Промышленные печи и кирпичные трубы
Заменяет СНиП III-Г.12-62: Правила производства и приемки работ
На нашем сайте можно бесплатно скачать СНиП III-24-75 в удобном формате. Узнать актуальный статус СНиПа «Промышленные печи и кирпичные трубы» на 2016 год.
Скрыть дополнительную информацию
Страница 1

Страница 2

Страница 3

Страница 4

Страница 5

Страница 6

Страница 7

Страница 8

Страница 9

Страница 10

Страница 11

Страница 12

Страница 13

Страница 14

Страница 15

Страница 16

Страница 17

Страница 18
ГОСУДАРСТВЕННЫЙ КОМИТЕТ СОВЕТА МИНИСТРОВ СССР
ПО ДЕЛАМ СТРОИТЕЛЬСТВА
ГОССТРОЙ СССР
СНиП III-24-75
СТРОИТЕЛЬНЫЕ НОРМЫ И ПРАВИЛА
ЧАСТЬ III
ПРАВИЛА ПРОИЗВОДСТВА И ПРИЕМКИ РАБОТ
ГЛАВА 24
ПРОМЫШЛЕННЫЕ ПЕЧИ И КИРПИЧНЫЕ ТРУБЫ
Утверждены
постановлением
Государственного комитета Совета Министров СССР
по делам строительства от 7 мая 1975 г. № 72
Москва СТРОЙИЗДАТ 1976
Глава СНиП III-24-74 «Промышленные печи и кирпичные трубы» разработана институтом ВНИПИ Теплопроект Минмонтажспецстроя СССР с участием Гипростекло и Гипроцемент Минпромстройматериалов СССР и Гипроцветмета Минцветмета СССР.
С введением в действие этой главы утрачивает силу глава СНиП III-Г.12-62 «Кладка промышленных печей и кирпичных дымовых труб. Правила производства и приемки работ».
Редакторы — инженеры В.Н. Смирнов (Госстрой СССР) и В.И. Бельский (ВНИПИ Теплопроект).
|
Государственный |
Строительные нормы |
СНиП III-24-75 |
|
Промышленные печи |
Взамен |
1. Общие указания
1.1. Правила настоящей главы должны соблюдаться при производстве и приемке работ по кладке, монтажу из блоков и футеровке промышленных печей, относящихся к ним боровов, газовоздухопроводов и рекуператоров, кирпичных дымовых и вентиляционных труб, а также по футеровке металлических и железобетонных труб.
При производстве работ по кладке и футеровке печей должны соблюдаться также требования утвержденных в установленном порядке инструкций по кладке и футеровке отдельных видов промышленных печей, а также требования, приведенные в технической документации заводов-изготовителей печей.
Настоящие правила не распространяются на выполнение работ по обмуровке паровых котлов и котлов-утилизаторов, а также по футеровке электрических печей.
1.2. Работы по кладке, монтажу из блоков и футеровке должны выполняться в соответствии с рабочими чертежами и проектом производства работ (ППР).
1.3. До начала производства работ по кладке печей и труб должны быть приняты по акту фундаменты под печь или трубу, каркасы и кожуха печи. Акты подписываются представителями организации, соорудившей или смонтировавшей принимаемые конструкции, технадзором заказчика и организацией, выполняющей огнеупорные работы. Возможность совмещения работ по монтажу каркасов и кожухов и работ по кладке печей решается при разработке ППР.
К актам приемки прилагаются: акты освидетельствования скрытых работ, документы геодезической проверки положения и основных размеров фундаментов и стальных конструкций, а также акты и протоколы испытаний плотности сварки кожухов, охладительных приборов, соединений трубопроводов и других конструкций.
|
Внесены |
Утверждены |
Срок |
1.4. Отклонения в размерах фундаментов не должны превышать величин, установленных в главе СНиП по сооружению бетонных и железобетонных конструкций.
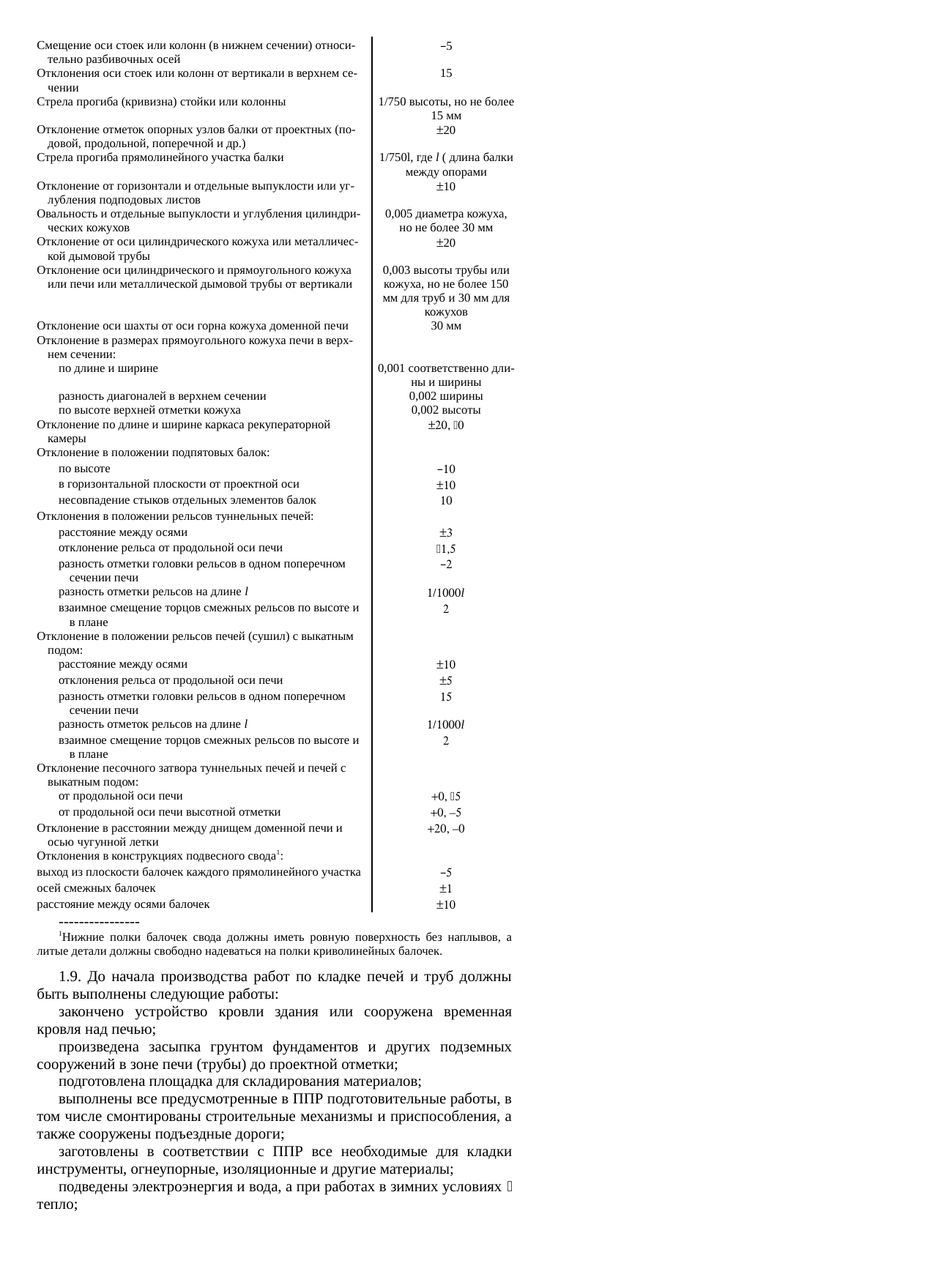
Отклонения в размерах металлических каркасов и кожухов печей и труб не должны превышать величин, указанных в табл. 1, а не приведенных в этой таблице размеров — величин, указанных в главе СНиП по изготовлению и монтажу металлических конструкций.
1.5. Фундаменты и вентиляционные каналы перед сдачей под кладку должны быть очищены от мусора; опалубка, деревянные пробки, выступающая со стороны кладки арматура и монтажные приспособления (уголки, скобы, штыри и т. п.) должны быть удалены, если они не предназначены для дальнейшего использования.
1.6. В металлических каркасах и кожухах должны быть оставлены предусмотренные проектом производства работ проемы для подачи во время кладки внутрь печи (трубы) пакетов материалов и блоков из жаростойкого бетона.
1.7. На фундаментах и металлических конструкциях, сдаваемых под кладку, должны быть нанесены разбивочные оси и высотные отметки.
1.8. До начала поступления на строительство огнеупорных материалов должны быть сооружены склады, оборудованные механизмами для приема и погрузки материалов, поступающих на поддонах и в контейнерах.
Таблица 1
|
Отклонения в размерах металлических каркасов и кожухов печей и труб |
Величина отклонения, мм, не более |
|
Смещение оси стоек или колонн (в нижнем сечении) относительно разбивочных осей |
±5 |
|
Отклонения оси стоек или колонн от вертикали в верхнем сечении |
15 |
|
Стрела прогиба (кривизна) стойки или колонны |
1/750 высоты, но не более 15 мм |
|
Отклонение отметок опорных узлов балки от проектных (подовой, продольной, поперечной и др.) |
±20 |
|
Стрела прогиба прямолинейного участка балки |
1/750l, где l (длина балки между опорами |
|
Отклонение от горизонтали и отдельные выпуклости или углубления подподовых листов |
±10 |
|
Овальность и отдельные выпуклости и углубления цилиндрических кожухов |
0,005 диаметра кожуха, но не более 30 мм |
|
Отклонение от оси цилиндрического кожуха или металлической дымовой трубы |
±20 |
|
Отклонение оси цилиндрического и прямоугольного кожуха или печи или металлической дымовой трубы от вертикали |
0,003 высоты трубы или кожуха, но не более 150 мм для труб и 30 мм для кожухов |
|
Отклонение оси шахты от оси горна кожуха доменной печи |
30 мм |
|
Отклонение в размерах прямоугольного кожуха печи в верхнем сечении: |
|
|
по длине и ширине |
0,001 соответственно длины и ширины |
|
разность диагоналей в верхнем сечении |
0,002 ширины |
|
по высоте верхней отметки кожуха |
0,002 высоты |
|
Отклонение по длине и ширине каркаса рекуператорной камеры |
± 20, -0 |
|
Отклонение в положении подпятовых балок: |
|
|
по высоте |
±10 |
|
в горизонтальной плоскости от проектной оси |
±10 |
|
несовпадение стыков отдельных элементов балок |
10 |
|
Отклонения в положении рельсов туннельных печей: |
|
|
расстояние между осями |
±3 |
|
отклонение рельса от продольной оси печи |
-1,5 |
|
разность отметки головки рельсов в одном поперечном сечении печи |
±2 |
|
разность отметки рельсов на длине l |
1/1000l |
|
взаимное смещение торцов смежных рельсов по высоте и в плане |
2 |
|
Отклонение в положении рельсов печей (сушил) с выкатным подом: |
|
|
расстояние между осями |
±10 |
|
отклонения рельса от продольной оси печи |
±5 |
|
разность отметки головки рельсов в одном поперечном сечении печи |
15 |
|
разность отметок рельсов на длине l |
1/1000l |
|
взаимное смещение торцов смежных рельсов по высоте и в плане |
2 |
|
Отклонение песочного затвора туннельных печей и печей с выкатным подом: |
|
|
от продольной оси печи |
+0, -5 |
|
от продольной оси печи высотной отметки |
+0, -5 |
|
Отклонение в расстоянии между днищем доменной печи и осью чугунной летки |
+20, -0 |
|
Отклонения в конструкциях подвесного свода1: |
|
|
выход из плоскости балочек каждого прямолинейного участка |
±5 |
|
осей смежных балочек |
±1 |
|
расстояние между осями балочек |
±10 |
____________
1 Нижние полки балочек свода должны иметь ровную поверхность без наплывов, а литые детали должны свободно надеваться на полки криволинейных балочек.
1.9. До начала производства работ по кладке печей и труб должны быть выполнены следующие работы:
закончено устройство кровли здания или сооружена временная кровля над печью;
произведена засыпка грунтом фундаментов и других подземных сооружений в зоне печи (трубы) до проектной отметки;
подготовлена площадка для складирования материалов;
выполнены все предусмотренные в ППР подготовительные работы, в том числе смонтированы строительные механизмы и приспособления, а также сооружены подъездные дороги;
заготовлены в соответствии с ППР все необходимые для кладки инструменты, огнеупорные, изоляционные и другие материалы;
подведены электроэнергия и вода, а при работах в зимних условиях — тепло;
заложен заземляющий контур для молниезащиты труб и выполнены работы по освещению зоны производства работ.
1.10. При производстве работ по кладке промышленных печей и возведению труб должны соблюдаться требования главы СНиП по технике безопасности в строительстве, а также правил по противопожарной безопасности.
Резка огнеупорных изделий должна производиться при помощи станков с пылеудалением.
При кладке печей и труб, как правило, должны применяться инвентарные леса и подмости, и при необходимости, осуществляться вентиляция замкнутых пространств с подогревом воздуха, а также применяться бесперегрузочная и механизированная доставка материалов и изделий преимущественно в пакетах непосредственно к рабочим местам огнеупорщиков.
1.11. При производстве огнеупорных работ на действующих предприятиях должны соблюдаться правила безопасности и технической эксплуатации, установленные для этих предприятий, а также учитываться специфические условия работы по транспортированию материалов и использованию эксплуатационного подъемно-транспортного оборудования.
1.12. До начала работ по реконструкции печей необходимо полностью отключить печь, воздухогазопроводы, воздухо- и газоподогреватели от действующих агрегатов и установить на них металлические заглушки. Все газопроводы должны быть продуты для удаления оставшегося в них газа.
Работы по реконструкции печей в действующих цехах разрешается начинать только после получения письменного разрешения дирекции предприятия на производство работ.
1.13. При реконструкции печей заменяемую кладку разрешается разбирать только после обеспечения устойчивости остающихся конструкций и кладки. Штрабы остающейся кладки должны быть тщательно очищены от старого раствора и порошка. Кирпич в заменяемых участках следует укладывать вперевязку с оставшейся кладкой.
2. Материалы и изделия
2.1. Материалы и изделия, применяемые при кладке печей и труб, должны соответствовать спецификациям, указанным в проекте, государственным стандартам и техническим условиям, и иметь соответствующие сертификаты, технические паспорта или другие документы, удостоверяющие качество материалов и изделий.
2.2. При транспортировании и хранении материалов и изделий должны выполняться требования, предусмотренные стандартами и техническими условиями на эти материалы и изделия. При этом:
огнеупорные материалы во всех случаях при хранении должны быть защищены от увлажнения и размещаться по маркам, классам, сортам и назначению в соответствии с очередностью их укладки в сооружения;
мертели и порошки следует хранить раздельно по маркам в условиях, исключающих их загрязнение и перемешивание между собой.
2.3. Кирпич, бывший в употреблении, разрешается применять в кладке печей, если он правильной формы, очищен от раствора и шлака и не имеет трещин.
Кирпич, ошлакованный или пропитанный металлом, для кладки печей применять не разрешается.
Бой кирпича размерами от 1/2 до 3/4 кирпича разрешается укладывать только в неответственные элементы кладки (например, массивы, выстилки, стены боровов, наружные стены регенераторов) с обязательной перевязкой.
2.4. Поставка огнеупорных изделий для коксовых и других печей с большим количеством фасонных изделий должна производиться по зонам с учетом порядка очередности кладки.
2.5. Отклонения от проектных размеров жаростойких бетонных и железобетонных блоков, колонн и плит не должна превышать указанных в табл. 2.
Таблица 2
|
Элементы печи |
Отклонения, мм, не более |
|||||
|
по длине |
по ширине |
по высоте |
по диагонали |
по положению закладных деталей и отверстий |
||
|
Блоки фундаментов |
15 |
15 |
±10 |
— |
±5 |
|
|
Блоки стеновые |
±8 |
±5 |
±5 |
±10 |
±5 |
|
|
Блоки сводовые |
+8, -4 |
±5 |
±5 |
±10 |
±5 |
|
|
Колонны |
±7 |
±5 |
±5 |
— |
±5 |
|
|
Плиты подовые |
±8 |
±5 |
±5 |
±10 |
±5 |
|
В блоках, колоннах и плитах не допускаются: сквозные трещины, отбитость ребер и углов на рабочей стороне глубиной более 15 мм и на нерабочей — более 25 мм, углубления и выпуклости поверхности высотой — более 5 мм, искривление граней от оси — более 5 мм на 1 м и 10 мм — по всей длине грани, отклонения в расположении монтажных петель или отверстий под цанговые захваты более 40 мм.
2.6. Растворы для огнеупорной кладки, а также уплотнительные и защитные обмазки должны применяться в соответствии с проектом.
При отсутствии указаний в проекте о составе растворов должен применяться раствор, соответствующий по своему химическому составу укладываемому кирпичу (блокам).
Составы растворов, применяемых для кладки промышленных печей, приведены в приложении. Составы строительных, а также жаростойких растворов следует применять в соответствии с инструкцией по приготовлению и применению строительных растворов.
Приготовление растворов должно производиться, как правило, централизованно на механизированных или автоматизированных растворных узлах производительностью, обеспечивающей потребность в растворах заданного объема работ. Доставка раствора на объекты должна осуществляться растворовозами, контейнерами или в специально приспособленных для этой цели автосамосвалах. Для небольших объектов огнеупорные растворы следует готовить в инвентарных передвижных растворосмесительных установках.
2.7. В зависимости от категории кладки печей (см. п. 3.1 настоящих правил) должны применяться растворы консистенции, указанной в табл. 3.
Таблица 3
|
Категория кладки печей |
Консистенция растворов |
Пределы осадки конуса, см |
|
I и II |
Жидкий |
7-9 |
|
III |
Полугустой |
5-6 |
|
IV |
Густой |
3-4 |
Консистенция растворов определяется глубиной погружения в раствор малого конуса (СтройЦНИЛа) весом 100 г.
2.8. Для кладки вне категории, I и II категорий следует применять огнеупорные мертели и порошки тонкого помола, а для III и IV категорий — крупного помола.
2.9. При одновременном приготовлении разных растворов каждый вид раствора следует готовить в отдельной растворомешалке и транспортировать в отдельных емкостях.
При переходе на приготовление другого раствора растворомешалки и ящики тщательно очищаются от старого раствора.
2.10. Применение воздушно-твердеющих растворов, схватывание которых уже началось, не разрешается. Раствор перед употреблением должен тщательно перемешиваться.
2.11. Составы жаростойких бетонов, торкрет-бетонов и набивных масс, установленные проектом, окончательно подбираются лабораторией строительной организации.
2.12. Кладка ствола кирпичных труб должна выполняться из глиняного кирпича для дымовых труб марки, указанной в проекте. Допускается кладку ствола выполнять из отборного целого обыкновенного глиняного кирпича пластического прессования марки, указанной в проекте, но не ниже марки 100.
Применение половняка при кладке ствола труб допускается в количестве не более 30 % только на участках кладки стен толщиной более 2 1/2 кирпича при условии равномерного чередования половинок с целым кирпичом и тщательной перевязки швов.
Применение половняка при кладке стен труб толщиной 2 1/2 кирпича и менее допускается во внутренних и наружных лицевых рядах только в целях обеспечения нормальной перевязки швов. Кирпичный бой размером менее 1/2 кирпича для кладки труб не допускается.
Трубы высотой 30-45 м рекомендуется выполнять сборными из жаростойких железобетонных царг.
3. Общие правила производства работ по кладке промышленных печей
3.1. Устанавливается следующая градация проектной толщины швов кладки промышленных печей в зависимости от технологических требований к кладке:
вне категории — до 0,5 мм
I категория — до 1 мм
II категория — до 2 мм
III категория — до 3 мм
IV категория — более 3 мм
Категория кладки и проектная толщина швов для конструктивных элементов отдельных видов промышленных печей устанавливаются в соответствующих инструкциях.
3.2. Места расположения, конструкции и методы выполнения температурных швов в кладке, а также способы кладки сводов и арок должны приниматься в соответствии с проектом.
Ширина температурных швов при отсутствии указаний в проекте принимается, исходя из средних величин температурного шва на 1 м кладки, приведенных в табл. 4, а швы располагаются через 2-10 м, в зависимости от конструкции кладки.
Таблица 4
|
Кладка |
Средняя величина температурного шва на 1 м кладки, мм |
|
Шамотная, полукислая, высокоглиноземистая |
5-6 |
|
Динасовая |
12 |
|
Магнезитовая, хромомагнезитовая, хромитовая для печей: |
|
|
нагревательных |
12-14 |
|
сталеплавильных |
20-25 |
|
Тальковая |
8-10 |
|
Корундовая |
8-9 |
3.3. Швы огнеупорной кладки должны быть заполнены раствором, а при кладке насухо — огнеупорным порошком. Во избежание высыпания порошка допускается подмазывать торцевые швы огнеупорным раствором.
3.4. Толщина швов огнеупорной кладки проверяется щупами, имеющими ширину 15 мм для проверки швов в кладке из мелких изделий и кирпича, и 35-40 мм — в кладке из крупных блоков. Толщина щупов принимается равной проектной толщина контролируемого шва. Швы считаются годными, если щуп, вводимый без особого усилия, не входит в шов или углубляется в шов не более чем на 20 мм.*
____________
* Требования пункта на кладку коксовых печей не распространяются.
Не допускается пользоваться щупом с изношенным или заостренным концом.
3.5. Контрольные замеры толщины швов огнеупорной кладки печей должны производиться не менее чем в 10 местах (для доменных печей — в 20 местах) на каждые 5 м2 поверхности кладки каждого элемента печи. При этом число мест с утолщенными швами до 50 % против проектной толщины шва допускается не более пяти в выстилке и стенах и не более четырех в остальных конструктивных элементах кладки. Наименьшая (против проектной) толщина швов не нормируется*.
____________
* Требования пункта на кладку коксовых печей не распространяются.
3.6. Кладка промышленных печей, выполняемая из материала одного типа, ведется, как правило, вперевязку, за исключением сводов, при выполнении их кольцами.
Слои кладки из различных материалов между собой не перевязываются, за исключением мест, указанных в проекте.
3.7. Отклонения кладки стен печи от вертикали не должны превышать ±5 мм на каждый метр высоты и ±20 мм на всю высоту стены, за исключением случаев, особо оговоренных в инструкциях и проектах.
3.8. Отклонение осей горелочных камней от проектного положения не должно превышать 5 мм. Отклонение угла наклона горелочного туннеля от проектного должно лежать в пределах ±2°, если в проекте не приведены особые требования.
3.9. Отклонение кладки опорных столбов от вертикали не должно превышать 5 мм на каждый метр их высоты и 15 мм на всю высоту столба.
3.10. Кладку печей, возводимых на кирпичных фундаментах, разрешается начинать немедленно по окончании кладки фундамента, а возводимых на бетонных и железобетонных фундаментах — не ранее приобретения бетоном фундамента 40 % проектной прочности.
3.11. Верхний ряд пода и выстилки печей, каналов и боровов надлежит выполнять, укладывая кирпич ложками поперек движения газов, металла или шлака, либо в елку.
3.12. Штрабы, устраиваемые при перерыве работ в кладке промышленных печей, должны выполняться с убегом (ступенчатыми). Вертикальные штрабы допускается оставлять только при устройстве временных проемов для подачи материалов.
3.13. Отверстия шириной менее 450 мм допускается перекрывать в кладке путем напуска кирпичей; напуск кирпичей не должен превышать 75 мм в каждом ряду кладки с каждой стороны.
3.14. Если верхние ряды кладки не совпадают с проектными размерами по высоте, то разрешается укладка в них лещадки или кирпичей на ребро, а также подтеска кирпича*.
__________
* Требования пункта на кладку коксовых печей не распространяются.
3.15. Пяты распорного свода должны быть расположены на проектной отметке и иметь ровную опорную поверхность в радиальном направлении.
Пяты сводов с пролетом более 1,5 м в печах с рабочей температурой выше 1200 °С должны быть заглублены в стены с отступом от внутренних их краев не менее чем за 30 мм.
Не допускаются неплотности между пятовыми кирпичами и пятовыми балками или каркасом печи. Заполнение промежутка между пятовыми кирпичами и пятовыми балками теплоизоляционным кирпичом не допускается.
Отклонение пят от продольной оси сводов не должно превышать ±5 мм, от проектной отметки на 1 м — ±5 мм и на всю длину свода — ±10 мм.
3.16. Кладка распорных сводов и арок должна производиться из клинового или клинового и прямого кирпича с обеспечением проектной толщины швов; количество кирпичей в ряду должно быть, как правило, нечетным.
Количество замковых кирпичей в сводах и арках должно быть при пролете до 3 м — один, а при пролетах более 3 м — три и более (нечетное количество) из расчета, чтобы расстояние между ними по дуге не превышало 1,5 м, за исключением распорно-подвесных сводов мартеновских печей, где вне зависимости от величины пролета забивается один замок.
Отклонение центрового замкового кирпича от оси симметрии свода или арки допускается равным не более 0,003 размера пролета свода или арки, но не более ±65 мм, а в поднасадочных арках — не более ±10 мм. Боковые замки должны быть расположены на равном расстоянии от оси свода или арки.
Отклонение размера радиуса опалубки свода или арки от проектного допускается не более ±15 мм.
В торцах сводов перевязка должна осуществляться полуторными кирпичами.
3.17. Кладка сводов печей с нежестким каркасом должна производиться после затяжки связей каркаса.
Разборка опалубки свода производится после забивки замковых кирпичей, разбутки пазух сводов, а также окончательной затяжки связей каркаса. В случае применения пружин последние должны быть затянуты из расчета, чтобы они не срабатывали при передаче на них строительного распора свода.
3.18. Теска замковых кирпичей, а также применение в качестве замкового кирпича клина по ребру запрещается. При необходимости кирпичи растесываются по обе стороны замкового ряда. Замковый кирпич должен входить в кладку при нажиме рукой не более чем на 2/3 толщины свода.
3.19. Забивка замковых кирпичей и их осаживание должны производиться пластмассовыми или деревянными молотками, либо стальными молотками через деревянную подкладку.
Замковые кирпичи, поврежденные при забивке, подлежат замене.
3.20. При кладке распорного свода кольцами они должны быть перпендикулярны продольной оси свода.
Замки в кольцах свода следует забивать после того, как будет уложено не менее четырех колец, расположенных впереди забиваемого кольца или если кольца будут раскреплены другим способом. Одновременная забивка замков в нескольких кольцах не разрешается.
Купольные своды следует выкладывать из фасонных огнеупорных изделий замкнутыми кольцами.
3.21. Отесанные поверхности кирпичей не следует обращать внутрь рабочего пространства или внутрь каналов печи.
Кирпич для выравнивания внешней поверхности арок допускается стесывать не более чем на половину его толщины.
3.22. Изоляционная кладка в стенах печей не должна доводиться до отверстий на толщину в 1/2 кирпича и в этих местах кладка должна выполняться из огнеупорных изделий.
3.23. При возведении монолитных конструкций и монолитных частей сборно-монолитных конструкций из жаростойких бетонов, а также при выполнении работ по торкретированию следует соблюдать требования главы СНиП по выполнению бетонных и железобетонных конструкций монолитных.
3.24. Уплотнительная обмазка кладки должна наноситься на поверхность после ее очистки.
Защитная обмазка должна наноситься на кладку после ее просушки, очистки и увлажнения водным раствором клеящей добавки, применяемой для приготовления обмазки. Нанесенная защитная обмазка должна быть просушена сразу после ее нанесения.
3.25. Обмазка должна изготовляться непосредственно перед употреблением. Температура поверхности кладки во время нанесения на нее обмазок не должна превышать 70 °С.
Защитную обмазку следует наносить на поверхность кладки слоями толщиной каждого 1-2 мм, а уплотнительную обмазку — толщиной до 10 мм.
3.26. Допускаемые отклонения в размерах на длине 2 м для конструктивных элементов кладки печей должны в натуре измеряться:
отклонения от горизонтали — металлической линейкой длиной 2 м и уровнем;
отклонение от вертикали — отвесом;
неровности поверхностей — металлической линейкой длиной 2 м.
При измерении допускаемых отклонений величиной более 3 мм разрешается применять деревянную линейку («правило»).
4. Кладка боровов
4.1. Диатомитовая кладка боровов должна выполняться с проектной толщиной швов до 8 мм, а кладка из глиняного кирпича — до 10 мм.
Диатомитовую кладку допускается вести на шамотном растворе.
4.2. В футеровке боровов из шамотного кирпича на растворе из шамотного мертеля должны соблюдаться следующая проектная толщина швов: стен — до 3 мм, свода — до 2 мм и выстилки — до 5 мм.
4.3. Кладка стен боровов, заключенных в бетонные или металлические короба, должна выполняться вплотную к коробам. Зазоры между коробами и кладкой, а также между разными видами кладки заполняются густым раствором.
При устройстве между кладкой стены борова и стены короба вентиляционных каналов последние не должны быть засорены раствором и строительным мусором, что подтверждается актом освидетельствования скрытых работ.
4.4. Кладку сводов боровов сложной конфигурации разрешается выполнять кольцами без перевязки.
4.5. Кладка сводов боровов, расположенных на земле или эстакадах, при наличии каркаса с гибкими связями должна производиться после затяжки последних.
Забивка замков сводов подземных боровов должна производиться только по окончании засыпки грунта у стен.
Засыпка котлованов вокруг боровов должна производиться смесью влажной глины с песком или влажной землей с песком слоями толщиной 200-250 мм с уплотнением каждого слоя трамбованием.
4.6. Отклонения от проектных размеров в кладке боровов* должны быть не более:
по высоте и ширине — ±15 мм;
по горизонтали — ±10 мм на длине 2 м.
____________
* Требование настоящего пункта на кладку боровов коксовых батарей не распространяется.
4.7. Установка дымовых шиберов (клапанов) и ходовых скоб в лазах должна выполняться в процессе кладки. Опорные поверхности под чаши газовоздушных и дымовых клапанов в кладке колодцев должны быть строго горизонтальными.
Места сопряжения закладных частей с кладкой должны быть выполнены без пустот густым раствором или другим материалом, предусмотренным проектом.
После заделки шиберов, клапанов и других движущихся устройств должна быть проверена правильность их установки и работы.
4.8. Ходовые скобы лазов должны закладываться в швы между кирпичами на глубину не менее чем 200 мм.
4.9. При футеровке боровов, выполненных из металлических или железобетонных труб, должны выполняться требования, изложенные в пп. 5.1 и 5.2 настоящей главы.
5. Футеровка газовоздухопроводов
5.1. Футеровка газовоздухопроводов должна выполняться вперевязку, за исключением мест перегиба и конусных частей, где ее следует выполнять кольцами или отдельными панелями с толщиной швов, соответствующей проектной.
Стык футеровки газовоздухопровода и цилиндрического патрубка выполняется со свободным примыканием (без перевязки), за исключением футеровки воздухопроводов горячего дутья доменной печи.
5.2. Асбестовые листы при наличии их между футеровкой и кожухом должны наклеиваться на кожух с помощью жидкого стекла или шамотного раствора по мере кладки футеровки.
5.3. Металлические газовоздухопроводы рекомендуется футеровать отдельными царгами или секциями до установки их в проектное положение, заделывая стыки на месте установки газовоздухопроводов. Количество стыков, их величина, размещение и метод заполнения мест стыкования определяются ППР.
Допускается футеровку газовоздухопроводов, диаметром менее 600 мм в свету (500´600 мм — при прямоугольном сечении) производить через отверстия, оставленные в кожухе через 1-1,5 м, которые завариваются по окончании футеровки.
6. Кладка рекуператоров
6.1. В рекуператорных камерах при кладке стен, выстилок и сводов из шамотного кирпича на шамотном растворе должна соблюдаться следующая проектная толщина швов: стен — до 3 мм, выстилки — до 5 мм и свода — до 2 мм.
6.2. Отклонения от проектных размеров кладки рекуператоров не должны превышать следующих величин:
ширина и длина камер рекуператоров:
металлических +15 мм
керамических +10 мм
отклонение от вертикали внутренних поверхностей стен 8 мм
разность в длине двух диагоналей камеры 25 мм
смещение осей камеры от проектного положения 20 мм
расстояние между осями подрекуператорных каналов,
а также между осями подсадочных кирпичей ±1 мм
отклонение от горизонтали поверхности стен и верхних
граней поднасадочных кирпичей по всему сечению камеры 2 мм
отклонение от горизонтали верхней поверхности выстилки 10 мм
отметка верха кладки насадки, в том числе фасонных
камней обрамления от проектной ±20 мм
отклонение оси отверстий для чистки насадки от оси
отверстий насадки ±5 мм
6.3. Верхний слой выстилки рекуператорной камеры должен выкладываться кирпичами на ребро ложками поперек каналов.
Кладку верхней части камеры и защитных стенок металлических рекуператоров следует выполнять после установки секций рекуператоров и испытания их на герметичность.
6.4. Кладку насадки следует выполнять с предварительной верстовкой рядов насухо и приемкой каждого ряда техническим надзором заказчика. При этом проверяется:
а) горизонтальность ряда — отклонение от горизонтали для насадки из изделий с четырьмя каналами по всей плоскости ряда должно быть не более 8 мм, а для насадки из трубчатых изделий по плоскости одного ряда по ширине камеры — не более 2 мм. Разность уровней рядом стоящих изделий в обоих случаях не должна превышать 1 мм;
б) соблюдение толщины швов — отклонение от проектной толщины швов — должно быть не более +0,5 мм;
в) правильность расположения воздушных каналов в насадке из изделий с четырьмя каналами — напуск стенок в месте соприкосновения двух соседних рядов фасонных камней насадки должен быть не более 3 мм;
г) правильность расположения изделий в трубчатой насадке — ось трубок должна быть строго вертикальной и совпадать с осью трубок, расположенных под ними;
д) соблюдение зазора между крайними фасонными изделиями и боковыми стенками — допускаемое отклонение от проектного размера — 1 мм;
е) отклонение воздушных каналов, обрамляемых фасонными камнями, от вертикали — допускается не более 5 мм по всей их высоте.
При невозможности подобрать ряд точно по ширине камеры следует в этом месте переложить боковую стену или подтеской ее добиться того, чтобы между крайними фасонными камнями и боковыми стенами был оставлен зазор, предусмотренный проектом. Подтеска фасонных камней, за исключением предусмотренной проектом, не допускается.
6.5. После приемки наверстанного насухо ряда насадки он укладывается на шамотно-бокситовом растворе с жи
