении и эксплуатируемые в макрокпиматических районах с умеренным (У) и холодным (ХЛ) климатом категории размещения 1 по ГОСТ 15150.
2 Нормативные ссылки1
В настоящем стандарте использованы нормативные ссылки на следующие стандарты:
ГОСТ Р 9.316-2006 Единая система защиты от коррозии и старения. Покрытия термодиффузионные цинковые. Общие требования и методы контроля
ГОСТ Р 52627-2006 (ИСО 898-1:1999) Болты, винты и шпильки. Механические свойства и методы испытаний
ГОСТ Р 52643-2006 Болты и гайки высокопрочные и шайбы для металлических конструкций. Общие технические условия
ГОСТ Р 52645-2006 (ИСО 4775:1984) Гайки высокопрочные шестигранные с увеличенным размером под ключ для металлических конструкций. Технические условия
ГОСТ Р 52646-2006 (ИСО 7415:1984) Шайбы к высокопрочным болтам для металлических конструкций. Технические условия
ГОСТ 9.306-85 Единая система защиты от коррозии и старения. Покрытия металлические и неметаллические неорганические. Обозначения
ГОСТ 1759.0-87 Болты, винты, шпильки и гайки. Технические условия
ГОСТ 1759.1-82 Болты, винты, шпильки, гайки и шурупы. Допуски. Методы контроля размеров и отклонений формы и расположения поверхностей
ГОСТ 1759.2-82 Болты, винты и шпильки. Дефекты поверхности и методы контроля ГОСТ 12414-94 (ИСО 4753—83) Концы болтов, винтов и шпилек. Размеры ГОСТ 15150-69 Машины, приборы и другие технические изделия. Исполнения для различных климатических районов. Категории, условия эксплуатации, хранения и транспортирования в части воздействия климатических факторов внешней среды
ГОСТ 16093-2004 (ИСО 965-1:1998, ИСО 965-3:1998) Основные нормы взаимозаменяемости. Резьба метрическая. Допуски. Посадки с зазором
ГОСТ 19256-73 Стержни под накатывание метрической резьбы. Диаметры ГОСТ 24705-2004 (ИСО 724:1993) Основные нормы взаимозаменяемости. Резьба метрическая. Основные размеры
ГОСТ 27148-86 Изделия крепежные. Выход резьбы. Сбеги, недорезы и проточки. Размеры
Издание официальное
Примечание — При пользовании настоящим стандартом целесообразно проверить действие ссылочных стандартов в информационной системе общего пользования — на официальном сайте Федерального агентства по техническому регулированию и метрологии в сети Интернет или по ежегодно издаваемому указателю «Национальные стандарты», который опубликован по состоянию на 1 января текущего года, и по соответствующим ежемесячно издаваемым информационным указателям, опубликованным в текущем году. Если ссылочный стандарт заменен (изменен), то при пользовании настоящим стандартом следует руководствоваться заменяющим (измененным) стандартом. Если ссылочный стандарт отменен без замены, то положение, в котором дана ссылка на него, применяется в части, не затрагивающей эту ссылку.
3 Конструкция и размеры
Конструкция и размеры болтов должны соответствовать указанным на рисунке 1 и в таблице 1 (исполнение 1).
|
Рисунок 1 |
Допускается изготовлять тело болта в конструктивном исполнении 2 согласно приложению А. Вариант конструктивного исполнения болтов выбирает потребитель. Головки болтов изготовляют в конструктивном исполнении 1 (основное исполнение) согласно рисунку 1 или в конструктивных исполнениях 2,3 и 4 согласно приложению А. Вариант конструктивного исполнения головки определяет изготовитель. Размеры болтов с различным видом исполнения тела и головки должны соответствовать указанным в таблице 1 и в приложении А.
|
Таблица 1 — Общие размеры В миллиметрах |
|||||||||||||||||||||||||||||||||||||||||||||||||||||||||||||||||||||||||||||||||||||||||||||||||||||||||||||||||||||||||||||||||||||||||||||||||||||||||||||||||||||||||||||||||||||||||||||||||||||||||||||||||||||||||||||||||||||||||||||||||||||||||||||||||||||||||||||||||||||||||||||||||||||||||||||||||||||||||||||||||||||||||||||||||||||||||||||||||||||||||||||||||||||||||||||||||||||||||||||||||||||||||||||||||||||||||||||||||||||||||||||||||||||||||||||||||||||||||||||||||||||||||||||||||||||||||||||||||||||||||||||||||||||||||||||||||||||||||||||||||||||||||||||||||||||||||||||||||||||||||||||||||||||||||||||||||||||||||||||||||||||||||||||||||||
|
|||||||||||||||||||||||||||||||||||||||||||||||||||||||||||||||||||||||||||||||||||||||||||||||||||||||||||||||||||||||||||||||||||||||||||||||||||||||||||||||||||||||||||||||||||||||||||||||||||||||||||||||||||||||||||||||||||||||||||||||||||||||||||||||||||||||||||||||||||||||||||||||||||||||||||||||||||||||||||||||||||||||||||||||||||||||||||||||||||||||||||||||||||||||||||||||||||||||||||||||||||||||||||||||||||||||||||||||||||||||||||||||||||||||||||||||||||||||||||||||||||||||||||||||||||||||||||||||||||||||||||||||||||||||||||||||||||||||||||||||||||||||||||||||||||||||||||||||||||||||||||||||||||||||||||||||||||||||||||||||||||||||||||||||||||
ГОСТ Р 52644-2006
|
В миллиметрах |
||||||||||||||||||||||||||||||||||||||||||||||||||||||||||||||||||||||||||||||||||||||||||||||||||||||||||||||||||||||||||||||||||||||||||||||||||||||||||||||||||||||||||||||||||||||||||||||||||||||||||||||||||||||||||||||||||||||||||||||||||||||||||||||||||||||||||||||||||||||||||||||||||||||||||||||||||||||||||||||||||||||||||||||||||||||||||||||||||||||||||||||||||||||||||||||||||||||||||||||||||||||||||||||||||||||||||||||||||||||||||||||||||||||||||||||||||||||||||||||||||||||||||||||||||||||||||
|
||||||||||||||||||||||||||||||||||||||||||||||||||||||||||||||||||||||||||||||||||||||||||||||||||||||||||||||||||||||||||||||||||||||||||||||||||||||||||||||||||||||||||||||||||||||||||||||||||||||||||||||||||||||||||||||||||||||||||||||||||||||||||||||||||||||||||||||||||||||||||||||||||||||||||||||||||||||||||||||||||||||||||||||||||||||||||||||||||||||||||||||||||||||||||||||||||||||||||||||||||||||||||||||||||||||||||||||||||||||||||||||||||||||||||||||||||||||||||||||||||||||||||||||||||||||||||
ГОСТ Р 52644-2006
Болты могут быть изготовлены без покрытий или с покрытиями по ГОСТ Р 9.316 и ГОСТ 9.306. Предельная рекомендуемая толщина покрытий приведена в таблице 2.
|
Таблица 2 — Предельная толщина покрытия |
|||||||||||||||||||
|
Теоретическая масса болтов приведена в приложении Б.
4 Технические требования
|
Т аблицаЗ — Технические требования |
|||||||||||||||||||||||||||||||||||||||
|
|||||||||||||||||||||||||||||||||||||||
5 Обеспечение затяжки болтов на заданное усилие
Для обеспечения затяжки болтового соединения на заданное усилие изготовитель должен гарантировать стабильный уровень качества поверхности резьбы, который характеризуется коэффициентом закручивания, зависящим от согласованного с потребителем вида покрытия и смазки, нанесенных на резьбу болта и/или гайки.
Болты считают годными к применению, если диапазон значений коэффициента закручивания резьбового соединения — болта и гайки составляет:
— дл


