Естественное освещение. Нормы проектирования

Страница 1

Страница 2

Страница 3

Страница 4

Страница 5

Страница 6

Страница 7

Страница 8

Страница 9

Страница 10

Страница 11

Страница 12

Страница 13

Страница 14

Страница 15

Страница 16

Страница 17

Страница 18

Страница 19

Страница 20

Страница 21

Страница 22

Страница 23

Страница 24

Страница 25

Страница 26

Страница 27
I ОСУ ДАРСТВЕННЫЙ КОМИТЕТ СОВЕТА МИНИСТРОВ СССР ПО ДЕЛАМ СТРОИТЕЛЬСТВА (ГОССТРОЙ СССР)
СТРОИТЕЛЬНЫЕ НОРМЫ И ПРАВИЛА
Часть II, раздел А
Глава 8
ЕСТЕСТВЕННОЕ ОСВЕЩЕНИЕ
НОРМЫ ПРОЕКТИРОВАНИЯ
СНиП Н-А.8-72
Замены, СНиП //- Ч~ 7-9 Г or. Of. SO J *.
~d9. Of. 79 — ьСГ »’ 9/ c. /S’.
Mockm — 1973
Издание официальны
ГОСУДАРСТВЕННЫЙ КОМИТЕТ СОВЕТА МИНИСТРОВ СССР ПО ДЕЛАМ СТРОИТЕЛЬСТВА (ГОССТРОЙ СССР)
§иеи*» или, и
— ьегии, /т,.
*.2£>
СТРОИТЕЛЬНЫЕ НОРМЫ И ПРАВИЛА
Часть II, раздел А
&uece*to чфшмиме — БСГ v U, е./З е-и.
Kb«Tf>.
ыяра/тл-
6Va/*,I9Wc*s.
ЕСТЕСТВЕННОЕ ОСВЕЩЕНИЕ
Глава 8
НОРМЫ ПРОЕКТИРОВАНИЯ
СНиП II-A.8-72
У т в е рж д е ны
Государственныи комитетом Совета Министров СССР по делам строительства 19 июля 1972 г.
МОСКВА СТРОПИЗДАТ — 1973
УДК «94063 Tit . Ь2П 921
Глаол СНиП II -A.8 72 «Естественное освещение. Нормы проектирования» разработана НИИ строительной физики Госстроя СССР.
С введением в Действие настоящей главы СНиП утрачивают силу: глава СНиП II-A.8-62 «Естественное освещение. Нормы проектирования» и изменение Nt I к главе СНиП Н-А.8-62. введенное приказом Госстроя СССР от 31 декабря 1964 г. St 234
Ред а к торы — ннзч. Т. С. Ордынская (Госстрой СССР), д-р теки, наук Н. М Гусев и канд. теки, наук Н. Н. Киреев (НИИ строительной физики Госстроя СССР)
О Стройиздот. 1973
0324- М3
047(011-73
ииструкт -иориат . II к» —1/1 — 72
Государственный комитет Совета Министров СССР по делам строительства (Госстрой СССР)
|
Строительные нормы и правила |
СНиП И-Д.8-72 |
|
Естественное освещение. Нормы проектирования |
Взамен главы СНиП II-A.8-62 |
I. ОБЩИЕ ПОЛОЖЕНИЯ
1.1. Нормы настоящей главы распространяются на проектирование естественного освещения вновь строящихся и реконструируемых производственных и вспомогательных зданий промышленных и сельскохозяйственных предприятий, предприятий транспорта и связи, складов, а также жилых и общественных зданий.
Нормы не распространяются на проектирование естественного освещения зданий и сооружений, предназначенных для размещения растений, животных, птицы, сооружений для хранения сельскохозяйственной продукции, а также зданий и помещений с наличием материалов и изделий, для которых противопоказано фотохимическое воздействие естественного света.
Примечания: I. При проектировании естественного освещения следует также соблюдать требования соответствующих нормативных документов, утвержденных или согласованных Госстроем СССР.
2. Основные термины, принятые в настоящей главе, приведены в приложении I.
1.2. Естественное освещение следует предусматривать для помещений с постоянным пребыванием в них людей. Допускается предусматривать совмещенное освещение помещений в случаях, указанных в пп. 1.3 и 1.4.
1.3. Совмещенное освещение производственных зданий, помещений и их отдельных зон (участков) допускается предусматривать:
а) для производств, отдельных цехов и технологических процессов, где это требуется по условиям технологии и выбора рациональных объемно-планировочных решений, подтвержденного специальными техьичо-
экономическими обоснованиями в сравнении с вариантами зданий н помещений с естественным освещением, с учетом медико-санитарных требований;
б) для производств, не требующих пребывания работающих в таких зданиях и помещениях, более 50% времени в течение рабочего дня;
в) для производств, указанных в нормативных документах по строительному проектированию зданий и сооружений отдельных отраслей промышленности, утвержденных в установленном порядке.
1.4. Совмещенное освещение общественных зданий и вспомогательных зданий промышленных предприятий допускается предусматривать для помещений, где это требуется по условиям технологии и выбора рациональных объемно-планировочных решений (вестибюли, гардеробные уличной одежды, фойе, лифтовые холлы, торговые залы магазинов, обеденные залы столовых и ресторанов, буфеты, залы заседаний, концертные залы, залы железнодорожных вокзалов и авиавокзалов, автовокзалов, морских и речных портов).
1.5. Не допускается предусматривать совмещенное освещение жилых комнат и кухонь жилых домов и функциональных помещений учреждений для матерей и детей, общеобразовательных школ, учреждений по воспитанию дегей и лечебно-профилактических учреждений.
2. НОРМЫ ЕСТЕСТВЕННОГО ОСВЕЩЕНИЯ
2.1. Нормированное значение коэффициента естественной освещенности ея в % с учетом характера зрительной работы и светового
|
Внесены |
Утаержлены |
|
|
Научно-исследовательским институтом |
Государственным комитетом |
Срок введения |
|
строительной физики |
Совета Министров СССР |
1 января 1973 г. |
|
Госстроя СССР |
по делам строительства |
|
|
19 июля 1972 г. |
климата в районе расположения здания на территории СССР следует определять по формуле
еш — етС, (1)
где е — значение к.с.о. в % при рассеянном свете от небосвода, определяемое с учетом характера зрительной работы по табл. 1—3;
т — коэффициент светового климата (без учета прямого солнечного света), определяемый по табл. 4 в зависимости от района расположения здания на территории СССР (рис. 1);
С —коэффициент солнечности климата (с учетом прямого солнечного света), определяемый по табл. 5 в зависимости от района расположения здания на территории СССР (рис. 1).
П р кие ч а н не. С целью снижения теплопотерь допускается уменьшение площади световых проемов до 70% от площади, определенной по значению еш и при
ложению 2. в зданиях, расположенных в 1 и II поясах светового климата. В учреждениях для матерей и детей, в общеобразовательных школах и учреждениях по воспитанию детей допускается уменьшение площади световых проемов только до 90%.
2.2. Неравномерность естественного освещения в производственных помещениях с верхним освещением не должна превышать 2:1 для работ 1 и II разрядов (по табл. 1) и 3: 1 для работ III и IV разрядов.
Неравномерность естественного освещения не нормируется для:
производственных помещений с боковым и комбинированным освещением;
производственных помещений с верхним освещением, где выполняются работы V—IX разрядов (табл. 1);
помещений жилых и общественных зданий, вспомогательных зданий и помещений промышленных предприятий.
2.3. Солнцезащитные устройства следует предусматривать согласно приложению 3 в
Рис. I. Схематическая карта светового климата СССР для определенна х.е.о.
производственных помещениях с постоянным пребыванием работающих, где выполняются работы I—IV разрядов (по табл. 1), предприятий, располагаемых в III и IV строительно-климатических районах.
Таблица 1
Значения коэффициента е для производственных помещений
|
Характеристика зрительной работы |
Наименьший размер объекта различения, им |
I ! а т ц Н |
Эвзчояяс t В *; при естественном освещении |
|
|
■ t || 8 s!£ |
I : 1 |
|||
|
Выполняемая работа: |
||||
|
наивысшей точности |
Менее 0,15 |
I |
10 |
3.5 |
|
очень высокой точ- |
||||
|
пости …… |
От 0,15 до 0,3 |
п |
7 |
2.5 |
|
высокой точности . |
з 0.3 » 0.5 |
ш |
5 |
2 |
|
средней точности |
» 0,5 » 1 |
IV |
4 |
1.5 |
|
малой точности . . |
3 1 3 5 |
V |
3 |
1 |
|
грубая ….. |
Более 5 |
VI |
2 |
0.5 |
|
Работа с самосветя- |
||||
|
шимися материалами и |
||||
|
изделиями в горячих це- |
||||
|
хах…….. |
— |
VII |
3 |
1 |
|
Общее наблюдение за |
||||
|
ходом производственно- |
||||
|
го процесса: |
||||
|
постоянное наблюдс- |
||||
|
нне…… |
— |
I |
0.3 |
|
|
периодическое наб- |
VIII |
|||
|
людские за состоя- |
||||
|
нисм оборудования |
— |
0,7.0,2 |
||
|
Работа иа механизм- |
||||
|
рованных и нсмсханизи- |
L |
|||
|
ропашшх складах . . |
— |
IX |
0.5 |
lo.l |
Примечания: 1. Приведенные в табл ! значения е следует принимать для «условий рабочей поверхности».
2. В помещениях с работами различной точности значение е следует принимать по точности работы, преобладающей в данном производстве.
3- Приведенные в табл. I значения е при работах II—V разрядов допускается повышать на один разряд для помещений. предназначенных для работы иля производственного обучения подростков
Солнцезащитные устройства в общественных и жилых зданиях следует предусматривать с учетом требований соответствующих глав СНиП и других нормативных документов по строительному проектированию, утвержденных в установленном порядке.
2 Зак. 121
Таблица 2
Значения коэффициента t для вспомогательных помещений предприятий
|
Значение е в % при естественном освещении |
Поверхность, для которой определяете* * |
||
|
Помещения |
||| 2 isa |
I 0 1 |
|
|
1. Здравпункты . . . |
I I |
Условная рабо- |
|
|
2. Столовые и буфеты 3. Помещения для отдыха. Помещения куль- |
2 |
0,5 1 |
чая поверхность |
|
турного обслуживания . А. Вестибюли, гарде- |
1 |
0.3 |
То же |
|
робные уличной одежды 5. Коридоры, проходы, лестницы (лестничные |
0.7 |
0.2 |
Пол Паз. площадки и ступени |
|
клетки) …… 6. Умывальные, уборные, помещения для личной гигиены женщин |
0.5 |
0.1 |
лестниц |
|
и для кормления детей 7. Душевые и предду-шепые. гардеробы для хранения домашней и рабочей одежды, помещения для обогревания |
0.2 |
Пол |
|
|
работающих …. |
— |
0.1 |
> |
Примечание. Значение е дли рабочих помещений управлений, помещений дли учебных занятий, залов совещапий к библиотек следует принимать по табл. 3.
Таблица 3
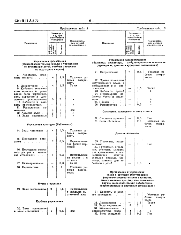
Значения коэффициента е для помещений жилых и общественных зданий, организаций, _ учреждений и предприятий _
|
Помещения |
Значение е В % при естественном освещении |
Поверхность. |
|
|
||| В XX X |
1 0 1 |
для которой определяется с |
|
|
Жилые здания |
|||
|
1. Жилые комнаты |
_ |
0.5 |
Пол |
|
2. Кухни в квартирах |
0.5 |
Условная рабочая поверхность |
|
|
Управления |
|||
|
3. Кзбинеты и рабо- |
|||
|
чме помещения . . . 4. Машинописные и |
— |
1 |
То же |
|
машиносчетные бюро 5. Приемные и компа- |
4 |
1.5 |
> |
|
ты ожидания . . . |
— |
о.з |
3 |
|
6. Залы совещаний . |
2 |
0.5 |
Пол |
Продо.гжение табл. 3
|
Значение е • *’» при естест цепком освещевми |
Поверхность, |
||
|
Помещении |
щ |
боковом j |
для которой определяется t |
Продолжение табл. 3
|
Значение е |
|||
|
в % при |
|||
|
естественном |
|||
|
освещении |
Поверхность. |
||
|
Помещении |
дли которой |
||
|
> S S |
ж |
олр<дмйгтся е |
|
|
2 |
|||
|
|1|» |
0 1 |
||
|
ixli |
£ |
||
Учреждения просвещения (общеобразовательные школы и учреждения по воспитанию детей, учебные заведения по подготовке кадров)
|
7 Аудитории, клас- |
1.5 |
|
|
сные комнаты …. |
4 |
|
|
8 Лаборатории . . 9. Кабинеты технического черчения и рисования. залы чертежные, залы курсового и лип- |
4 |
1.5 |
|
ломкого проектирования 10 Кабинеты и ком- |
5 |
2 |
|
паты преподавателей И. Реакционные по- |
1 |
|
|
метения …… |
3 |
1 |
|
12 Актовые залы . . |
3 |
1 |
|
13 Залы спортивные |
3 |
1 |
|
Учреждения культуры (библио |
||
|
14. Залы читальные |
4 |
1.5 |
|
15. Помещения ката- |
||
|
логов ……. 16. Помещения открытого доступа к книгам |
О |
0.5 |
|
(на стеллажах) . . . |
1 |
0.3 |
|
17. Книгохранилища . |
— |
0.3 |
|
18. Переплетные . . |
3 |
1 |
|
19. Залы выставочные |
2 |
1.5 |
|
Клубные |
учреждения |
|
|
20. Залы зрительные |
||
|
я залы совещаний . . |
2 |
0.5 |
Учреждения здравоохранения (больницы, диспансеры, амбулаторно-поликлинические учреждения, детские и курортные поликлиники)
Условная рабочая поверхность
То же >
|
21. Операционные |
7 |
2.5 |
|
|
Условная рабочая поверхность То же |
22. Прочие помещения хирургического блока в поликлиниках и в мед-сапчастях ….. |
1.5 |
|
|
23. Кабинеты врачей |
— |
1 |
|
|
» |
24. Процедурные кабинеты. боксы и изоляторы ……. |
1 |
|
|
25. Палаты …. |
— |
1 |
|
|
> |
26. Регистратура . . |
— |
0.5 |
Пол
*
Условная рабочая поверхность
Вертикальная для фронта кар-тотеки
Вертикальная на уровне I м от пола То же
Условная рабочая поверхность
Вертикальная в пределах выставочной зоны
Пол
Санатории, пансионаты и дома отдыха
|
27. Спальные комнаты |
— |
0.5 |
|
28. Залы обеденные |
0.5 I |
Детские ясли-сады
29 Приемные, раздевальные …..
30. Групповые, игральные, столовые, комнаты для музыкальных и гимнастических занятий, спальная веранда. Изолятор. комнаты для заболевших детей . . .
Организации и учреждения науки и научного обслуживания (научно-исследовательские институты, вычислительные центры, самостоятельные научно-исследовательские лаборатории, конструкторские и проектные организации)
|
— |
1 |
|
1.5 |
Пол
Условная рабочая поверх-
[ ность
Пол
31, Кабинеты и рабочие помещения . . .
32. Лаборатории . .
33. Залы чертежные .
34. Машинописные и машиносчетные бюро
35. Залы заседаний
|
— |
> |
|
1.5 |
|
|
5 |
2 |
|
4 |
1.5 |
|
2 |
0.5 |
Условная рабочая поверхность То же >
Пол
Продолжение табл. 3
|
Значение * |
|||
|
в % прв |
|||
|
естественном |
|||
|
ГЬыещсшии |
с* вс щенки |
Поверхность, |
|
|
при которой |
|||
|
gis |
I |
определяете* « |
|
|
2.1 la |
о £ |
||
|
k«:S |
5 |
||
Учреждения коммунального хозяйства (гостиницы, дома колхозникбв, общежития для приезжающих)
|
36. Спальные компаты |
— |
0.5 |
|
37. Кубовые и сушил-ки…….. |
0.1 |
Предприятия торговли (торговые центры, универмаги, магазины)
|
38. Торговые залы |
2 |
0.5 |
Условная ра бочая поверх ноет ь |
|
|
39 |
Мастерские , . . |
4 |
1.5 |
То же |
|
40. |
Гладильные . . |
3 |
1 |
> |
Предприятия общественного питания
|
41. Залы обеденные, буфеты…… |
2 |
0.5 |
* |
|
42 Производственные |
|||
|
помещения, кроме горячих цехов ….. |
3 |
1 1.5 |
» |
|
43. Горячие цехи . . |
4 |
» |
|
|
предприятия оытовогс |
обслу |
||
|
44. Помещения для посетителей ….. |
— |
0.3 |
в |
|
45. Конторские поме- |
1 |
||
|
щення ……. |
•— |
» |
|
|
46 Парикмахерские . |
— |
1 |
в |
Предприятия связи (почтамты, телеграфы, объединенные предприятия связи, отделения связи)
47. Залы операционные, рабочие помещения I 3 I 1 •
Предприятия транспорта (железнодорожные вокзалы, речные и морские вокзалы, автодорожные вокзалы, авиавокэалы)
|
48. Залы ожидания . |
1 |
0.3 |
|
49 Кассы….. |
2 |
0.5 |
Пол
Условная рабочая поверхность
Продолжение табл. 3
|
Значение t |
|||
|
* П |
прк |
||
|
естествсиимм |
|||
|
Помещения |
освещении |
Поверкам ть. |
|
|
оря «второ* |
|||
|
г-г» |
1 S |
оарвденячгяя « |
|
|
а. * Ь я |
|||
|
к.г! |
% |
||
Прочие помещения
|
50. Вестибюли и гардеробные …… |
о.з |
Пол |
|
|
51. Коридоры и проходы (кроме коридоров в проходов внутри квартир) …… |
0.1 |
в |
|
|
52. Лестницы |
0.7 |
0.2 |
Ступени я |
|
53. Санитарные узлы (кроме санитарных узлов внутри квартир) |
0.3 |
площадки |
|
Таблица 4 Значения коэффициента светового климата m |
|
|
Пояев светового клнматв <рис. 1) |
Коэффициент m |
|
1 |
1.2 |
|
(I |
1.1 |
|
111 |
1 |
|
IV |
0.9 |
|
V |
0.8 |
Табляща Ъ
Значения коэффициента солнечности С_
|
Ковффяцвевт С |
|||||||
|
при боковом освещен а н |
яра |
верхнем яеяяя |
ввив |
||||
|
Пояс* светового ялнмвтв (рве. 1) |
Световые в рог мм. орвентвроваяжме но сторонам гора»оита (арв отечете аваиутов от севера), в $рад |
А и |
h \\ |
||||
|
§ i |
«О# 14 са Я |
3 а « |
н if Он |
и Й |
* а |
||
|
1…… |
1 |
1 |
1 |
1 |
I |
, |
|
|
11…… |
1 |
1 |
1 |
1 |
1 |
1 |
|
|
,|)!…… |
1 |
1 |
1 |
1 |
1 |
1 |
|
|
I V • а) севернее 50’ с. ш. . . |
0,95 |
0.9 |
1 |
0,9 |
0.95 |
1 |
|
|
б) южнее 50’ с. ш. . . |
0.9 |
0.85 |
1 |
0,85 |
0.9 |
, |
|
|
V: а) севернее 40° с. ш. . . |
0.85 |
0.8 |
1 |
0,75 |
0.8 |
1 |
|
|
б) южнее 40° с. ш. . . |
0,75 |
0.7 |
1 |
0.65 |
0,75 |
1 |
|
г з*к. Ill
3. РАСЧЕТ ЕСТЕСТВЕННОГО ОСВЕЩЕНИЯ
3.1. Размеры световых проемов следует определять в соответствии с нормированными значениями к.е.о. е* (п. 2.1). Допускается отклонение размеров световых проемов на ±10% от требуемой в соответствии с нормированным значением еп.
3.2. Значения к.е.о. при боковом освещении следует определять в точках характерного разреза помещения согласно рис. 2. При этом первую и последнюю точки для расчета следует принимать на расстоянии 1 м от наружных поверхностей стен.
н
|
1 |
и |
ЪсЬ- ГУ! |
|
т~ |
JT~ |
|
|
г» ■ , Г»- |
_~£JL |
б) при верхнем освещении — по формуле
— l)lv (3)
в) при комбинированном освещении — по формуле
где ес — геометрический коэффициент естественной освещенности в расчетной точке при боковом освещении, определяемый из соотношения
е6 = 0,01 л, л, (5)
(Л| — количество «лучей» по рис. 6 приложения 4, проходящих от неба
о*,.
Рис. 2. Характерный поперечный разрез помещения для расчета к.е.о. при боковом освещении
Рис. 3. Характерный поперечный разрез помещения для расчета к.е.о. при верхнем освещении
3.3. Значения к.е.о. при верхнем и комбинированном освещении следует определять в точках характерного разреза помещения согласно рис. 3. При этом расчетные точки (в количестве не менее 5) следует принимать на равных расстояниях друг от друга, располагая первую и последнюю точки на расстоянии 1 м от стен (или осей средних рядов колонн).
3.4. Расчет к.е.о. в точках характерного разреза помещения следует осуществлять:
а) при боковом освещении — по формуле
*e=-M+ ЯЮч/V. (2)
через световые проемы в расчетную точку на поперечном разрезе помещения, рис. 7, приложение 4; п3 — количество «лучей» по рис. 8 приложения 4, проходящих от неба через световые проемы в расчетную точку на плане помещения, рис. 9, приложение 4); q — коэффициент, учитывающий неравномерную яркость облачного неба МКО, определяемый по рис. 4;
Ут&з* ttfiane (ерсЗи** (бетспроею *од po&c*tj nttpiiKc*»* в’
Рис. 4. Значения коэффициента q, учитывающего неравномерную яркость облачного неба МКО
R — коэффициент, учитывающий свет, отраженный от противостоящего здания (рис. 5), определяемый из соотношения
R — 0,01 п\ лз, (6)
(л| — количество «лучей» по рис. 6 приложения 4, проходящих от противостоящего здания через световой проем в расчетную точку на поперечном разрезе помещения, рис. 7, приложение 4;
лз—количество «лучей» по рис. 8 приложения 4, проходящих через световой проем в расчетную точку на плане помещения, рис. 9, приложение 4);
К—коэффициент, учитывающий относительную яркость противостоящего здания, принимаемый по табл. 6;
то —общий коэффициент светопропуска-ния, определяемый по формуле
Ч “ “i тя «а “а «* (Л
(ti — коэффициент светопропускания материала, определяемый по табл. 7;
тд — коэффициент, учитывающий потери света в переплетах свстопроема, определяемый по табл. 7;
Рис. 5. Г.х.-ча для определения коэффчанента естественной освещенное! и с учетом отраженного свегв от противостоящего здания
Таблица б
Значения коэффициента К
|
Отделочный материал фасада »д*м«Й |
Значения коэффициента отражения отделочного материала |
Знлчгвши яоаффи-пиента К |
|
Кирпич серый….. |
0.25 |
0,12 |
|
Бетон светлый….. |
0.3 |
0,14 |
|
Блоки облицовочные керамические …….. |
0,35 |
0,16 |
|
Краска фасадная цветная на бетоне светлая, атмосферостойкая …….. |
0,45 |
0.2 |
|
Краска фасадная на бетоне белая, атмосферостойкая |
0.6 |
0,25 |
т3 — коэффициент, учитывающий потери света в слое загрязнения остекления, определяемый по табл. 7; т4 — коэффициент, учитывающий потери света в несущих конструкциях, определяемый по табл. 7 (при боковом освещении 1);
Ts — коэффициент, учитывающий потери света в солнцезащитных устройствах, определяемый в соответствии с приложением 3); fi — коэффициент, учитывающий повышение к.е.о. при боковом освещении благодаря свету, отраженному от внутренних поверхностей и подстилающего слоя, прилегающего к зданию, определяемый по табл. 8; ев — геометрический коэффициент естественной освещенности в расчетной точке при верхнем освещении, определяемый из соотношения
% —0,01 л, гц, (8)
Значения коэффициентов т,, т», т3 и т«
Таблица 7
|
Вах «агтааровускающего ватервааа |
t, |
Вид переодета |
«• |
Степень загрязнения саетопропускающего материала |
т. |
Вид несущих конструкций |
|
|
Стекло листонос: |
Переплеты окон н |
Значительное загряз- |
Стальные |
||||
|
одинарное . . . |
0.9 |
фонарей промышленных |
некие пылью. копотью |
фермы . . . |
0.9 |
||
|
двойное …. |
0.8 |
зданий: |
и другими аэрозолями |
Железо- |
|||
|
тройное ….. |
0,75 |
а) деревянные: |
при расположении све- |
бетонные |
|||
|
Стекло листонос узор- |
одинарные . . . |
0,75 |
топропусхающего мате- |
фермы и ар- |
|||
|
чатое или армированное |
0.6 |
спаренные . . . . |
0.7 |
риала: |
ки . . . |
0.8 |
|
|
Стекло теплоотража- |
двойные раэдель- |
вертикальном . . . |
0,65 |
Балки и |
|||
|
ющее с пленочными по- |
ные…….. |
0.6 |
наклонном или го- |
рамы сплоиь |
|||
|
крытмимн: |
б) стальные: |
ркзонтальном . . . |
0.5 |
ные при вы- |
|||
|
титановым . . . . |
0.7 |
одинарные открыва- |
Умеренное загрязне- |
соте сече• |
|||
|
елово-сурьмяным |
юшнеся . . . . |
0,75 |
вне пылью, копотью или |
вея: |
|||
|
или к об л ль голым |
0.65 |
одинарные глухие . |
0.9 |
другими аэрозолями |
50 ем |
||
|
Стеклопластик листе- |
двойные открываю- |
при расположении све- |
и более |
0.8 |
|||
|
вок. плоский или лолни- |
щисея….. |
0.6 |
толролускающего мате- |
менее |
|||
|
стык: |
двойные глухие . . |
0.8 |
риала: |
50 см |
0,9 |
||
|
бесцветныЛ . . . |
0.75 |
Переплеты окон жи- |
вертикальном . . . |
0.7 |
— |
— |
|
|
слабое«; решенный |
0.6 |
лых и общественных |
наклонном или го- |
||||
|
■пвенойвно окрашен- |
зданий: |
ризонтальном . . . |
0,55 |
||||
|
нык … |
одинарные . . . . |
0.8 |
Незначительное за- |
||||
|
Органическое стекло: |
спаренные . . . . |
0,75 |
грязненис пылью, ко- |
||||
|
превратное . . . |
0.9 |
двойные раздельные |
0.65 |
потью или другими аэ- |
|||
|
молочное (свето- |
раздельно спаренные |
0,5 |
розолями при располо- |
||||
|
пропускающее) . . |
0.6 |
Стекложелсзобетопные |
женин светопропускаю- |
||||
|
Армопленка …. |
0.75 |
панели с пустотелыми |
щего материала: |
||||
|
Пустотелые стекля н- |
стеклянными блоками |
вертикальном . . . |
0.8 |
||||
|
ные блока: |
при толщине шва: |
наклонном или го- |
|||||
|
светорассеннаютие . |
0.5 |
20 мм и менее . . |
0.9 |
ризонтальном . . |
0.65 |
||
|
светопрозрачные . . |
0,55 |
более 20 мм . . . |
0,85 |
— |
— |
||
|
Профильное стекло: |
Ограждения из про- |
||||||
|
швеллерного сече- |
фильного стекла швел- |
||||||
|
ння …… |
0.8 |
.черного и коробчатого |
|||||
|
коробчатого сечения |
0.65 |
сечения …… |
|||||
|
Стекло контрастное |
0,75 |
||||||
|
Стекло матовое (све- |
|||||||
|
торассеиваюшес) . . . |
0.65 |
Примечания. I Зиачемия Т, следует умножать: при применении узорчатого стекла.стеклопластика, ярмоплекки и иатомогс стекла — на 0.9; при войнепении органического стекла — на 1,1; при использовании световых проемов дли азрации — на 0.9.
S. Загрязнение саетопропусиающего материала пылью, копотью иля другими аэрозолями считается;
а) значительным — при воздушной среде в помещении, содержащей 10 ды.’м* и более пыли, дыма, копоти, а также ли* мвчески агрессивные вещества, вы тыкающие коррозию саетопропускающего материала;
б) умерсииым — при воздушной среде в помещеивя. содержащей от 5 до 10 мг’м’ пыли, дыма и копоти:
и) незначительным — при воздушной среде в помещении, содержащей не более 5 мг.а’ пыли, дыма и копоти.
Значения коэффициентов Т установлены с
