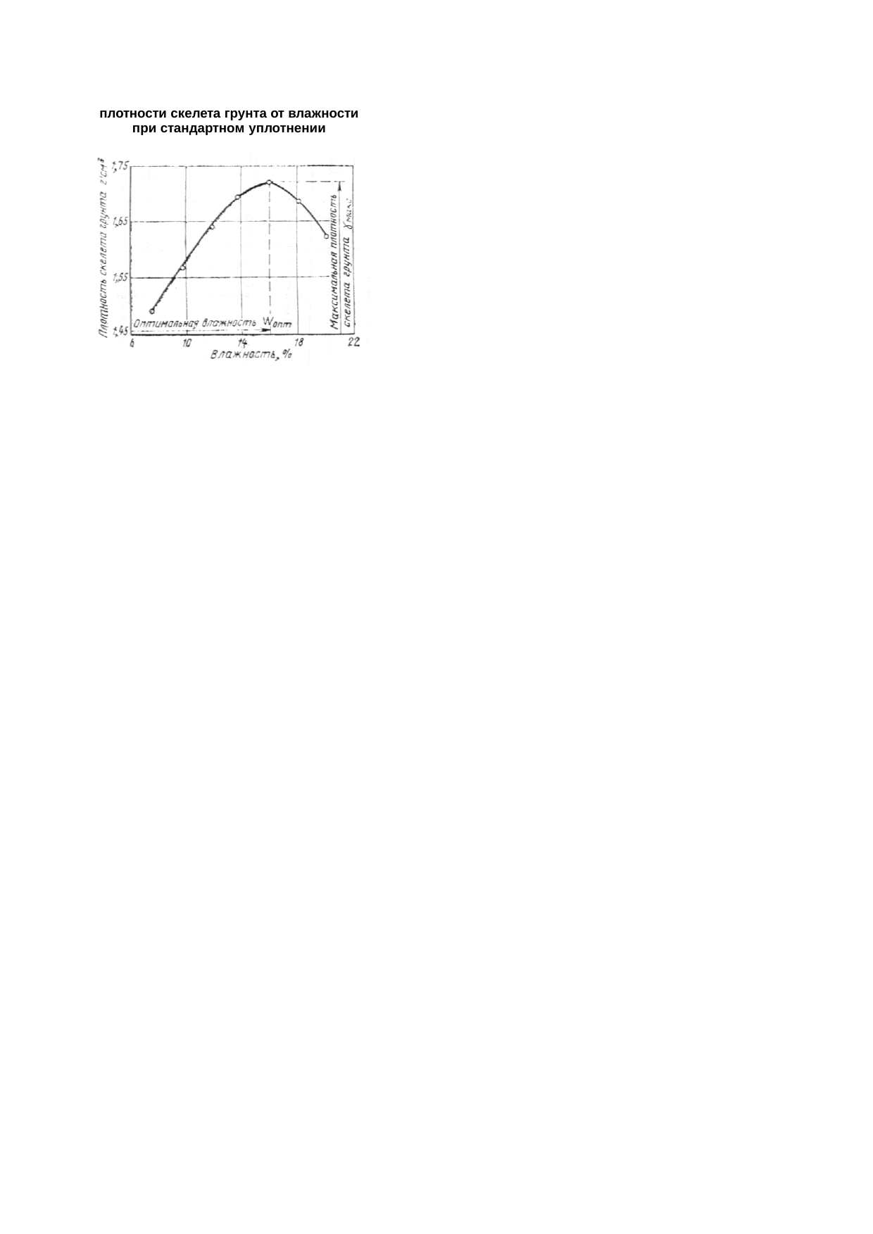
Грунты. Методы лабораторного определения максимальной плотности
На нашем сайте можно бесплатно скачать ГОСТ 22733-77 в удобном формате. Узнать актуальный статус ГОСТА «Грунты. Методы лабораторного определения максимальной плотности» на 2016 год.
Скрыть дополнительную информацию

Страница 1

Страница 2

Страница 3

Страница 4

Страница 5

Страница 6

Страница 7
