Пиломатериалы хвойных пород северной сортировки, поставляемые для экспорта. Технические условия
На нашем сайте можно бесплатно скачать Руководящий документ ГОСТ 26002-83 в удобном формате. Узнать актуальный статус документа «Пиломатериалы хвойных пород северной сортировки, поставляемые для экспорта. Технические условия» на 2016 год.
Скрыть дополнительную информацию
Страница 1

Страница 2

Страница 3

Страница 4

Страница 5

Страница 6

Страница 7

Страница 8

Страница 9

Страница 10

Страница 11

Страница 12

Страница 13

Страница 14

Страница 15

Страница 16

Страница 17

Страница 18
МЕЖГОСУДАРСТВЕННЫЙ СТАНДАРТ
|
ПИЛОМАТЕРИАЛЫ ХВОЙНЫХ ПОРОД Технические условия Coniferous sawn timber of northern grading supplied for export. |
ГОСТ |
Постановлением Государственного комитета СССР по стандартам от 14.12.83 № 5894 дата введения установлена
01.01.85
Ограничение срока действия снято по протоколу № 4-93 Межгосударственного Совета по стандартизации, метрологии и сертификации (ИУС 4-94)
Настоящий стандарт распространяется на обрезные пиломатериалы хвойных пород, поставляемые для экспорта через беломорские, дальневосточные, Ленинградский и Игарский порты.
1. РАЗМЕРЫ
1.1. Пиломатериалы разделяют
по толщине: на тонкие — от 16 до 22 мм,
» средние — от 25 до 44 мм,
» толстые — от 50 до 100 мм;
по ширине: на узкие — от 75 до 125 мм,
» широкие — 150 мм и выше;
по длине: на короткие — от 0,45 до 2,40 м,
» длинные — от 2,70 до 6,30 м.
1.2. Номинальные размеры пиломатериалов по толщине и ширине устанавливаются по ГОСТ 24454-80, при этом толщина пиломатериалов не должна превышать 100 мм.
1.3. Размеры пиломатериалов по длине устанавливают:
от 1,5 м и более с градацией 0,3 м,
от 0,45 до 1,35 м с градацией 0,15 м.
Пиломатериалы длиной от 0,45 до 1,35 м изготовляют по заказу-наряду внешнеторгового объединения.
1.4. Номинальные размеры пиломатериалов установлены для древесины с влажностью 20 %. При влажности древесины более или менее 20 % фактические размеры толщины и ширины пиломатериалов должны быть больше или меньше номинальных размеров на соответствующую величину усушки по ГОСТ 6782.1-75.
1.5. Предельные отклонения от номинальных размеров пиломатериалов не должны превышать, мм:
|
по длине |
+25 |
-12 |
|
по ширине |
+3 |
-2 |
|
по толщине: |
||
|
при толщине менее 50 мм |
+2 |
-1 |
|
при толщине от 50 мм и выше |
+3 |
-2 |
Количество пиломатериалов с максимальными допускаемыми отклонениями не должно составлять более 25 % от общего количества пиломатериалов.
2. ТЕХНИЧЕСКИЕ ТРЕБОВАНИЯ
2.1. Пиломатериалы должны изготовляться в соответствии с требованиями настоящего стандарта по технологии, утвержденной в установленном порядке, из древесины сосны, ели, пихты, лиственницы и кедра.
2.2. Пиломатериалы по качеству древесины и ее обработке подразделяют на 1, 2, 3, 4 и 5-й сорта.
2.3. Пиломатериалы рассортировывают:
по сечениям;
по породам;
по сортам — на бессортные (включающие 1, 2, 3-й сорта, процентное соотношение которых должно соответствовать естественному выходу пиломатериалов из распиловки), отдельно 4-й сорт, отдельно 5-й сорт. Допускается сортировка коротких пиломатериалов на бессортные и 4-й сорт вместе, 5-й сорт — отдельно.
В партии еловых пиломатериалов допускается до 15 % пихтовых.
2.4. Влажность древесины пиломатериалов не должна превышать 22 %. Допускается изменение величины влажности по заказам-нарядам внешнеторгового объединения.
2.5. Антисептирование пиломатериалов — по ГОСТ 10950-78.
2.6. Качество древесины пиломатериалов и ее обработки должно соответствовать нормам, указанным в табл. 1-3.
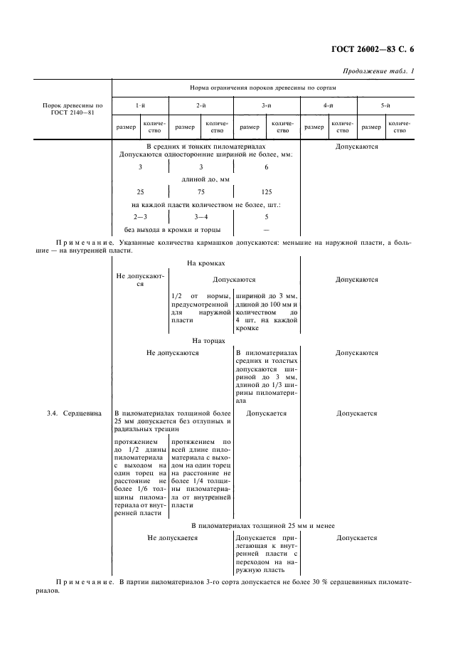
Таблица 1
Сосновые, кедровые и лиственничные пиломатериалы
|
Порок древесины по ГОСТ 2140-81 |
Норма ограничения пороков древесины по сортам |
|||||||||
|
1-й |
2-й |
3-й |
4-й |
5-й |
||||||
|
размер |
количество |
размер |
количество |
размер |
количество |
размер |
количество |
размер |
количество |
|
|
1. Сучки |
||||||||||
|
1.1. Сросшиеся здоровые |
||||||||||
|
1.1.1. Круглые и овальные |
||||||||||
|
1.1.1.1. Пластевые |
Допускаются на наружной пласти размерами в миллиметрах и количеством в штуках в среднем на 1,0 длины пиломатериала: |
|||||||||
|
В толстых широких пиломатериалах |
||||||||||
|
13-17 |
1 |
18-27 |
1 |
28-38 |
2 |
Допускаются |
||||
|
Св. 38 до 50 |
1 |
|||||||||
|
В толстых узких пиломатериалах |
||||||||||
|
10-14 |
1 |
15-24 |
1 |
25 |
1 |
Допускаются |
||||
|
Св. 25 до 38 |
2 |
|||||||||
|
В средних широких пиломатериалах |
||||||||||
|
10-14 |
1 |
15-18 |
1 |
19-25 |
3 |
Допускаются |
||||
|
Св. 25 до 38 |
1 |
|||||||||
|
В средних узких пиломатериалах |
||||||||||
|
10-14 |
1 |
15-18 |
1 |
19-25 |
3 |
Допускаются |
||||
|
Св. 25 до 32 |
1 |
|||||||||
|
В тонких пиломатериалах |
||||||||||
|
10-14 |
1 |
15-18 |
1 |
19-22 |
2 |
Допускаются |
||||
|
Св. 22 до 32 |
||||||||||
|
В пиломатериалах шириной 75 мм всех толщин размер сучков не должен превышать: |
||||||||||
|
1/4 |
1/3 |
1/2 |
2/3 |
Допускаются |
||||||
|
ширины пласти |
||||||||||
|
Количество сучков на внутренней пласти пиломатериала 1-го и 2-го сортов допускается вдвое больше, а в пиломатериалах 3-го сорта в полтора раза больше норм, предусмотренных для наружной пласти. |
||||||||||
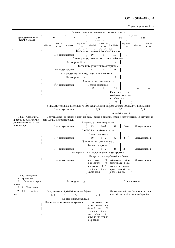
|
1.1.1.2. Кромочные и ребровые |
На каждой кромке допускаются размерами в миллиметрах и количеством в штуках на всю длину пиломатериала: |
|||||||||
|
В толстых пиломатериалах |
||||||||||
|
До 6 |
3-4 |
7-12 |
3-5 |
13-16 |
5-8 |
Допускаются |
||||
|
13-19 |
3-5 |
Св. 16 до 26 |
3-5 |
|||||||
|
Св. 25 до 32 |
3 |
|||||||||
|
В средних пиломатериалах |
||||||||||
|
До 6 |
2-3 |
7-12 |
2-4 |
13-16 |
2-4 |
Допускаются |
||||
|
13-19 |
2-3 |
Св. 16 до 3/4 толщины пиломатериала |
2-4 |
|||||||
|
В тонких пиломатериалах |
||||||||||
|
До 6 |
1-2 |
7-10 |
1-2 |
До 2/3 толщины пиломатериала |
2 |
Допускаются |
||||
|
1.1.1.3. Торцовые |
На каждом торце допускаются размером в миллиметрах и количеством в штуках: |
|||||||||
|
Не допускаются |
25 |
1 |
Допускаются |
|||||||
|
1.1.2. Продолговатые, разветвленные, в том числе выходящие на ребро, и сшивные |
Допускаются на внутренней пласти пиломатериала в общем числе сросшихся круглых и овальных сучков размерами и количеством, указанными в п.п. 1.1.1.1, 1.1.1.2. Размер сучков в миллиметрах по наибольшему диаметру допускается не более: |
|||||||||
|
38 |
50 |
Допускаются |
||||||||
|
Выход сучков на кромки: |
||||||||||
|
Допускается глубиной залегания не более; |
||||||||||
|
Не допускается |
1/4 |
1/3 |
Допускается |
|||||||
|
толщины пиломатериала |
||||||||||
|
1.2. Несросшиеся здоровые, загнившие, гнилые и табачные |
Допускаются на наружной пласти в числе сросшихся здоровых сучков размерами в миллиметрах и количеством в штуках в среднем на 1,0 м длины пиломатериала |
|||||||||
|
1.2.1. Пластевые |
В толстых широких пиломатериалах |
|||||||||
|
Не допускаются |
25 |
1 |
63 |
1 |
Допускаются |
|||||
|
Сквозные загнившие, гнилые и табачные |
||||||||||
|
Не допускаются |
25 |
1 |
Допускаются |
|||||||
|
В толстых узких пиломатериалах |
||||||||||
|
Не допускаются |
19 |
1 |
50 |
1 |
Для всех толщин без ограничения |
|||||
|
Сквозные загнившие, гнилые и табачные |
Отверстия от |
|||||||||
|
Не допускаются |
25 |
1 |
выпавших сучков не должны превышать в узких пиломатериалах 32 мм, в широких — 38 мм |
|||||||
|
В средних широких пиломатериалах |
||||||||||
|
Не допускаются |
19 |
1 |
50 |
1 |
||||||
|
Сквозные загнившие, гнилые и табачные |
||||||||||
|
Не допускаются |
19 |
1 |
||||||||
|
В средних узких пиломатериалах |
||||||||||
|
Не допускаются |
13 |
1 |
38 |
1 |
— |
— |
||||
|
Сквозные загнившие, гнилые и табачные |
||||||||||
|
Не допускаются |
19 |
1 |
||||||||
|
В тонких пиломатериалах |
||||||||||
|
Не допускаются |
Только здоровые |
— |
| |||||||
