Санитарно-микробиологический анализ питьевой воды
Заменяет

Страница 1

Страница 2

Страница 3

Страница 4

Страница 5

Страница 6

Страница 7

Страница 8

Страница 9

Страница 10

Страница 11

Страница 12

Страница 13

Страница 14

Страница 15

Страница 16

Страница 17

Страница 18

Страница 19

Страница 20

Страница 21

Страница 22

Страница 23

Страница 24

Страница 25

Страница 26

Страница 27

Страница 28

Страница 29

Страница 30

Страница 31

Страница 32
Государственное санитарно-эпидемиологическое нормирование
Российской Федерации
4.2. МЕТОДЫ КОНТРОЛЯ. БИОЛОГИЧЕСКИЕ И МИКРОБИОЛОГИЧЕСКИЕ ФАКТОРЫ
Санитарно-микробиологический анализ питьевой воды
Методические указания
МУК 4.2.1018-01
Минздрав России
Москва 2001
1. Разработаны НИИ экологии человека и гигиены окружающей среды им. А. Н. Сысина РАМН (Недачин А. Е., Доскина Т. В., Дмитриева Р. А., Тишкова Н. Ю., Сидоренко С. Г.), Федеральным научным центром гигиены им. Ф. Ф. Эрисмана Минздрава России (Трухина Г. М., Мойсеенко Н. Н., Сарафанюк Е. В.), Аналитическим центром контроля качества воды «Роса» (Кашкарова Г. П.), Федеральным центром госсанэпиднадзора Минздрава России (Кривопалова Н. С., Сорокина Р. С.), Центром госсанэпиднадзора в г. Москве (Салова Н. Я., Малышева З. Г., Кожевникова Н. А.), Центром госсанэпиднадзора в Московской области (Козлова А. Т.), Московским НИИ генетики (Бовыкина Н. М.), НИИ коммунального водоснабжения и очистки воды (Русанова Н. А.), Российской медицинской академией последипломного образования (Власова И. В.), Российским государственным медицинским университетом (Пивоваров Ю. П.).
2. Утверждены Главным государственным санитарным врачом Российской Федерации — Первым заместителем министра здравоохранения Российской Федерации 9 февраля 2001 г.
3. С момента ввода данных методических указаний считаются утратившими силу методические указания МУК 4.2.671-97 «Методы санитарно-микробиологического анализа питьевой воды» и Информационно-методическое письмо Департамента государственного санитарно-эпидемиологического надзора Министерства здравоохранения Российской Федерации № 1100/1670-98-111 «О дополнительных мерах по осуществлению контроля качества питьевой воды по микробиологическим и паразитологическим показателям».
4. Введены впервые.
СОДЕРЖАНИЕ
|
1. Область применения. 2 2. Нормативные ссылки. 2 3. Отбор, хранение и транспортирование проб. 2 3.1. Общие требования к отбору проб. 2 3.2. Хранение и транспортирование проб. 3 4. Оборудование, расходные материалы, реактивы, питательные среды.. 3 4.1. Оборудование. 3 4.2. Расходные материалы.. 4 4.3. Химические реактивы.. 4 4.4. Питательные среды.. 5 4.5. Тест-культуры микроорганизмов. 6 5. Приготовление питательных сред и реактивов. 6 5.1. Общие положения. 6 5.2. Питательный бульон. 7 5.3. Питательный агар. 7 5.4. Фуксин-сульфитная среда Эндо. 7 5.5. Лактозо-пептонная среда. 7 5.6. Питательные среды для подтверждения способности ферментировать лактозу до кислоты и газа. 7 5.7. Реактивы для оксидазного теста. 8 5.8. Железо-сульфитный агар. 8 5.9. Реактивы для окраски препаратов по Граму. 8 6. Подготовка к анализу. 9 6.1. Подготовка посуды и материалов. 9 6.2. Подготовка проб воды.. 9 7. Методика работы при использовании мембранных фильтров. 9 7.1. Подготовка мембранных фильтров. 9 7.2. Подготовка фильтровального аппарата. 9 7.3. Фильтрование воды.. 9 8. Проведение анализа. 10 8.1. Определение общего числа микроорганизмов, образующих колонии на питательном агаре. 10 8.2. Определение общих и термотолерантных колиформных бактерий методом мембранной фильтрации (основной метод) 10 8.3. Определение общих и термотолерантных колиформных бактерий титрационным методом.. 13 8.4. Определение спор сульфитредуцирующих клостридий. 15 8.5. Определение колифагов. 16 Приложения. 19 |
УТВЕРЖДАЮ
Главный государственный санитарный врач
Российской Федерации — Первый заместитель
Министра здравоохранения Российской Федерации
Г. Г. Онищенко
9 февраля 2001 г.
Дата введения: 1 июля 2001 г.
4.2. МЕТОДЫ КОНТРОЛЯ. БИОЛОГИЧЕСКИЕ
И МИКРОБИОЛОГИЧЕСКИЕ ФАКТОРЫ
Санитарно-микробиологический анализ питьевой воды
Методические указания
МУК 4.2.1018-01
1. Область применения
1.1. Настоящие методические указания устанавливают методы санитарно-микробиологического контроля качества питьевой воды в отношении ее эпидемической безопасности по показателям СанПиН 2.1.4.559-96 «Питьевая вода. Гигиенические требования к качеству воды централизованных систем питьевого водоснабжения. Контроль качества».
1.2. Методические указания предназначены для лабораторий организаций, предприятий и иных хозяйственных субъектов, осуществляющих производственный контроль, а также органов санитарно-эпидемиологической службы, обеспечивающих государственный и ведомственный санитарно-эпидемиологический надзор за качеством питьевой воды централизованных систем питьевого водоснабжения.
2. Нормативные ссылки
2.1. Санитарные правила и нормы. «Питьевая вода. Гигиенические требования к качеству воды централизованных систем питьевого водоснабжения. Контроль качества». СанПиН 2.1.4.559-96.
2.2. Санитарные правила «Безопасность работы с микроорганизмами III — IV групп патогенности и гельминтами». СП 1.2.731-99.
2.3. ГОСТ 18963-73. Вода питьевая. Методы санитарно-бактериологического анализа.
3. Отбор, хранение и транспортирование проб 3.1. Общие требования к отбору проб
3.1.1. Отбор проб производит специалист после прохождения инструктажа по технике выполнения отбора проб для микробиологического анализа.
3.1.2. Для отбора проб воды используют специально предназначенную для этих целей одноразовую посуду или емкости многократного применения, изготовленные из материалов, не влияющих на жизнедеятельность микроорганизмов.
3.1.3. Емкости должны быть оснащены плотно закрывающимися пробками (силиконовыми, резиновыми или из других материалов) и защитным колпачком (из алюминиевой фольги, плотной бумаги). Многоразовая посуда, в т.ч. пробки, должна выдерживать стерилизацию сухим жаром или автоклавированием.
3.1.4. При отборе проб в одной и той же точке для различных целей первыми отбирают пробы для бактериологических исследований. Если отбирают воду после обеззараживания химическими реагентами, то для нейтрализации остаточного количества дезинфектанта в емкость, предназначенную для отбора проб, вносят до стерилизации натрий серноватисто-кислый в виде кристаллов из расчета 10 мг на 500 мл воды.
3.1.5. Пробу отбирают в стерильные емкости. Емкость открывают непосредственно перед отбором, удаляя пробку вместе со стерильным колпачком. Во время отбора пробка и края емкости не должны чего-либо касаться. Ополаскивать посуду запрещается.
3.1.6. При исследовании воды из распределительных сетей отбор проб из крана производят после предварительной его стерилизации обжиганием и последующего спуска воды не менее 10 мин при полностью открытом кране. При отборе пробы напор воды может быть уменьшен. Пробу отбирают непосредственно из крана без резиновых шлангов, водораспределительных сеток и других насадок. Если через пробоотборный кран происходит постоянный излив воды, отбор проб производят без предварительного обжига, не изменяя напора воды и существующей конструкции (при наличии силиконовых или резиновых шлангов).
При заполнении емкостей должно оставаться пространство между пробкой и поверхностью воды, чтобы пробка не смачивалась при транспортировании.
После наполнения емкость закрывают стерильной пробкой и колпачком.
3.1.7. Отобранную пробу маркируют и сопровождают документом отбора проб воды с указанием места, даты, времени забора, фамилии специалиста, отбиравшего пробу, и другой информации.
3.2. Хранение и транспортирование проб
3.2.1. Доставку проб питьевой воды осуществляют в контейнерах-холодильниках при температуре (4 — 10) °С. В холодный период года контейнеры должны быть снабжены термоизолирующими прокладками, обеспечивающими предохранение проб от промерзания. При соблюдении указанных условий срок начала исследований от момента отбора проб не должен превышать 6 ч.
Если пробы нельзя охладить, их анализ следует провести в течение 2 ч после забора.
Если не может быть соблюдено время доставки пробы и температура хранения, анализ пробы проводить не следует.
Пробы питьевой воды должны доставляться в отдельных продезинфицированных контейнерах.
4. Оборудование, расходные материалы, реактивы, питательные среды 4.1. Оборудование
|
Термостат для температурного режима (37 ± 1) °С |
|
|
Термостат для температурного режима (44 ± 1) °С |
|
|
Термостат или водяная баня для температурного режима (44 ± 0,5) °С |
|
|
Водяная баня для температурного режима (75 ± 5) °С |
|
|
Водяная баня или термостат для температурного режима (45 — 49) °С (для питательных сред) |
|
|
Прибор для мембранной фильтрации под вакуумом с диаметром фильтрующей поверхности 35 или 47 мм и устройство для создания разрежения (0,5 — 1,0) атм |
|
|
Весы лабораторные общего назначения 4 кл. точности, с пределом взвешивания до 1000 г |
ГОСТ 24104-80 |
|
Максимальный термометр ртутный с диапазоном измерения от 20 до 200 °С с ценой деления шкалы 1 °С |
|
|
Термометр ртутный с диапазоном измерения от 0 до 100 °С с ценой деления шкалы 0,5 °С |
|
|
рН-метр, обеспечивающий измерение с погрешностью до 0,01 |
|
|
Дистиллятор, обеспечивающий качество дистиллированной воды не ниже |
ГОСТ 6709-72 |
|
Стерилизатор суховоздушный для температурного режима (180 ± 5) °С |
|
|
Стерилизатор паровой |
|
|
Холодильник бытовой электрический |
|
|
Вытяжной шкаф для работы с хлороформом при проведении анализа на колифаги |
|
|
Нагревательный прибор для варки питательных сред либо магнитные мешалки с подогревом до 300 °С |
|
|
Прибор для счета колоний бактерий |
|
|
Лупа с двукратным увеличением |
|
|
Дозаторы для разлива питательных сред |
|
|
Дозаторы пипеточные |
|
|
Облучатель бактерицидный |
|
|
Оптический стандарт мутности на 10 ед. |
|
|
Горелки газовые или спиртовки |
|
|
Петли бактериологические |
|
|
Поплавки бактериологические |
|
|
Пинцеты для работы с мембранными фильтрами |
|
|
Штативы для пробирок |
|
|
Емкости эмалированные |
4.2. Расходные материалы
|
Мембранные фильтры для микробиологических целей с диаметром пор не более 0,45 мкм и размером диска 35 или 47 мм и другие фильтрующие мембраны с аналогичной способностью фильтрации, имеющие сертификат качества |
|
|
Индикаторы бумажные для определения рН в диапазоне 6 — 8 с интервалом определения 0,2 — 0,3 |
|
|
Фольга алюминиевая, колпачки силиконовые, металлические |
|
|
Пипетки, вместимостью 1,5, 10 мл с ценой деления 0,1 мл многоразового или одноразового использования) |
ГОСТ 29227-91 |
|
Пробирки (многоразового или одноразового использования) |
ГОСТ 25336-82 |
|
Цилиндры, вместимостью 100, 250, 500 мл или мензурки, вместимостью 250, 500, 1000 мл |
ГОСТ 1770-74 |
|
Чашки бактериологические (Петри) |
ГОСТ 23932-90 |
|
Воронки стеклянные |
ГОСТ 25336-82 |
|
Пробки (силиконовые, резиновые и другие, выдерживающие стерилизацию сухим жаром или автоклавированием) |
|
|
Бумага фильтровальная лабораторная |
ГОСТ 12026-76 |
|
Вата хлопковая медицинская гигроскопическая |
ГОСТ 5556-81 |
|
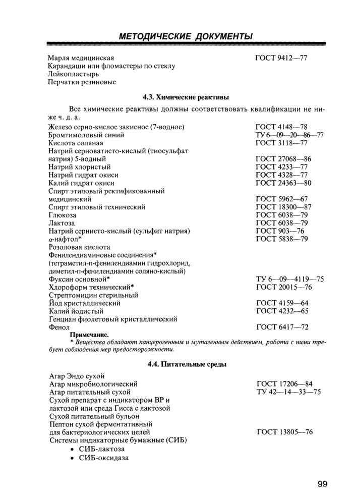
Марля медицинская |
ГОСТ 9412-77 |
|
Карандаши или фломастеры по стеклу |
|
|
Лейкопластырь |
|
|
Перчатки резиновые |
4.3. Химические реактивы
Все химические реактивы должны соответствовать квалификации не ниже ч. д. а.
|
Железо серно-кислое закисное (7-водное) |
ГОСТ 4148-78 |
|
Бромтимоловый синий |
ТУ 6-09-20-86-77 |
|
Кислота соляная |
ГОСТ 3118-77 |
|
Натрий серноватисто-кислый (тиосульфат натрия) 5-водный |
ГОСТ 27068-86 |
|
Натрий хлористый |
ГОСТ 4233-77 |
|
Натрий гидрат окиси |
ГОСТ 4328-77 |
|
Калий гидрат окиси |
ГОСТ 24363-80 |
|
Спирт этиловый ректификованный медицинский |
ГОСТ 5962-67 |
|
Спирт этиловый технический |
ГОСТ 18300-87 |
|
Глюкоза |
ГОСТ 6038-79 |
|
Лактоза |
ГОСТ 6038-74 |
|
Натрий сернисто-кислый (сульфит натрия) |
ГОСТ 903-76 |
|
α-нафтол* |
ГОСТ 5838-79 |
|
Розоловая кислота |
|
|
Фенилендиаминовые соединения* (тетраметил-п-фенилендиамин гидрохлорид, диметил-п-фенилендиамин соляно-кислый) |
|
|
Фуксин основной* |
ТУ 6-09-4119-75 |
|
Хлороформ технический* |
ГОСТ 20015-76 |
|
Стрептомицин стерильный |
ГОСТ 4159-64 |
|
Йод кристаллический |
ГОСТ 4232-65 |
|
Калий йодистый |
|
|
Генциан фиолетовый кристаллический |
|
|
Фенол |
ГОСТ 6417-72 |
Примечание.
* Вещества обладают канцерогенным и мутагенным действием, работа с ними требует соблюдения мер предосторожности.
4.4. Питательные среды
|
Агар Эндо сухой |
|
|
Агар микробиологический |
ГОСТ 17206-84 |
|
Агар питательный сухой |
ТУ 42-14-33-75 |
|
Сухой препарат с индикатором ВР и лактозой или среда Гисса с лактозой |
|
|
Сухой питательный бульон |
|
|
Пептон сухой ферментативный для бактериологических целей |
ГОСТ 13805-76 |
|
Системы индикаторные бумажные (СИБ) |
· СИБ-лактоза
· СИБ-оксидаза
Допускаются к использованию коммерческие питательные среды, диагностические препараты и системы идентификации производства зарубежных фирм, предназначенные для целей описываемых методов. Питательные среды и биологические препараты зарубежного производства должны иметь международный сертификат качества ISO 9000 или EN 29 000.
При использовании следует руководствоваться рекомендациями фирмы-производителя.
Все обезвоженные коммерческие питательные среды и препараты отечественного производства должны иметь сертификат соответствия.
4.5. Тест-культуры микроорганизмов
4.5.1. Контрольный колифаг М82, штамм ВКПМ-3254 Е. coli К12 F+ Strr получают в ГНИИ Генетика — Всероссийской Коллекции Промышленных Микроорганизмов (ВКПМ — Россия, 113545, г. Москва, 1-ый Дорожный проезд, д. 1).
4.5.2. Штамм Е. coli М17-02 и один из штаммов: Pseudomonas aeruginosa или Pseudomonas fluorescens получают в Государственном Национальном Органе контроля медицинских и биологических препаратов им. Л. А. Тарасовича Минздрава России (Россия, 121002, г. Москва, ул. Сивцев-Вражек, д. 41).
Примечание.
В производственных лабораториях, расположенных на территории водопроводных станции, следует использовать штамм Pseudomonas fluorescens.
5. Приготовление питательных сред и реактивов 5.1. Общие положения
Предпочтительно использование стандартизованных сухих питательных сред промышленного производства.
При использовании промышленных сухих питательных сред их приготавливают в соответствии с указаниями изготовителя на этикетке.
В этом случае следует соблюдать способ применения и срок хранения питательных сред, указанные на упаковках.
Сухие питательные среды хранят в сухих помещениях, в темноте, при комнатной температуре. Открытые упаковки тщательно закупоривают. Среды с измененным внешним видом (уплотненные, с комками), а также с истекшим сроком годности не используют.
Для приготовления растворов, реактивов и питательных сред применяют воду дистиллированную по ГОСТу 6709-72.
Питательные среды готовят в посуде из инертного материала.
Учитывая возможное изменение рН питательных сред после кипячения и стерилизации, окончательный контроль рН проводят в готовой среде при температуре 25 °С с использованием индикаторной бумаги.
После стерилизации питательные среды оставляют для охлаждения при комнатной температуре. При необходимости розлива в чашки Петри среды охлаждают до температуры (50 — 60) °С.
Температура сред, хранящихся в холодильнике, перед посевом должна быть доведена до комнатной.
5.2. Питательный бульон
5.2.1. Готовят из сухого препарата промышленного производства по способу, указанному на этикетке.
5.2.2. Питательный бульон (десятикратный) для колифагов готовят путем увеличения в 10 раз навески сухого препарата, указанной на этикетке.
5.3. Питательный агар
5.3.1. Готовят из сухого препарата промышленного производства по способу, указанному на этикетке.
5.3.2. Питательный агар для определения колифагов прямым методом готовят, увеличивая навеску сухого препарата в 2 раза от прописи.
5.3.3. Питательный агар запрещается выдерживать в расплавленном состоянии более 8 ч. Оставшийся неиспользованным агар повторному расплавлению не подлежит.
5.3.4. Полужидкий питательный агар готовят следующим образом: сухой питательный бульон (15 г) и агар микробиологический (3 г) растворить при нагревании в 1000 мл дистиллированной воды. Довести рН до 7,0 — 7,2, разлить в пробирки и стерилизовать автоклавированием при 121 °С в течение 15 мин.
5.3.5. Питательный агар со стрептомицином готовят из расчета содержания 100 мкг стрептомицина на 1 мл питательного агара, приготовленного по стандартной прописи. Стерильно на стерильной дистиллированной воде готовят раствор стрептомицина в концентрации 10 мг на 1 мл. В готовый питательный агар, отмеренный по объему и остуженный до температуры (45 — 49) °С, вносят приготовленный стерильный раствор стрептомицина из расчета 0,1 мл на 10 мл питательного агара. Разливают в пробирки для приготовления скошенного агара. Повторное расплавление питательной среды со стрептомицином запрещается.
5.4. Фуксин-сульфитная среда Эндо
5.4.1. Основная модификация
Готовят из сухого препарата по способу, указанному на этикетке. Если на поверхности среды заметны следы влаги, чашки перед посевом необходимо подсушить. Срок хранения чашек со средой не более 2 — 3 суток в темноте, если производителем не оговорены другие сроки.
5.4.2. Повышение дифференцирующих свойств среды
Для повышения дифференцирующих свойств среды в готовую и охлажденную до (60 — 70) °С среду перед разливкой в чашки допускается прибавлять на 100 мл среды 0,2 мл 5 %-ного спиртового раствора основного фуксина. Срок хранения раствора фуксина — не более 1 мес.
5.4.3. Модификация среды с добавлением розоловой кислоты
В случаях, когда мембранные фильтры зарастают микрофлорой, не относящейся к бактериям кишечной группы, помимо фуксина, допускается добавление на 100 мл среды Эндо 0,2 мл 5 %-ного спиртового раствора розоловой кислоты. Срок хранения раствора розоловой кислоты — не более 1 мес.
Модификацию среды Эндо с добавлением розоловой кислоты используют только при работе методом мембранной фильтрации.
5.5. Лактозо-пептонная среда
10 г пептона, 5 г натрия хлористого, 5 г лактозы растворяют при нагревании в 1 л дистиллированной воды. После растворения ингредиентов устанавливают рН 7,4 — 7,6, разливают по 10 мл в пробирки, стерилизуют при (112 ± 2) °С 12 мин.
Для приготовления концентрированной лактозо-пептонной среды все ингредиенты, кроме воды, увеличивают в 10 раз, разливают по 1 мл в пробирки и по 10 мл во флаконы.
5.6. Питательные среды для подтверждения способности ферментировать лактозу до кислоты и газа
5.6.1. Полужидкая среда с лактозой из сухого препарата
Готовят по способу, указанному на этикетке.
Срок хранения — не более 2 недель при комнатной температуре.
Посев производят уколом до дна пробирки. При образовании кислоты цвет питательной среды изменяется в соответствии с использованным индикатором. При газообразовании газ скапливается или по уколу, или на поверхности, или в толще среды появляются разрывы. При инкубации посевов более 5 ч газ может улетучиться. В таких случаях на присутствие газа указывают оставшиеся в толще среды «карманы» — потемнения среды на месте бывшего пузырька газа.
5.6.2. Полужидкая среда с лактозой
Готовят при отсутствии сухого препарата.
В 1 л дистиллированной воды растворяют 10 г пептона, 5 г натрия хлористого, (4 — 5) г агар-агара, доводят до кипения, устанавливают рН 7,2 — 7,4, добавляют 1 мл 1,6 %-ного спиртового раствора бромтимолового синего. Стерилизуют при (120 ± 2) °С 20 мин. В расплавленную среду вносят 5 г лактозы, нагревают до кипения, разливают в стерильные пробирки на высоту (3 — 5) см и стерилизуют при (112 ± 2) °С 12 мин. Срок хранения — не более 2 недель при комнатной температуре.
Правильно приготовленная среда зеленого цвета с синеватым оттенком (цвет бутылочного стекла). При Образовании кислоты цвет среды изменяется на желтый.
5.6.3. Лактозо-пептонная среда
Готовят по п. 5.5 с добавлением 1 мл 1,6 %-ного спиртового раствора бромтимолового синего на 1 л и разливают по (3 — 5) мл в пробирки с поплавком.
5.6.4. СИБ-лактоза
Готовят по прописи завода-изготовителя.
5.7. Реактивы для оксидазного теста
5.7.1. Вариант 1
1 %-ный водный раствор тетраметил-п-фенилендиамина гидрохлорид. Готовят перед употреблением.
5.7.2. Вариант 2
Реактив № 1.1 %-ный спиртовой раствор α-нафтола.
Реактив № 2.1 %-ный водный раствор фенкпендиаминового соединения.
Растворы сохраняют в темных флаконах с притертыми пробками:
1 — до одного месяца, 2 — до одной недели. Перед употреблением к трем частям первого раствора добавляют семь частей второго раствора.
Могут быть использованы коммерческие тест-системы для постановки оксидазного теста (СИБ-оксидаза или аналоги).
Перед работой с каждой серией проб реактивы или тест-системы на оксидазу следует испытывать с тест-культурами микроорганизмов, дающих положительную (Ps. aeruginosa, Ps. fluorescens) и отрицательную оксидазную реакцию (E. coli).
5.8. Железо-сульфитный агар
В 1000 мл стерильного расплавленного питательного агара (по п. 5.4) добавляют 10 г глюкозы, нагревают до растворения, разливают мерно во флаконы, автоклавируют при (112 ± 2) °С 12 мин (основная среда).
20 %-ный раствор сульфита натрия (Na2SO3) и 8 %-ный раствор железа серно-кислого закисного (FeSO4) или железа хлористого (FeCl2) готовят непосредственно перед употреблением в стерильной посуде на стерильной дистиллированной воде. Раствор сульфита натрия нагревают до полного растворения. Перед выполнением анализа в 100 мл расплавленной основной среды вносят 5 мл 20 %-ного раствора сульфита натрия, перемешивают, затем вносят 1 мл 8 %-ного раствора сернокислого железа, перемешивают и стерильно разливают в пробирки высоким столбиком (12 — 15) см для работы методом мембранной фильтрации или во флаконы для работы методом прямого посева.
5.9. Реактивы для окраски препаратов по Граму
5.9.1. Карболовый раствор генциана фиолетового готовят следующим образом: 1 г генциана фиолетового, 10 мл ректификованного этилового спирта, 5 г фенола растирают в ступке, добавляя 100 мл дистиллированной воды.
5.9.2. Раствор Люголя готовят следующим образом: 1 г йода, 2 г йодистого калия растворяют в 300 мл дистиллированной воды. Хранить во флаконе из темного стекла.
5.9.3. Фуксин Циля готовят следующим образом: 1 г основного фуксина, 10 мл спирта этилового ректификованного, 54 г фенола растирают в ступке, добавляя 100 мл дистиллированной воды.
6. Подготовка к анализу 6.1. Подготовка посуды и материалов
Лабораторную посуду моют, ополаскивают сначала водопроводной, затем дистиллированной водой и высушивают.
Пробирки, колбы, бутылки, флаконы закрывают силиконовыми или ватно-марлевыми пробками и колпачками (силиконовые, металлические, из фольги или плотной бумаги).
Пипетки со вставленными тампонами из ваты укладывают в металлические пеналы или заворачивают в бумагу.
Чашки Петри укладывают в металлические пеналы или заворачивают в бумагу. Бумага, используемая для обертывания лабораторной посуды, не должна разрушаться при стерилизации.
Подготовленную посуду стерилизуют в сушильном шкафу при температуре 160 °С в течение 2 ч или 180 °С 1 ч, считая с момента достижения указанной температуры. Стерильную посуду вынимают из стерилизационного шкафа после его охлаждения ниже 60 °С. Срок хранения стерильной посуды — не более 10 дней.
Материалы и лабораторную посуду, разрушающиеся при температуре (160 — 180) °С (резина и т.п.), следует стерилизовать в паровом стерилизаторе при температуре (121 ± 2) °С 20 мин.
Новые резиновые пробки кипятят в 2 %-ном растворе натрия двууглекислого 30 мин и 5 раз промывают водопроводной водой (кипячение и промывание повторяют дважды). Затем пробки кипятят в дистиллированной воде 30 мин, высушивают, заворачивают в бумагу или фольгу и стерилизуют в паровом стерилизаторе. Резиновые пробки, использованные ранее, обеззараживают, кипятят 30 мин в водопроводной воде с нейтральным моющим средством, промывают в водопроводной воде, высушивают, монтируют и стерилизуют.
После выполнения анализа все использованные чашки, пробирки и пипетки обеззараживают в автоклаве при (126 ± 2) °С в течение 60 мин, в исключительных случаях допускается обеззараживание кипячением в 2 %-ном растворе пищевой соды или 0,5 %-ном моющего средства в течение 60 мин с момента закипания (в закрытой емкости с полным погружением в раствор).
6.2. Подготовка проб воды
Перед посевом пробу тщательно перемешивают и фламбируют горящим тампоном край емкости. Используемые пробирки и чашки маркируют.
Перед каждым отбором новой порции воды для анализа пробу перемешивают стерильной пипеткой.
7. Методика работы при использовании мембранных фильтров 7.1. Подготовка мембранных фильтров
Мембранные фильтры должны быть подготовлены к анализу в соответствии с указаниями изготовителя.
7.2. Подготовка фильтровального аппарата
Воронку и столик фильтровального аппарата обтирают марлевым (ватным) тампоном, смоченным спиртом ректификованным, и фламбируют. После охлаждения на столик фильтровального аппарата кладут фламбированным пинцетом стерильный мембранный фильтр, прижимают его воронкой.
7.3. Фильтрование воды
В воронку прибора для фильтрования наливают отмеренный объем воды, затем создают вакуум.
При посеве нескольких объемов одной пробы следует фильтровать через один фильтровальный аппарат без обеззараживания сначала меньшие, а затем большие объемы воды, меняя каждый раз фильтры. Перед фильтрованием каждой новой пробы прибор обеззараживают.
Следует начинать с фильтрования проб обеззараженной воды или тех проб, которые предположительно не загрязнены, а затем фильтровать загрязненные пробы.
При фильтровании 1 мл исследуемой воды следует в воронку налить предварительно не менее 10 мл стерильной воды, а затем внести анализируемую воду.
После окончания фильтрования и осушения фильтра отключают вакуум, воронку снимают, фильтр осторожно поднимают за край фламбированным пинцетом и переносят его, не переворачивая, на питательную среду, разлитую в чашки Петри, избегая пузырьков воздуха между средой и фильтром. Поверхность фильтра с осевшими на ней бактериями должна быть обращена вверх.
Под каждым фильтром на дне чашки делают надпись с указанием объема профильтрованной воды, номера пробы и даты посева. На одну чашку можно поместить 3 — 4 фильтра с условием, чтобы фильтры не соприкасались.
8. Проведение анализа 8.1. Определение общего числа микроорганизмов, образующих колонии на питательном агаре
8.1.1. Определение понятия показателя
Метод определяет в питьевой воде общее число мезофильных аэробных и факультативно анаэробных микроорганизмов (ОМЧ), способных образовывать колонии на питательном агаре при температуре 37 °С в течение 24 ч, видимые с увеличением в 2 раза.
8.1.2. Выполнение анализа
Из каждой пробы делают посев не менее двух объемов по 1 мл.
После тщательного перемешивания пробы воды вносят по 1 мл в стерильные чашки Петри, слегка приоткрывая крышки. После внесения воды в каждую чашку вливают (8 — 12) мл (на чашку диаметром 90 — 100 мм) расплавленного и остуженного до (45 — 49) °С питательного агара после фламбирования края посуды, в которой он содержится. Затем быстро смешивают содержимое чашек, равномерно распределяя по всему дну, избегая образования пузырьков воздуха, попадания агара на края и крышку чашки. Эту процедуру производят на горизонтальной поверхности, где чашки оставляют до застывания агара.
Расплавленный агар на период проведения анализа помещают в водяную баню или термостат, поддерживающие температуру (45 — 49) °С.
После застывания агара чашки с посевами помещают в термостат вверх дном и инкубируют при температуре (37 ± 1) °С в течение (24 ± 2) ч.
8.1.3. Учет результатов
Подсчитывают все выросшие на чашке колонии, наблюдаемые при увеличении в 2 раза. Учитывают только те чашки, на которых выросло не более 300 изолированных колоний.
Количество колоний на обеих чашках суммируют и делят на два. Результат выражают числом колониеобразующих единиц (КОЕ) в 1 мл исследуемой пробы воды.
Если на одной из 2 чашек подсчет невозможен, результат выдают на основании учета колоний на одной чашке. Если на двух чашках имеет место рост расплывчатых колоний, не распространяющийся на всю поверхность чашки, или выросло более 300 колоний и анализ нельзя повторить, подсчитывают сектор чашки с последующим пересчетом на всю поверхность. В этих случаях в протоколе отмечают «число КОЕ/мл — ориентировочно».
Если подсчет колоний на чашках невозможен, то в протоколе отмечают «сплошной рост».
8.2. Определение общих и термотолерантных колиформных бактерий методом мембранной фильтрации (основной метод)
8.2.1. Определение понятия показателя
Общие колиформные бактерии (ОКБ) — грамотрицательные, оксидазоотрицательные, не образующие спор палочки, способные расти на дифференциальных лактозных средах, ферментирующие лактозу до кислоты, альдегида и газа при температуре (37 + 1) °С в течение (24 — 48) ч.
Термотолерантные колиформные бактерии (ТКБ) входят в число общих колиформных бактерий, обладают всеми их признаками и, кроме того, способны ферментировать лактозу до кислоты, альдегида и газа при температуре (44 ± 0,5) °С в течение 24 ч.
8.2.2. Принцип метода
Метод основан на фильтрации установленного объема воды через мембранные фильтры, выращивании посевов на дифференциальной питательной среде с лактозой и последующей идентификации колоний по культуральным и биохимическим свойствам.
8.2.3. Выполнение анализа
8.2.3.1. Порядок исследования
При исследовании питьевой воды анализируют 3 объема по 100 мл.
При получении стабильных отрицательных результатов допустима фильтрация 300 мл воды через один фильтр.
При фильтрации воды неизвестного качества целесообразно увеличение количества фильтруемых объемов для получения изолированных колоний на фильтре (например, 10, 40, 100, 150 мл воды).
Отмеренный объем воды фильтруют через мембранные фильтры с соблюдением требований, изложенных в п. 7.
Фильтры помещают на среду Эндо, приготовленную по п. 5.4. Чашки с фильтрами ставят в термостат дном вверх и инкубируют посевы при температуре (37 ± 1) °С в течение (24 ± 2) ч.
Если на фильтрах нет роста или выросли колонии пленчатые, губчатые, плесневые, прозрачные, расплывчатые, выдают отрицательный ответ: отсутствие ОКБ и ТКБ в 100 мл исследуемой воды. Анализ заканчивают через 24 ч.
Если на фильтрах обнаружен рост изолированных типичных лактозоположительных колоний: темно-красных, красных с металлическим блеском или без него или других подобного типа колоний с отпечатком на обратной стороне фильтра, подсчитывают число колоний каждого типа отдельно и приступают к подтверждению их принадлежности к ОКБ и ТКБ.
Для подтверждения наличия ОКБ исследуют:
· все колонии, если на фильтрах выросло менее 5 колоний;
· не менее 3 — 4 колоний каждого типа.
Для подтверждения наличия ТКБ исследуют все типичные колонии, но не более 10.
Каждую выбранную изолированную колонию исследуют на:
· наличие оксидазной активности;
· принадлежность к Граму (микроскопия окрашенного по Граму препарата или постановка теста Грегерсена);
· ферментацию лактозы до кислоты и газа.
8 2.3 2. Постановка оксидазного теста
Полоску фильтровальной бумаги помещают в чистую чашку Петри и смачивают 2 — 3 каплями реактива для оксидазного теста по п. 5.7. Готовые бумажные системы смачивают дистиллированной во
