Государственная система обеспечения единства измерений. Обозначения единиц физических величин для печатающих устройств с ограниченным набором знаков
Заменяет

Страница 1

Страница 2

Страница 3

Страница 4

Страница 5

Страница 6

Страница 7

Страница 8

Страница 9

Страница 10

Страница 11
ГОСУДАРСТВЕННЫЙ СТАНДАРТ СОЮЗА ССР
ГОСУДАРСТВЕННАЯ СИСТЕМА ОБЕСПЕЧЕНИЯ ЕДИНСТВА ИЗМЕРЕНИИ
ОБОЗНАЧЕНИЯ ЕДИНИЦ ФИЗИЧЕСКИХ ВЕЛИЧИН ДЛЯ ПЕЧАТАЮЩИХ УСТРОЙСТВ С ОГРАНИЧЕННЫМ НАБОРОМ ЗНАКОВ
ГОСТ 8.430-88 (СТ СЭВ 1973-87)
БЗ 3- 88/231
Издание официальное
ГОСУДАРСТВЕННЫЙ КОМИТЕТ СССР ПО СТАНДАРТАМ Москва
УДК 003.62 : в»1.2.87.4 : ООв.354 Группа Т80
г о С У ДАРСТВЕННЫЙ стандарт СОЮЗА ССР
Государственная система обеспечения единств измерений
ОБОЗНАЧЕНИЯ ЕДИНИЦ ФИЗИЧЕСКИХ ВЕЛИЧИН ДЛЯ ПЕЧАТАЮЩИХ УСТРОЙСТВ С ОГРАНИЧЕННЫМ НАБОРОМ ЗНАКОВ
ГОСТ 8.430-88 (CT СЭВ 1973-87)
Stale system for ensuring the uniformity of measurements. Symbols for units of physical quantities to be used In printing’ devices with a limited set of signs
ОКСТУ 0008
Дата введения 01.01.89
Настоящий стандарт устанавливает обозначения единиц фи-знчесюих величин (далее — единиц), установленных ГОСТ 8.417-81, и правила их применения для печатающих устройств с ограниченным набором знаков электронных вычислительных машин, систем обработки информации и автоматизированного проектирования *.
1. В зависимости от того, какую группу латинского или русского алфавита содержит печатающее устройство, обозначения единиц представляют:
1) прописными н строчными буквами;
2) только прописными буквами;
3) только строчными буквами.
2. В каждом из трех видов обозначений, кроме букв, должны быть применены цифры и следующие специальные знаки, необходимые для обозначений производных единиц: точка на строке (.), косая черта (/); дефис. (-). В случае, когда в наборе имеются прописные и строчные буквы, также применяют графические обозначения апострофа (’) и кавычки (”).
3. Одновременное применение различных видов обозначений, указанных в п. 1, не допускается.
4. В случаях, когда обработка информации выполнена с применением обозначений единиц согласно настоящему стандарту и
• Обозначении единиц используются только а системах с ограниченным набором графических обозначений и не заменяют обозначений, установленных ГОСТ 8 417-81, в других областях.
Издание официальное Перепечатка воспрещена
★
© Издл1.й1Ь1.1вщ-тааднстя;-1988
2—2119
С. 2 ГОСТ 8.430-88
|
ОСсоа«чсяие здепищл_ бухинх яитмкохого длфютл | бупмми WCcWO Мф|ИГ1 |
|
Продолжение таб.*. I |
||||||||||||||||||||||||||||||||||||||||||||||||||||||||||||||||||||||||||||||||||||||||||||||||||||||||||||||||||||||||||||||||||||||||||||||||||||||||||||||||||||||||||||||||
|
ГОСТ 8.430-88 С 3 |
|||||||||||||||||||||||||||||||||||||||||||||||||||||||||||||||||||||||||||||||||||||||||||||||||||||||||||||||||||||||||||||||||||||||||||||||||||||||||||||||||||||||||||||||
|
Продолжение г об л, / |
||||||||||||||||||||||||||||||||||||||||||||||||||||||||||||||||||||||||||||||||||||||||||||||||||||||||||||||||||||||||||||||||||||||||||||||||||||||||||||||||||||||||||||||||
|
С. 4 ГОСТ 8.430-88 |
|||||||||||||||||||||||||||||||||||||||||||||||||||||||||||||||||||||||||||||||||||||||||||||||||||||||||||||||||||||||||||||||||||||||||||||||||||||||||||||||||||||||||||||||
*1
<и
>!
|
ГОСТ 8430-58 С. 5 |
I
а
сг
|
Продолжение табл. I |
|||||||||||||||||||||||||||||||||||||||||||||||||||||||||||||||||||||||||||||
|
С. 6 ГОСТ 8.430 |
||||||||||||||||||||||||||||||||||||||||||||||||||||||||||||||||||||||||||||
ГОСТ 8 430-88 С. 7
|
Обозначения приставок для образования десятичных кратных к дольных единиц физических величин |
|
|||||||||||||||||||||||||||||||||||||||||||||||
С. 8 ГОСТ 8.430-88
предназначена для опубликования типографским или иным способом, эти обозначения должны быть приведены в соответствие с ГОСТ 8.417-81 или должны быть записаны наименования единиц без сокращений.
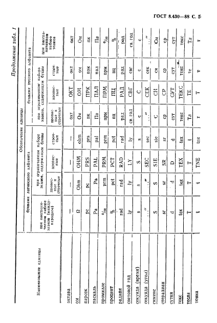
5. Обозначения основных и производных единиц СИ, а также некоторых единиц, не входящих в СИ, приведены в алфавитном порядке наименований единиц в табл. 1;
Приставки для образования десятичных кратных и дольных единиц, соответствующие нм множители и обозначения приведены в табл. 2.
6. Десятичные кратные и дольные единицы образуют сочетанием обозначений приставок, приведенных в табл. 2, «с обозначениями единиц согласно табл. 1. Обозначения приставки и единицы пишутся слитно.
Пример: мкф: uf (микрофарад).
Примечания:
1. Применение двух н более приставок при одной единице не допускается
2. Десятичные кратные к дольные единицы массы следует образовывать по ох основной единицы — килограмма, о от грамма.
7. Обозначения производных единиц, по имеющих специальных наименований, следует образовывать с применением обозначений основных, дополнительных и производных единиц и знаков умножения, деления и возведения в степень. В качестве знака умножения следует применя-п. точку на строке (.). деления косую черту (/) и возведения в степень —цифру, соответствующую показателю степени, помещаемую непосредственно после обозначены; единиц в строку с ним. При возведении в отрицательную степень перед цифрой следует ставить дефис (-).
Примеры:
ом.м; olim.m (ом-метр);
лк.с; lx.s (люкс-секунда);
м/с; m/s (метр в секунду);
кг/моль; kg/mol (килограмм на моль);
мг; ip* (квадратный метр);
кг/м3; kg/m3 (килограмм на кубический метр);
к *; m * (метр в минус первой степени).
8. Обозначения единиц следует помешать только после числовых значений величин в строку с ними (без переноса на следующую строку). Между последней цифрой и обозначением единицы следует оставлять пробел.
9. Обозначения производных единиц, не имеющих специальных наименований, получают:
из числа обозначений, установленных стандартами для соответствующих величин;
ГОСТ 8.430-88 С. 9
с помощью минимального числа основных и производных единиц со специальными наименованиями. Единицы должны иметь наиболее низкие.показатели степени.
Пример.
Правильно: Неправильно:
см.м; ohm.m в.м.а.— 1; v.m.a— 1
м3.кг.с — З.а — 2; ms.kg.s — З.а — 2
С. 10 ГОСТ 8.430-88
ИНФОРМАЦИОННЫЕ ДАННЫЕ
1. РАЗРАБОТАН И ВНЕСЕН Государственным комитетом СССР по стандартам
ИСПОЛНИТЕЛИ
П. Н. Селиванов, канд. техн. наук (руководитель темы);
Н. А. Ерюхина
2. УТВЕРЖДЕН И ВВЕДЕН В ДЕЙСТВИЕ Постановлением Государственного комитета СССР по стандартам от 20.05.88 .V* 1413
3. Стандарт полностью соответствует СТ СЭВ 1973—87
4. ВЗАМЕН ГОСТ 8.430-81
5. ССЫЛОЧНЫЕ НОРМАТИВНО-ТЕХНИЧЕСКИЕ ДОКУМЕНТЫ
|
Обожач’кве НТД. па xutosuA хх’.а осы/юн |
ПОЧ.’Р ‘» Г)Д-Л.кГ>. В0РСЧМС.М1-М ‘О 1Я |
ГОСТ 8 417— 81
1:4
Редактор 8. С■ бобкипя Технический редактор //. И. Дубина Корректор В. М. Схирноаа
Слано a Hill IC.Oi.W ПОМ. » исч, 26.07,84 0.75 yc-i о я. 0.73 узд. к? -crt 0Л* уч и«л. •». Гигмж НО» lit ха 3 коч.
Огде- .. »Ли1К Почета» Игддтмьтз стагаюго». I JIM). Москя . Г .С. ‘••ч-т—*’.-.-: л. п !Нч>. i 1яп «Мосиомкяй шапisti*. Маске], Лилии п.р. э -it.’ 1
