Акустика. Определение уровней звуковой мощности и звуковой энергии источников шума по звуковому давлению. Точные методы для заглушенных и полузаглушенных камер
На нашем сайте можно бесплатно скачать Руководящий документ ГОСТ ISO 3745-2014 в удобном формате. Узнать актуальный статус документа «Акустика. Определение уровней звуковой мощности и звуковой энергии источников шума по звуковому давлению. Точные методы для заглушенных и полузаглушенных камер» на 2016 год.
Скрыть дополнительную информацию
Выберите формат отображения документа:

Страница 1

Страница 2

Страница 3

Страница 4

Страница 5

Страница 6

Страница 7

Страница 8

Страница 9

Страница 10

Страница 11

Страница 12

Страница 13

Страница 14

Страница 15

Страница 16

Страница 17

Страница 18

Страница 19

Страница 20

Страница 21

Страница 22

Страница 23

Страница 24

Страница 25

Страница 26

Страница 27

Страница 28

Страница 29

Страница 30

Страница 31

Страница 32

Страница 33

Страница 34

Страница 35

Страница 36

Страница 37

Страница 38

Страница 39

Страница 40

Страница 41

Страница 42

Страница 43

Страница 44

Страница 45

Страница 46

Страница 47

Страница 48

Страница 49

Страница 50

Страница 51

Страница 52

Страница 53

Страница 54

Страница 55

Страница 56

Страница 57

Страница 58

Страница 59

Страница 60

Страница 61

Страница 62

Страница 63

Страница 64

Страница 65

Страница 66

Страница 67

Страница 68

Страница 69

Страница 70

Страница 71

Страница 72

Страница 73

Страница 74

Страница 75

Страница 76

Страница 77

Страница 78

Страница 79

Страница 80

Страница 81

Страница 82

Страница 83

Страница 84

Страница 85

Страница 86

Страница 87

Страница 88

Страница 89

Страница 90

Страница 91

Страница 92

Страница 93

Страница 94

Страница 95

Страница 96

Страница 97

Страница 98

Страница 99

Страница 100

Страница 101
МЕЖГОСУДАРСТВЕННЫЙ СОВЕТ ПО СТАНДАРТИЗАЦИИ. МЕТРОЛОГИИ И СЕРТИФИКАЦИИ
(МГС)
INTERSTATE COUNCIL FOR STANDARDIZATION. METROLOGY AND CERTIFICATION
(ISC)
МЕЖГОСУДАРСТВЕННЫЙ
СТАНДАРТ
ГОСТ ISO
3745—
2014
Акустика
ОПРЕДЕЛЕНИЕ УРОВНЕЙ ЗВУКОВОЙ МОЩНОСТИ И ЗВУКОВОЙ ЭНЕРГИИ ИСТОЧНИКОВ ШУМА ПО ЗВУКОВОМУ ДАВЛЕНИЮ
Точные методы для заглушенных и полузаглушенных камер
ISO 3745:2012 (IDT)
Издание официальное
Москва
Стандартинформ
2015
ГОСТ ISO 3745-2014
Предисловие
Цели, основные принципы и основной порядок проведения работ по межгосударственной стандартизации установлены в ГОСТ 1.0-92 «Межгосударственная система стандартизации. Основные положения» и ГОСТ 1.2-2009 «Межгосударственная система стандартизации. Стандарты межгосударственные. правила и рекомендации по межгосударственной стандартизации. Порядок разработки, принятия, применения, обновления и отмены»
Сведения о стандарте
1 ПОДГОТОВЛЕН Открытым акционерным обществом «Научно-исследовательский центр контроля и диагностики технических систем» (АО «НИЦ КД») на основе собственного аутентичного перевода стандарта, указанного в пункте 4
2 ВНЕСЕН Федеральным агентством по техническому регулированию и метрологии Российской Федерации
3 ПРИНЯТ Межгосударственным Советом по стандартизации, метрологии и сертификации (протокол N9 72-П от 14 ноября 2014 г.)
За принятие стандарта проголосовали:
|
Краткое наименование страны по МК (ИСО 3166)004-97 |
Код страны по МК(ИСО 3166)004-97 |
Сокращенное наименование национального органа по стандартизации |
|
Азербайджан |
AZ |
Азстандарт |
|
Армения |
AM |
Минэкономики Республики Армения |
|
Беларусь |
BY |
Госстандарт Республики Беларусь |
|
Казахстан |
KZ |
Госстандарт Республики Казахстан |
|
Киргизия |
KG |
Кыргызстандарт |
|
Молдова |
MD |
Молдова-Стандарт |
|
Россия |
RU |
Росстандарт |
|
Таджикистан |
TJ |
Таджикстандарт |
|
Узбекистан |
UZ |
Уэстандарт |
4 Приказом Федерального агентства по техническому регулированию и метрологии от 29 декабря 2014 г. Np 2147-ст межгосударственный стандарт ГОСТ ISO 3745-2014 введен в действие в качестве национального стандарта Российской Федерации с 01 ноября 2015 г.
5 Настоящий стандарт идентичен международному стандарту ISO 3745:2012 Acoustics — Determination of sound power levels and sound energy levels of noise sources using sound pressure — Precision methods for anechoic rooms and hemi-anechoic rooms (Акустика. Определение уровней звуковой мощности и звуковой энергии источников шума по звуковому давлению. Точные методы для заглушенных и полузаглушенных камер).
Международный стандарт разработан подкомитетом ISO/ТС 43/SC 1 «Шум» технического комитета по стандартизации ISO/TC 43 «Акустика» Международной организации по стандартизации (ISO).
Перевод с английского языка (еп).
Степень соответствия — идентичная (IDT).
Сведения о соответствии межгосударственных стандартов ссылочным международным стандартам приведены в дополнительном приложении ДА.
6 ВЗАМЕН ГОСТ 31273-2003 (ИСО 3745:2003)
Информация о введении в действие (прекращении действия) настоящего стандарта публикуется в ежемесячно издаваемом указателе «Национальные стандарты».
Информация об изменениях к настоящему стандарту публикуется в ежегодно издаваемом информационном указателе «Национальные стандарты», а текст изменений — в информационных указателях «Национальные стандарты». В случав пересмотра или отмены настоящего стандарта соответствующая информация будет опубликована в информационном указателе «Национальные стандарты»
© Стандартинформ. 2015
В Российской Федерации настоящий стандарт не может быть полностью или частично воспроизведен. тиражирован и распространен в качестве официального издания без разрешения Федерального агентства по техническому регулированию и метрологии
ГОСТ ISO 3745-2014
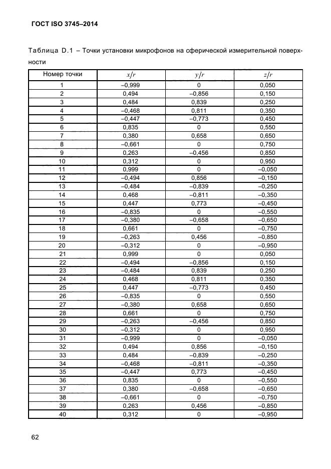
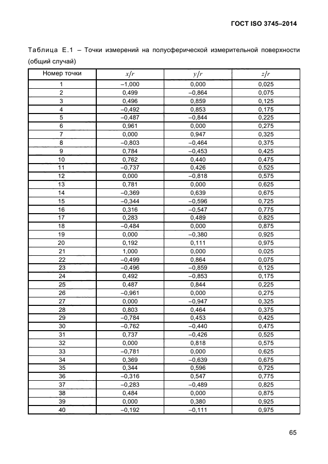
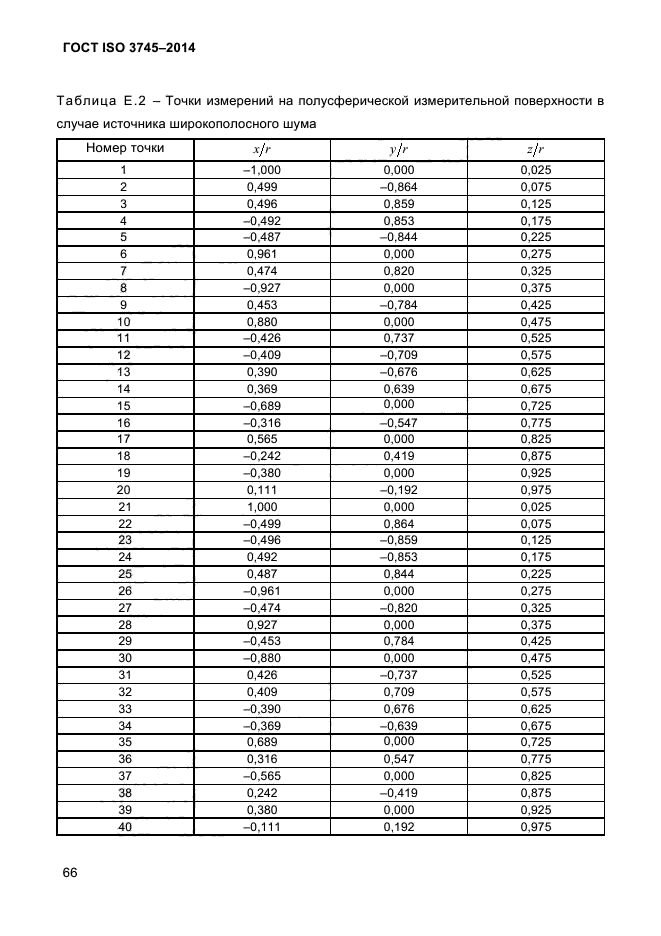
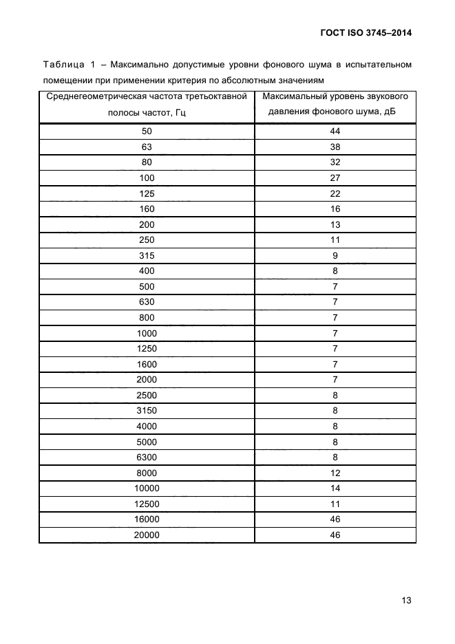
рительной поверхности эквивалентный уровень звукового давления после внесения коррекций на фоновый шум А, (для каждой точки измерения или траектории сканирования), выраженный по формуле
где ^, NM — число точек измерений или траекторий сканирования. Примечание — Lp выражают в децибелах (дБ). 3.18 уровень экспозиции однократного шумового процесса на поверхности (surface single event time-integrated sound pressure level) LE ; Усредненный (методом энергетического суммирования) по точкам измерений на измерительной поверхности уровень экспозиции однократного шумового процесса после внесения коррекций на фоновый шум (для каждой точки измерения или траектории сканирования), выраженный по формуле где ^£-,(st) “ корректированный на фоновый шум уровень экспозиции однократного шумового процесса в /-й точке измерения (месте установки микрофона) при работающем испытуемом источнике шума, дБ; Л’м — число точек измерений. Примечание — LE выражают в децибелах (дБ). 3.19 звуковая мощность (sound power) Р: Интеграл по поверхности от произведения звукового давления р и составляющей скорости колебаний точки поверхности, нормальной к этой поверхности, и„. (ISO 80000-8:2007, 8-16] Примечание 1 — Р выражают в ваттах (Вт). Примечание 2 — Данная величина характеризует скорость излучения звуковой (4) (5) 7 ГОСТ ISO 3745-2014 Содержание 1 Область применения………………………………………………………………………………. 2 Нормативные ссылки………………………………………………………………………………. 3 Термины и определения…………………………………………………………………………. 4 Нормальные атмосферные условия………………………..«……………………………… 5 Испытательное помещение…………………………………………………………………….. 6 Средства измерений……………………………………………………………………………….. 7 Расположение, установка и работа испытуемого источника шума…………….. 8 Измерительная поверхность……………………………………………………………………. 9 Определение уровней звуковой мощности и звуковой энергии………………….. ЮНеопределенность измерения…………………………………………………………………. 11 Регистрируемая информация………………………………………………………………….. 12Протокол испытаний……………………………………………………………………………….. Приложение А (обязательное) Общие методы проверки пригодности заглушенных камер и полузаглушенных камер………………………. Приложение В (обязательное) Проверка пригодности камеры для определения уровня звуковой мощности или уровня звуковой энергии конкретного источника шума……………………………………. Приложение С (обязательное) Расчет уровней звуковой мощности и звуковой энергии с коррекцией по частотной характеристике А на основе результатов измерений в полосах частот……………. Приложение D (обязательное) Точки измерений на сферической измерительной поверхности…………………………………………………. Приложение Е (обязательное) Точки измерений на полусферической измерительной поверхности…………………………………………………. Приложение F (обязательное) Коаксиальные круговые траектории перемещения микрофона по полусферической измерительной поверхности…………………………………………………. Приложение G (обязательное) Меридиональные дуговые траектории перемещения микрофона по полусферической измерительной поверхности…………………………………………………. Приложение Н (обязательное) Винтовая траектория перемещения микрофона по полусферической измерительной поверхности .. Приложение I (рекомендуемое) Руководство по применению информации для расчета неопределенности измерения……………………………. Приложение Д.А (справочное) Сведения о соответствии международных стандартов, на которые даны ссылки, межгосударственным стандартам………………………………………………………………………….. Библиография………………………………………………………………………………………….. Введение Настоящий стандарт входит в серию стандартов (см. [3] — [8]), устанавливающих методы определения уровней звуковой мощности и звуковой энергии источников шума, таких как машины, оборудование и их узлы. Выбор конкретного метода зависит от целей испытаний по определению уровня звуковой мощности (звуковой энергии) и от имеющегося в распоряжении испытательного оборудования. Общее руководство по выбору метода испытаний установлено в [2]. Стандарты [3] — (8) дают только общие рекомендации по установке машин и условиям их работы при испытаниях. Подробные требования к установке машины, режиму ее работы и нагрузке при испытаниях, а также по выбору измерительных поверхностей и установки микрофонов должны быть установлены в стандартах по испытаниям на шум для машин разных видов (так называемых испытательных кодах по шуму). Методы настоящего стандарта требуют установки испытуемой машины в заглушенной или полузаглушенной камере с заданными акустическими характеристиками. Эти методы основаны на допущении, что звуковая мощность (звуковая энергия) источника шума пропорциональна среднеквадратичному звуковому давлению на воображаемой измерительной поверхности, охватывающей машину, а коэффициент пропорциональности зависит только от физических констант воздуха. Методы, установленные настоящим стандартом, предполагают определение уровней звуковой мощности (звуковой энергии) в полосах частот или с коррекцией по частотной характеристике А. Методы настоящего стандарта относятся к точным методам по классификации ISO 12001. Результаты измерений уровней звуковой мощности и звуковой энергии включают в себя поправки на отклонение от нормальных атмосферных условий. В случаях, когда допускается проведение измерений с меньшей точностью или когда условия работы источника шума связаны с большой неопределенностью измерения, можно применить методы измерений, установленные в [6] или [7]. МЕЖГОСУДАРСТВЕННЫЙ СТАНДАРТ Акустика ОПРЕДЕЛЕНИЕ УРОВНЕЙ ЗВУКОВОЙ МОЩНОСТИ И ЗВУКОВОЙ ЭНЕРГИИ ИСТОЧНИКОВ ШУМА ПО ЗВУКОВОМУ ДАВЛЕНИЮ Точные методы для заглушенных и полузаглушенных камер Acoustics. Determination of sound power levels and sound energy levels of noise sources using sound pressure — Precision methods for anechoic rooms and hemi-anechoic rooms Дата введения — 2015-11-01 1 Область применения 1.1 Общие положения Настоящий стандарт устанавливает методы измерения уровней звуковой мощности источника шума или, в случае если шум источника имеет импульсный характер или форму переходного процесса, то уровней звуковой энергии в третьоктав-ных полосах частот или в широкой полосе частот с коррекцией по частотной характеристике А (далее — корректированные по А) по результатам измерений уровней звукового давления на измерительной поверхности в заглушенной или полузаглу-шенной камере. Методы включают в себя внесение поправок на отклонение атмосферных условий во время испытаний от нормальных, соответствующих характеристическому акустическому импедансу воздушной среды. Диапазон частот измерений указанными методами включает в себя третьок-тавные полосы со среднегеометрическими частотами от 100 до 10000 Гц. Диапазон частот измерений может быть расширен или сокращен при условии подтверждения пригодности камеры для проведения измерений в данном расширенном (сокращенном) диапазоне. 1.2 Вид шума и источники шума Настоящий стандарт распространяется на все виды шума (постоянный, непостоянный, флуктуирующий, единичные импульсы и др.) по классификации ISO 12001. Источники шума могут представлять собой устройства, машины и их узлы. Максимальный размер источника шума зависит от заданных требований к радиусу сферической (полусферической) измерительной поверхности. 1.3 Испытательное помещение Испытательным помещением для проведения испытаний в соответствии с настоящим стандартом может быть заглушенная либо полузаглушенная камера. 1.4 Неопределенность измерения В настоящем стандарте приведены сведения о неопределенности измерения уровней звуковой мощности (звуковой энергии) в третьоктавных полосах частот и корректированных по А уровней звуковой мощности. Неопределенность измерения соответствует установленуой ISO 12001 для точных методов измерений. 2 Нормативные ссылки Для применения настоящего стандарта необходимы следующие ссылочные документы. Для датированной ссылки применяют только указанное издание ссылочного документа. Для недатированной ссылки применяют последнее издание ссылочного документа (включая все его изменения). ISO 5725 (все части) Accuracy (trueness and precision) of measurement methods and results [Точность (правильность и прецизионность) методов и результатов измерений] ISO 9613-1:1993 Acoustics — Attenuation of sound during propagation outdoors -Part 1: Calculation of the absorption of sound by the atmosphere (Акустика. Ослабление звука при его распространении на местности. Часть 1. Расчет поглощения звука атмосферой) ISO 12001:1996 Acoustics — Noise emitted by machinery and equipment — Rules for the drafting and presentation of a noise test code (Акустика. Шум, излучаемый машинами и оборудованием. Правила составления испытательных кодов по шуму) ISO/IEC Guide 98-3 Uncertainty in measurement — Part 3: Guide to the expression of uncertainty in measurement (GUM:1995) [Неопределенность измерения. Часть 3. Руководство по выражению неопределенности измерения (GUM)] IEC 60942: 2003 Electroacoustics — Sound calibrators (Электроакустика. Калибраторы акустические) 2 ГОСТ ISO 3745-2014 IEC 61183 Electroacoustics — Random-incidence and diffuse-field calibration of sound level meters (Электроакустика. Калибровка шумомеров в диффузном звуковом поле) IEC 61260:1995 Electroacoustics — Octave-band and fractional-octave-band filters (Электроакустика. Фильтры полосовые октавные и на доли октавы) IEC 61672-1:2002 Electroacoustics — Sound level meters — Part 1: Specifications (Электроакустика. Шумомеры. Часть 1. Технические требования) 3 Термины и определения В настоящем стандарте применены следующие термины с соответствующими определениями. 3.1 звуковое давление (sound pressure) р: Разность между мгновенным и статическим давлениями воздушной среды. Примечание 1 — Определение термина модифицировано по отношению к статье 8-9.2 в [22]. Примечание 2 — р выражают в паскалях (Па). 3.2 уровень звукового давления (sound pressure level) Lp: Десятикратный десятичный логарифм отношения квадрата звукового давления р к квадрату опорного звукового давления р0 (р0— 20 мкПа), выраженный в децибелах (дБ), £„ = 101g (1) ([20], статья 2.2] Примечание 1 — В случае применения коррекций по частотным или временным характеристикам. а также в случае измерений в заданной полосе частот это отражают применением соответствующего подстрочного индекса. Например. LpA — уровень звука (т. е. уровень корректированного по частотной характеристике А звукового давления). Примечание 2 — Определение содержательно совпадает с статьей 8-22 в [22]. 3.3 эквивалентный уровень звукового давления (time-averaged sound pressure level) LpT: Десятикратный десятичный логарифм отношения усредненного на заданном временном интервале 7 (с началом /, и окончанием /2) квадрата звукового давления р к квадрату опорного звукового давления р0 (р0 = 20 мкПа), выраженный в децибелах(дБ)по формуле 3 LpJ = 101g Po (2) Примечание 1 — Обычно подстрочный индекс Т опускают, поскольку из названия термина следует, что величину LpT определяют на заданном временном интервале. Примечание 2 — В большинстве применений интегрирование на временном интервале 7 сопровождается использованием коррекции по частотной характеристике А. Соответствующую величину обозначают LpAj или сокращенно lpA. Примечание 3 — Определение термина модифицировано по отношению к статье 2.3 в [20]. 3.4 уровень экспозиции однократного шумового процесса (single event time-integrated sound pressure level) LE: Десятикратный десятичный логарифм отно шения интегрированного на заданном временном интервале Т (с началом /| и окончанием /2) квадрата звукового давления р отдельного шумового события (звукового импульса или переходного процесса) к опорному значению дозы шума £0 [£0= (20 кПа)2 с = 4хЮ’10 Па2с], выраженный в децибелах (дБ) по формуле (3) [ISO 3741:2010, 3.4] Примечание 1 — Данная величина может быть выражена через эквивалентный уровень звукового давления по формуле LE = L т +10 Ig—. где 70= 1 с. То Примечание 2 — В случае описания звуковой иммиссии (см. [19]) данную величину обычно называют «уровень звукового воздействия» (см. [20]). 3.5 продолжительность измерений (measurement time interval) Т: Интервал времени, включающий в себя часть операционного цикла (или несколько операционных циклов) источника шума, в течение которого выполняют измерения эквивалентного уровня звукового давления. 4 ГОСТ ISO 3745-2014 Примечание — Т выражают в секундах (с). (ISO 3741:2010, 3.5] 3.6 свободное (звуковое) поле (acoustic free field): Звуковое поле в однородной изотропной безграничной среде. Примечание — На практике свободным полем можно считать звуковое поле, в котором влияние отражения от границ или других объектов в диапазоне частот измерений пренебрежимо мало. (ISO/TR 25417:2007,2.17] 3.7 (полностью) заглушенная камера (anechoic room, anechoic test room, free-field test room): Испытательное помещение, в котором созданы условия свободного звукового поля. 3.8 свободное (звуковое) поле над звукоотражающей плоскостью (acoustic free field over a reflecting plane): Свободное звуковое поле в полупространстве над бесконечной звукоотражающей плоскостью при отсутствии других объектов, влияющих на распространение звуковых волн. 3.9 звукоотражающая плоскость (reflecting plane): Отражающая звук плоская поверхность, на которую устанавливают испытуемый источник шума. 3.10 полузаглушенная камера (hemi-anechoic room, hemi-anechoic test room, hemi-free-field test room): Испытательное помещение, в котором созданы условия свободного звукового поля над звукоотражающей плоскостью. 3.11 диапазон частот измерений (frequency range of interest): В общем случае, диапазон частот, включающий в себя третьоктавные полосы со среднегеометрическими частотами (номинальными) от 100 до 10000 Гц. Примечание — В отдельных случаях диапазон частот измерений может быть расширен или сокращен, если при этом условия испытаний и применяемые средства измерений удовлетворяют требованиям настоящего стандарта. Любое расширение или сокращение диапазона частот измерений отражают в протоколе испытаний. Если в определяемый корректированный по А уровень звуковой мощности основной вклад вносят низкочастотные или высокочастотные составляющие, то диапазон частот измерений должен быть расширен, чтобы включить в себя эти составляющие. 3.12 измерительный радиус (measurement radius) г : Радиус измерительной поверхности, имеющей вид сферы или полусферы. Примечание — Выражают в метрах (м). 5 3.13 измерительная поверхность (measurement surface): Воображаемая поверхность площадью S, на которой располагают точки измерений (установки микрофонов) уровней звукового давления и которая охватывает испытуемый источник шума, а в случае испытаний в полузаглушенной камере имеет замкнутую линию пересечения со звукоотражающей плоскостью. Примечание — Площадь измерительной поверхности выражают в квадратных метрах (м2). 3.14 характеристический размер (источника) (characteristic source dimension) d0: Расстояние от начала системы координат до самой дальней вершины огибающего параллелепипеда, представляющего собой воображаемую поверхность в форме прямоугольного параллелепипеда минимального размера, охватывающего испытуемый источник шума, включая все его основные звукоизлучающие элементы и испытательный стол (при его наличии), на который источник установлен, а в случае полузаглушенной камеры имеющего замкнутую линию пересечения со звукоотражающей плоскостью. Примечание 1 — выражают в метрах (м). Примечание 2 — Примеры определения характеристических размеров источника показаны на рисунке 1. 3.15 фоновый шум (background noise): Шум от всех источников, кроме испытуемого. Примечание — Фоновый шум может включать в себя воздушный шум, шум излучения вибрирующих поверхностей, электрический шум средств измерений. 3.16 коррекция на фоновый шум (background noise correction) К{: Поправка к измеренному уровню звукового давления в точке измерительной поверхности камере, вносимая для учета влияния фонового шума Примечание 1 — К1 выражают в децибелах (дБ). Примечание 2 — Коррекция на фоновый шум зависит от частоты. При измерениях в полосе частот коррекцию на фоновый шум обозначают К\/ , где / — среднегеометрическая частота полосы, а при измерениях в широкой полосе частот с коррекцией по частотной характеристике А — Кхл. 3.17 эквивалентный уровень звукового давления на поверхности (surface time-averaged sound pressure level) Lp: Усредненный (методом энергетического суммирования) по точкам измерений или траекториям сканирования на изме-6
