Административное управление качеством. Руководящие указания по программам качества

Страница 1

Страница 2

Страница 3

Страница 4

Страница 5

Страница 6

Страница 7

Страница 8

Страница 9

Страница 10

Страница 11

Страница 12

Страница 13
|
МЕЖДУНАРОДНЫЙ |
ИСО 10005 |
|
Первое издание 1995-09-15 |
АДМИНИСТРАТИВНОЕ УПРАВЛЕНИЕ
КАЧЕСТВОМ.
Руководящие указания по программам
качества
ПРЕДИСЛОВИЕ
Международная организация по стандартизации (ИСО) является всемирной федерацией национальных организаций по стандартизации (комитеты-члены ИСО). Разработка международных стандартов обычно осуществляется техническими комитетами ИСО. Каждый комитет-член может принимать в работе любого технического комитета по интересующему вопросу. Правительственные и неправительственные международные организации, связанные с ИСО, также принимают участие в этой работе. ИСО тесно сотрудничает с Международной электротехнической комиссией (МЭК) по всем вопросам стандартизации в области электротехники.
Проекты международных стандартов, принятые техническими комитетами, направляются комитетам-членам для голосования. Для публикации их в качестве международных стандартов требует одобрения не менее 75 % комитетов-членов, участвующих в голосовании.
Международный стандарт ИСО 10005 был разработан Подкомитетом ПК 2 «Система качества» Технического комитета ИСО/ТК 176 «Административное управление качеством и обеспечение качества».
Приложения А и В настоящего стандарта приведены только для информации.
ВВЕДЕНИЕ
Настоящий международный стандарт был подготовлен с целью обеспечения механизма, который бы связал общие требования к элементам системы качества с конкретными требованиями к определенной продукции, проекту или контракту. Положения настоящего стандарта следует считать рекомендательными; они не являются требования.
Программа качества может быть использована в рамках организации для того, чтобы гарантировать, что конкретные требования к качеству должным образом планируются и адресуются определенной продукции во время производства. Программа качества может быть использована для указания конкретного случая применения системы качества к данному проекту разработки, касающемуся либо продукции, поставляемой на рынок, либо оборудования, используемого на самом предприятии. Программа качества также может быть использована поставщиком в контрактной ситуации, чтобы продемонстрировать заказчику, каким образом будут выполнены конкретные требования к качеству, содержащиеся в данном контракте. Во многих случаях для разработки программы качества может быть полезным получение входных данных заказчика.
Программа качества должна быть совместима с другими программами, которые могут быть разработаны.
|
МЕЖДУНАРОДНЫЙ СТАНДАРТ |
ИСО 10005-95 |
АДМИНИСТРАТИВНОЕ УПРАВЛЕНИЕ КАЧЕСТВОМ.
Руководящие указания по программам качества
1 Область применения
1.1 Настоящий международный стандарт содержит руководящие указания, которые должны помочь поставщикам при подготовке, анализе, принятии и пересмотре программ качества.
Он предназначен для использования в двух ситуациях:
а) как методическое указание для организации поставщика при выполнении требований стандартов ИСО 9001, ИСО 9002 или ИСО 9003 относительно подготовки программы качества;
или
b) как методическое указание для организации поставщика при подготовке программы качества, если поставщик не имеет системы качества.
В обеих ситуациях программа качества дополняет общую документацию системы качества поставщика и не должна дублировать ее. Для удобства в ситуациях типа b) в стандарт включены положения, рассматриваемые в общих требованиях ИСО 9001, ИСО 9002, ИСО 9003.
Программы качества обеспечивают механизм привязки конкретных требований, касающихся продукции, проекта или контракта, к существующим общим процедурам системы качества. Программы не требуют разработки исчерпывающего набора процедур или инструкций помимо тех, которые уже существуют, хотя некоторые дополнительные документированные процедуры могут понадобиться.
1.2 Настоящий стандарт применим там, где программа качества должна быть использована для определенной продукции, проекта или контракта. Программа качества может быть применима к любой продукции из числа общих категорий продукции (аппаратное оборудование, программное обеспечение, переработанные материалы и услуги) или к любой продукции промышленного/экономического секторов.
Программа качества может применяться для контроля и оценки точного соблюдения требований к качеству, однако эти руководящие указания не предназначены для использования в качестве контрольного перечня при проверке соответствия требованиям. Программу качества можно также использовать там, где отсутствует документированная система качества. В этом случае в поддержку программе качества может понадобиться разработка процедур.
Примечание 1. В Приложении В представлен библиографический список международных стандартов, содержащих информацию, которая может оказаться полезной для тех, кто занимается подготовкой и анализом программ качества.
2 Нормативные ссылки
Указанный ниже стандарт содержит положения, которые посредством ссылок в этом тексте составляют положения настоящего стандарта. На время публикации указанное издание было действующим. Поскольку все стандарты подлежат пересмотру, то сторонам соглашений, базирующихся на настоящем международном стандарте, рекомендуется изучить возможности применения самого последнего издания указанного ниже стандарта. Комитеты-члены МЭК и ИСО ведут перечни действующих международных стандартов.
ИСО 8402:1994 Управление качеством и обеспечение качества — Словарь.
3 Определения
Применительно к настоящему стандарту используются определения, приведенные в стандарте ИСО 8402, а также определения, приведенные ниже. Термины, которые повторены здесь для ясности, а определены в других международных стандартах, идентифицируются путем указания номера стандарта после определяемого термина.
3.1 Контракт: согласованные между поставщиком и потребителем требования, переданные с помощью любых средств.
(ИСО 9001)
3.2 Создание проекта (project) — уникальный процесс, состоящий из комплекса скоординированных и управляемых действий с указанием даты их начала и окончания, предпринимаемых для достижения цели, соответствующей конкретным требованиям, включая ограничения на время, стоимость и ресурсы.
Примечания.
2 Отдельный проект может быть частью более крупного по структуре проекта.
3 Некоторые типы проектов требуют уточнений целей и определения характеристик по мере развития.
4 Результатом завершения проекта может быть одна единица продукции или более.
3.3 Типовое испытание: испытание или серия испытаний, направленные на утверждение проекта (design) и проводимые для определения его способности выполнить требования технических условий на продукцию.
3.4 Испытание в присутствии потребителя: испытание продукции, проводимое при представителе заказчика или третьей стороны.
3.5 Процедура (методика)*: установленный способ осуществления какой-либо деятельности.
* В настоящем стандарте используется более широкое понятие «процедура», чем понятие «методика», приведенное в русской версии ИСО 8402:94 — Прим. переводчика.
Примечания.
5 Во многих случаях процедуры документируются (например, процедуры системы качества).
6 Когда процедура документируются, часто употребляется термин «письменная процедура» или «документированная процедура».
7 Письменная или документированная процедура обычно содержит цель и область применения деятельности; что, кем должно быть сделано, когда, где и как это должно быть сделано; какие материалы, оборудование и документы должны использоваться; как этим следует управлять и как это фиксировать.
(ИСО 8402)
3.6 Продукция: результат деятельности или процессов.
Примечания.
8 Продукция может включать услуги, оборудование, перерабатываемые материалы, программное обеспечение или комбинацию из них.
9 Продукция может быть материальной (например, узлы или перерабатываемые материалы) или нематериальной (например, информация или понятия), или комбинация из них.
10 Продукция может быть или преднамеренной (например, предложение заказчикам) или непреднамеренной (например, загрязнитель или нежелательные воздействия).
(ИСО 8402)
3.7 Программа качества: документ, регламентирующий конкретные меры в области качества, ресурсы и последовательность деятельности, относящейся к определенной продукции, проекту или контракту.
Примечания.
11 Программа качества обычно содержит ссылки на части руководства по качеству, применяемые к отдельным случаям.
12 В зависимости от области применения программы в названии может быть использовано уточняющее определение, например, «программа обеспечения качества», «программа административного управления качеством».
(ИСО 8402)
3.8 Система качества: совокупность организационной структуры, процедур, процессов и ресурсов, необходимых для осуществления административного управления качеством.
Примечания.
13 Масштабы системы качества должны соответствовать целям в области качества.
14 Система качества организации предназначена прежде всего для удовлетворения внутренних потребностей управления организацией. Она шире, чем требования определенного потребителя, который оценивает только ту часть системы качества, которая относится к этим требованиям.
15 В связи с требованиями контракта или обязательными предписаниями по проведению оценки качества может быть затребовано наглядное доказательство применения определенных элементов системы качества.
(ИСО 8402)
4 Подготовка, анализ, принятие и пересмотр программы качества 4.1 Подготовка
При подготовке программы качества деятельность по обеспечению качества, осуществляемую применительно к конкретной ситуации, следует определить и документировать.
В руководстве поставщика по качеству и в документированных процедурах может содержаться много необходимой общей документации. Возможно эту документацию понадобиться отобрать, приспособить и (или) дополнить. Программа качества показывает, как общие документированные процедуры поставщика привязаны и применимы к каким-либо необходимым дополнительным процедурам, относящимся к определенной продукции, проекту или контракту, для достижения поставленных целей в области качества.
В программе качества следует указать непосредственно или с помощью ссылок на соответствующие документированные процедуры или другие документы, каким образом должна осуществляться необходимая деятельность.
Форма представления и степень подробностей в программе должны быть совместимы с любым согласованным требованием потребителя, методом работы поставщика и сложностью осуществляемой деятельности. Программа должна быть по возможности краткой, не противоречащей положениям настоящего стандарта. (Упрощенные примеры альтернативных представлений программ качества содержатся в приложении А).
Программа качества может представлять собой отдельный документ, если поставщик не имеет документированной системы качества. Она может быть также частью другого документа или документов (например, программы создания продукции или программы создания проекта (project)) в зависимости от таких факторов, как требования потребителя или деловая практика конкретного поставщика. Может оказаться необходимой разработка программы качества, состоящей из нескольких частей, каждая из которых представляет собой программу для отдельной стадии, например, проектирования, закупок, производства или контроля и испытаний, либо для конкретной деятельности, например, разработки программы обеспечения общей надежности.
Примечание 16. При разработке проекта текстовой части программы качества могут быть условно приняты следующие формы глаголов:
«shall» — для выражения положения, обязательного между двумя или более сторонами;
«will» — для выражения намерения или цели одной стороны;
«should» — для выражения рекомендаций одной из нескольких возможностей;
«may» — для указания образа действий, допустимого в рамках программы качества.
4.2 Анализ и принятие
Уполномоченная группа, в которую входят представители всех заинтересованных служб организации поставщика, должна проанализировать программу качества на предмет ее адекватности и официально утвердить ее.
В контрактных ситуациях программа качества может быть представлена потребителю поставщиком для анализа и принятия либо до заключения контракта как часть процесса торгов, либо после заключения контракта.
Если программа представлена как часть процесса торгов и после этого заключен контракт, программу следует проанализировать и, если необходимо, пересмотреть, чтобы отразить все изменения в требованиях, которые могли произойти в результате предконтрактных переговоров.
Если программа качества оговорена контрактом, ее следует, как правило, представлять до начала необходимых действий. Если контракт выполняется по стадиям, поставщик должен представлять потребителю программу качества по каждой стадии до ее начала.
Процедуры, на которые в программе имеются ссылки, должны быть доступны для потребителя, если это оговорено в контракте.
4.3 Пересмотр
Поставщик должен пересмотреть программу, если это необходимо, чтобы отразить изменения, внесенные в продукцию, проект или контракт, изменения в способе производства продукции или предоставления услуги либо изменения в практике обеспечения качества.
Изменения в программе качества должны быть проанализированы на предмет их воздействия и адекватности той же самой уполномоченной группой, которая проводила анализ первоначальной программы.
Согласно конкретным требованиям контракта предлагаемые изменения программы должны быть представлены потребителю для анализа и принятия до их внесения.
5 Содержание программы качества
а) Структура
Содержание программы качества должно быть основано на настоящем стандарте и документированной системе качества поставщика. Необязательно, чтобы программа качества следовала структуре и нумерации какого-либо стандарта ИСО серии 9000, а расстановка параграфов в настоящем стандарте сохранена только для облегчения использования и понимания.
К элементам, описанным в последующих подпунктах, надо обращаться в том случае, когда они релевантны требованиям, касающимся продукции, проекта или контракта.
b) Область применения программы качества
Необходимо определить область применения программы качества, которая должна включать (но не ограничиваться этим):
— продукцию или проект, к которым должна относиться программа;
— область применения контракта, к которому должна относиться программа;
— цели в области качества продукции, проекта или контракта (эти цели следует выражать в измеряемых терминах везде, где это возможно);
— конкретные исключения;
— условия действенности программы.
5.1 Ответственность руководства
В программе качества следует идентифицировать отдельные лица в организации поставщика, которые несут ответственность за то, чтобы:
а) обеспечить планирование, выполнение, управление действиями, необходимыми согласно системе качества или контракта, а также контроль за их развитием;
b) довести до сведения всех заинтересованных ведомств, субподрядчиков и заказчиков требования, относящиеся к конкретной продукции, проекту (project) или контракту, и решить вопросы, возникающие при взаимодействии этих групп;
с) проанализировать результаты каждой проведенной проверки;
d) разрешить подать заявку об изъятии элементов системы качества;
e) управлять корректирующими действиями (см. 5.14.).
5.2 Программа качества и система качества
Большинство необходимой документации программы качества должно быть, как правило, частью документации системы качества. В программе качества необходимо дать только ссылку на эту документацию показать, как ее надо применить к конкретной ситуации. Если какой-нибудь элемент такой документации отсутствует, но является необходимым, в программе качества следует его указать, а также отметить, когда, как и кем должен быть подготовлен и одобрен.
5.3 Анализ контракта
В программе следует указать когда, как и кем должны быть проанализированы требования, установленные для продукции, проекта или контракта.
В ней также следует указать, как должны быть зафиксированы результаты этого анализа и каким образом должны быть разрешены противоречия и двусмысленности в требованиях.
5.4 Управление проектированием
В программе следует указать:
а) когда, как и кем должен осуществляться, управляться и документироваться процесс проектирования;
b) мероприятия по анализу, проверке и утверждению соответствия проектных выходных данных требованиям к проектным входным данным;
с) там, где это уместно, степень участия потребителя в проектировании, например, в анализе и проверке проекта.
В программе должны быть приведены ссылки на применяемые правила, стандарты, технические условия и регламентные требования, если необходимо.
5.5 Управление документацией и данными
В программе следует указать:
а) документы и данные, применительно к продукции, проекту или контракту;
b) каким образом такие документы и данные должны идентифицироваться;
с) как и от кого можно получить эти документы и данные;
d) как и кем эти документы и данные анализируются и одобряются.
5.6 Закупки
В программе следует указать:
а) любую имеющую важное значение продукцию, которую необходимо закупить, у кого ее закупить, а также соответствующие требования к обеспечению качества;
b) методы, используемые для оценки, выбора и контроля субподрядчиков;
с) требования к программам качества субподрядчиков и ссылки на них, если необходимо;
d) методы, используемые для выполнения регламентных требований, относящихся к закупленной продукции.
5.7 Управление продукцией, поставляемой потребителем
В программе следует указать:
а) как продукция, поставляемая потребителем (такая, как материалы, инструментальная оснастка, испытательное оборудование, программное обеспечение, данные или услуги), идентифицируется и управляется;
b) методы, используемые для проверки соответствия продукции, поставленной потребителем, установленным требованиям;
с) методы, используемые для утилизации несоответствующей продукции.
5.8 Идентификация и прослеживаемость продукции
Если прослеживаемость является требованием, а в программе следует определить ее границы и глубину, включая метод идентификации прослеживаемой продукции. Методы идентификации следует предусмотреть и для того случая, когда прослеживаемость не является требованием.
В программе следует указать:
а) каким образом контрактные и регламентные требования к прослеживаемости идентифицируются и вносятся в рабочие документы;
b) какие записи, касающиеся требований к прослеживаемости, следует делать и как ими управлять и их распределять.
5.9 Управление процессами
В программе следует указать, как управлять процессами производства, монтажа и обслуживания, чтобы обеспечить выполнение установленных требований.
Если необходимо, в программу следует включить или давать ссылку (но не ограничиваться этим) на следующее:
а) соответствующие документированные процедуры;
b) стадии процесса;
с) методы, используемые для контроля и управления процессами и характеристиками продукции;
d) критерии приемки качества исполнения работ;
e) использование квалифицированных процессов, связанного с ними оборудования и персонала;
f) инструменты, средства и методы, используемые для выполнения установленных требований.
Там, где монтаж является требованием, в программе следует указать, как необходимо монтировать продукцию и какие характеристики должны проверяться во время монтажа.
5.10 Контроль и испытания
В программе следует указать:
а) любую соответствующую программу контроля и испытаний (все нижеприведенные пункты могут быть частью программы контроля испытаний);
b) каким образом поставщик будет проверять соответствие продукции субподрядчика установленным требованиям;
с) где в ходе выполнения процесса располагается каждая точка контроля и испытаний;
d) какие характеристики должны быть проконтролированы и испытаны в каждой точке, какие процедуры и критерии приемки использованы, а также какие квалификационные оценки всех специальных инструментов, методов или персонала необходим;
e) где потребитель установил точки контроля или проверки в своем присутствии выбранных характеристик продукции или процессов ее производства и монтажа;
f) где контроль и испытания должны проводиться в присутствии регламентирующих органов власти или самими этими органами;
g) где, когда и как поставщик намерен или обязан по требованию потребителя или регламентирующих органов власти приглашать третьи стороны, чтобы провести:
1) типовые испытания;
2) испытания в присутствии потребителя (включая приемку на месте работ);
3) проверку продукции;
4) утверждение продукции;
5) сертификацию материала, продукции, процессов или персонала.
5.11 Управление контрольным, измерительным и испытательным оборудованием
В программе следует указать применяемую систему управления контрольным, измерительным и испытательным оборудованием, специально предназначенным для определенной продукции, проекта или контракта, включая:
а) идентификацию такого оборудования;
b) метод калибрования;
с) метод указания и регистрации статуса калибрования;
d) какие записи об использовании такого оборудования должны вестись так, чтобы действительность предыдущих результатов можно было определить, если это оборудование будет признано неоткалиброванным.
5.12 Статус контроля и испытаний
В программе следует указать все специальные требования и методы для идентификации статуса контроля и испытаний продукции, документов и данных.
5.13 Управление несоответствующей продукцией
В программе следует указать способ идентификации несоответствующей продукции и управления ею, с тем чтобы предотвратить неправильное ее использование до тех пор, пока она не будет соответствующим образом утилизирована.
Возможно потребуется определить в программе качества специальные ограничения, например, степень или тип допустимой переделки.
В программе следует оговорить, как и каких случаях подрядчик может подать заявку на разрешение на отклонение для продукции, не отвечающей установленным требованиям. При этом в программе следует указать:
а) кто будет нести ответственность за заявку на это разрешение;
b) как оформить такую заявку;
с) какую информацию и в какой форме следует представить;
d) кто несет ответственность и имеет полномочия утвердить такое разрешение или отказать в нем.
5.14 Корректирующие и предупреждающие действия
В программе качества следует указать корректирующие и предупреждающие действия, а также действия по контролю за исполнением, которые характерны для продукции, проекта или контракта, с тем чтобы избежать появления или повторения несоответствий. Лица, ответственные за инициирование и утверждение корректирующих и предупреждающих действий, должны быть идентифицированы.
5.15 Погрузочно-разгрузочные работы, хранение, упаковка, консервация и поставка
В программе следует указать:
а) как следует выполнить конкретные требования к погрузочно-разгрузочным работам, хранению, упаковке и поставке;
b) как следует поставлять продукцию в указанное место, чтобы гарантировать предотвращение ухудшения требуемых характеристик.
5.16 Управление регистрацией данных о качестве
В программе следует указать способ управления регистрацией данных о качестве, характерных для продукции, проекта, или контракта, включая сведения о том:
а) как зарегистрированные данные должны сохраняться, как долго, где и кем;
b) каковы законные или регламентные требования и как их следует выполнять;
с) на каком носителе должны быть эти зарегистрированные данные (бумажном или электронном);
d) каким образом требования к четкости, хранению, возможности поиска, распределению и конфиденциальности данных должны быть определены и выполнены;
e) какие методы должны быть использованы, чтобы обеспечить доступность данных в случае необходимости;
f) какие зарегистрированные данные, когда и каким образом должны быть предоставлены потребителю;
g) на каком языке эти данные должны быть предоставлены.
5.17 Проверка качества
В программе следует указать характер и границы выполняемых проверок качества, а также отметить, каким образом надо использовать полученные результаты, чтобы исправить и предотвратить повторение несоответствий, влияющих на продукцию, проект или контракт. Такие проверки могут включать в себя:
а) внутренние проверки проводимые поставщиком;
b) проверки поставщика, проводимые потребителем;
с) проверки субподрядчиков, проводимые поставщиком/потребителем;
d) проверки поставщика и субподрядчиков, проводимые третьей стороной или регламентирующим органом власти, включая те проверки, которые выполнялись в целях сертификации/регистрации системы качества.
5.18 Подготовка кадров
В программе следует отметить любую специальную подготовку, необходимую персоналу, который выполняет какой-либо процесс, являющийся объектом программы, а также указать, как проводить эту подготовку и как ее регистрировать.
Сюда необходимо включить:
а) подготовку нового персонала;
b) oбучение работающего персонала новым или пересмотренным методам работы.
5.19 Обслуживание
Если обслуживание является установленным требованием, в программе следует указать, каким образом поставщик намерен обеспечить соответствие требованиям, предъявленным к обслуживанию, таким, как:
а) регламентные и законные требования;
b) правила и установившаяся практика, применяемые в промышленности;
с) договора об обслуживании;
d) подготовка персонала потребителя;
e) готовность предоставить первоначальное и последующее техническое обеспечение в течение оговоренного периода времени.
5.20 Статистические методы
Если требуются конкретные статистические методы, их следует указать в программе.
Приложение А
(информативное)
Упрощенные примеры форм для представления программ качества
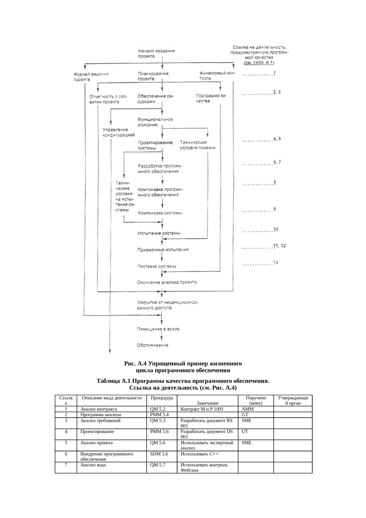
В настоящем приложении приведены примеры некоторых форм, в которых могут быть представлены программы качества. (См. Рис. А.1 — А.4 и Табл. А.1.)
Приведенные примеры показывают, что они не должны рассматриваться как полностью отражающие содержание программы качества, определенное в п. 5 настоящего стандарта. Реальные программы могут быть более сложными. Обычно предполагается, что все элементы будут охвачены, за исключением некоторых обстоятельств, когда они не относятся к рассматриваемому случаю.
Программы качества могут быть представлены в любой форме, считающейся пригодной для выполнения согласованных требований. Несмотря на то, что примеры приведены в виде блок-схемы, могут быть использованы другие формы, более подходящие для конкретной ситуации. В некоторых обстоятельствах более приемлемой может являться текстовая форма, нежели схематическая. Подобным образом, схематическая форма может быть дополнена текстом.
Таблица А.1 Программа качества программного обеспечения. Ссылка на деятельность (см. Рис. А.4)
|
Ссылка |
Описание вида деятельности |
Процедура |
Замечания |
Поручено (кому) |
Утверждающий орган |
|
1 |
Анализ контракта |
QM 5.2 |
Контракт М и Р 1091 |
AMM |
|
|
2 |
Программа анализа |
РММ 5.4 |
GT |
||
|
3 |
Анализ требований |
QM 5.3 |
Разработать документ RS 001 |
SME |
|
|
4 |
Проектирование |
РММ 5.6 |
Разработать документ DS 001 |
UT |
|
|
5 |
Анализ проекта |
QM 5.6 |
Использовать экспертный анализ |
SME |
|
|
6 |
Внедрение программного обеспечения |
SDM 5.6 |
Использовать С++ |
||
|
7 |
Анализ кода |
QM 5.7 |
Использовать контроль Фейгана |
||
|
8 |
Тестирование элементов |
SDM 5.7 |
|||
|
9 |
Компоновка системы |
SDM 5.7 |
|||
|
10 |
Тестирование системы |
QM 5.7 |
Использовать данные потребителя |
||
|
11 |
Выявление несоответствий |
QM 5.7 |
|||
|
12 |
Приемочные испытания, проводимые пользователем |
QM 5.8 |
Только в присутствии клиента |
||
|
13 |
Техническая передача |
РММ 5.6 |
Примечание. Программа качества услуг должна также содержать письменные описания процедур и/или ссылки на них или другие документы, касающиеся деятельности, не показанной на блок схеме, например: управление документацией; прослеживаемость продукции; привлечение третьей стороны; несоответствие; проверки качества; зарегистрированные данные о качестве; ответственность руководства.
Рис. А.1 Пример формы для программы качества услуг
Рис. А.2 Пример формы для программы качества изготовленной продукции
Условные обозначения на рис. А.2:
1 — полученный РFР; 2 — конкурс на размещение заказа; 3 — подготовленное предложение; 4 — выданный заказ; 5 — полученный заказ; 6 — подготовленные/контролируемые документы; 7 — проектные выходные данные; 8 — управление плановым производством; 9 — поставленная продукция; 10 — закупка материалов; 11 — проверка качества; 12 — произвести; 13 — провести испытания/сертификацию в присутствии потребителя; 14 — проконтролировать и испытать; 15 — проанализировать зарегистрированные данные о контроле и испытаниях; 16 — хранение, упаковка, поставка; 17 — смонтировать оборудование; 18 — проанализировать зарегистрированные данные о монтаже; 19 — в присутствии; 20 — испытать; 21 — обслужить оборудование; 22 — проанализировать зарегистрированные данные об обслуживании.
Рис. А.3 Пример формы для программы качества для перерабатываемого материала
Рис. А.4 Упрощенный пример жизненного цикла программного обеспечения
Приложение В
(информативное)
БИБЛИОГРАФИЯ
1 ИСО 9000-1-94 Стандарты в области административного управления качеством и обеспечения качества. Часть 1. Руководящие указания по выбору и применению.
2 ИСО 9000-2-93 Стандарты в области административного управления качеством и обеспечения качества. Часть 2. Руководящие указания по применению стандартов ИСО 9001, ИСО 9002 и ИСО 9003.
3 ИСО 9000-3-91 Стандарты в области административного управления качеством и обеспечения качества. Часть 3. Руководящие указания по применению стандарта ИСО 9001 при разработке, поставке и обслуживании программного обеспечения.
4 ИСО 9000-4-93 Стандарты в области административного управления качеством и обеспечения качества. Часть 4. Руководство по управлению программой обеспечения общей надежности.
5 ИСО 9001-94 Системы качества. Модель для обеспечения качества при проектировании, разработке, производстве, монтаже и обслуживании.
6 ИСО 9002-94 Системы качества. Модель для обеспечения качества при производстве, монтаже и обслуживании.
7 ИСО 9003-94 Системы качества. Модель для обеспечения качества при окончательном контроле и испытаниях.
8 ИСО 9004-1-94 Административное управление качеством и элементы системы качества. Часть 1. Руководящие указания.
9 ИСО 9004-2-91 Административное управление качеством и элементы системы качества. Часть 2. Руководящие указания по услугам.
10 ИСО 9004-3-93 Административное управление качеством и элементы системы качества. Часть 3. Руководящие указания по обрабатываемым материалам.
11 ИСО 10007-95 Административное управление качеством. Руководящие указания по управлению конфигурацией.
12 ИСО 10011-1-90 Руководящие указания по проверке систем качества. Часть 1. Проверка.
13 ИСО 10011-2-91 Руководящие указания по проверке систем качества. Часть 2. Квалификационные критерии для экспертов-аудиторов систем качества.
14 ИСО 10011-3-91 Руководящие указания по проверке систем качества. Часть 3. Управление программами проверок.
15 ИСО 10012-1-92 Требования по обеспечению качества измерительного оборудования. Часть 1. Система метрологического подтверждения оборудования.
16 ИСО 10013-95 Руководящие указания по разработке руководств по качеству.
17 МЭК 300-2-1 Управление обеспечением общей надежности. Часть 2. Элементы и задачи программы надежности.
1 На стадии публикации.
СОДЕРЖАНИЕ
|
1 Область применения. 2 2 Нормативные ссылки. 2 3 Определения. 3 4 Подготовка, анализ, принятие и пересмотр программы качества. 4 4.1 Подготовка. 4 4.2 Анализ и принятие. 5 4.3 Пересмотр. 5 5 Содержание программы качества. 5 5.1 Ответственность руководства. 5 5.2 Программа качества и система качества. 6 5.3 Анализ контракта. 6 5.4 Управление проектированием.. 6 5.5 Управление документацией и данными. 6 5.6 Закупки. 6 5.7 Управление продукцией, поставляемой потребителем.. 7 5.8 Идентификация и прослеживаемость про |




