Кабели нагревательные на номинальное напряжение 300/500 В для обогрева помещений и предотвращения образования льда
На нашем сайте можно бесплатно скачать Руководящий документ ГОСТ Р МЭК 60800-2012 в удобном формате. Узнать актуальный статус документа «Кабели нагревательные на номинальное напряжение 300/500 В для обогрева помещений и предотвращения образования льда» на 2016 год.
Скрыть дополнительную информацию
Выберите формат отображения документа:

Страница 1

Страница 2

Страница 3

Страница 4

Страница 5

Страница 6

Страница 7

Страница 8

Страница 9

Страница 10

Страница 11

Страница 12

Страница 13

Страница 14

Страница 15

Страница 16

Страница 17

Страница 18

Страница 19

Страница 20

Страница 21

Страница 22

Страница 23

Страница 24
|
ФЕДЕРАЛЬНОЕ АГЕНТСТВО ПО ТЕХНИЧЕСКОМУ РЕГУЛИРОВАНИЮ И МЕТРОЛОГИИ |
|
|
НАЦИОНАЛЬНЫЙ |
ГОСТРМЭК |
|
СТАНДАРТ |
60800- |
|
российской |
|
|
2012 |
|
|
ФЕДЕРАЦИИ |
|
КАБЕЛИ НАГРЕВАТЕЛЬНЫЕ НА НОМИНАЛЬНОЕ НАПРЯЖЕНИЕ 300/500 В ДЛЯ ОБОГРЕВА ПОМЕЩЕНИЙ И ПРЕДОТВРАЩЕНИЯ ОБРАЗОВАНИЯ ЛЬДА
IEC 60800:2009
Heating cables with a rated voltage of 300/500 V for comfort heating and prevention of ice formation
(IDT)
Издание официальное
Москва Стандарты нформ 2012
ГОСТ РМЭК 60800-2012
МЭК 60811-1-2:1985 Общие методы испытаний материалов изоляции и оболочек электрических и оптических кабелей. Часть 1-2. Методы общего применения. Методы теплового старения (IEC 60811-1-2:1985, Common test methods for insulating and sheathing materials of electric and optical cables — Part 1-2: Methods for general application -Thermal ageing methods)
МЭК 60811-1-3 Общие методы испытаний материалов изоляции и оболочек электрических и оптических кабелей. Часть 1-3. Методы общего применения. Методы определения плотности. Испытания на водопоглощен и е. Испытание на усадку (IEC 60811-1-3, Common test methods for insulating and sheathing materials of electric and optical cables — Part 1-3: General application — Methods for determining the density -Water absorption tests — Shrinkage test)
МЭК 60811-1-4 Общие методы испытаний материалов изоляции и оболочек электрических и оптических кабелей. Часть 1-4. Методы общего применения. Испытания при низкой температуре (IEC 60811-1-4, Common test methods for insulating and sheathing materials of electric and optical cables — Part 1-4: Methods for general application -Test at low temperature)
МЭК 60811-2-1 Общие методы испытаний материалов изоляции и оболочек электрических и оптических кабелей. Часть 2-1. Специальные методы испытаний эласгомерных композиций. Испытания на озо-ностойкость, тепловую деформацию и маслостойкость (IEC 60811-2-1, Common test methods for insulating and sheathing materials of electric and optical cables — Part 2-1: Methods specific to elastomeric compounds -Ozone resistance, hot set and mineral oil immersion tests)
МЭК 60811-3-1 Общие методы испытаний материалов изоляции и оболочек электрических и оптических кабелей. Часть 3-1. Специальные методы испытаний поливинилхлоридных компаундов. Испытание
под давлением при высокой температуре. Испытания на стойкость к 4
ГОСТ Р МЗК 60800-2012
растрескиванию (IEC 60811-3-1, Common test methods for insulating and sheathing materials of electric and optical cables — Part 3-1: Methods specific to PVC compounds — Pressure test at high temperature — Tests for resistance to cracking)
МЭК 62395-1: 2006 Резистивные системы сетевого обогрева для промышленного и коммерческого применения. Часть 1. Общие требования и требования к испытаниям (IEC 62395-1:2006, Electrical resistance trace heating systems for industrial and commercial applications -Part 1: General and testing requirements)
ИСО 4892-3: 2006 Пластмассы. Методы экспонирования под лабораторными источниками света. Часть 3. Люминесцентные лампы ультрафиолетового излучения (ISO 4892-3:2006, Plastics — Methods of exposure to laboratory ligh sources — Part 3: Fluorescent UV lamps)
3 Термины и определения
В настоящем стандарте применены термины по МЭК 60050-461, а также следующие термины с соответствующими определениями:
3.1 бронирование (armouring): Механическое упрочнение кабе-
Примечание — Упрочняющий элемент может быть в виде одного и более слоев стальных проволок или оплетки, или оболочки из металла или другого соответствующего материала.
3.2 холодный вывод (cold lead): Электрически изолированная жила или жилы, используемые для соединения нагревательного кабеля с электрической сетью и рассчитанные так, чтобы не было их значительного нагрева.
ГОСТ РМЭК 60800-2012
3.3 соединительная муфта (connection splice): Герметизированная муфта, соединяющая нагревательный кабель и холодный вывод.
3.4 заземляющий провод (earthing conductor): Неизолированная жила, находящаяся в надежном электрическом контакте с электрическим экраном практически по всей его длине.
3.5 электропроводящий экран (electrical conductive screen): Металлический экран, концентрический повив проволок, металлическая оболочка или другое покрытие с достаточной проводимостью, соединенное с землей, которое вьвывает срабатывание прерывателя цепи при обнаружении какой-либо неисправности при эксплуатации кабеля.
3.6 концевая муфта (end termination): Герметизированная концевая муфта, допускающая нагрев, присоединяемая к нагревательному кабелю к концу, противоположенному тому, к которому подается питающее напряжение.
3.7 кабельный комплект, собранный в заводских условиях (factory assembled unit or set): Нагревательный кабель с неотъемлемыми компонентами, собранный производителем.
3.8 кабельный комплект, собранный по месту прокладки (field assembled unit or set): Нагревательный кабель, поставляемый в больших длинах, на который неотъемлемые компоненты устанавливают по месту прокладки.
3.9 нагревательный кабель (heating cable): Кабель с электропроводящим экраном из металла или другого эквивалентного материала или без него, оболочкой или броней, предназначенный для выделен и я тепл а в нагревательных целях.
3.10 комплект нагревательного кабеля (heating cable set): Нагревательный кабель с соответствующим соединителем с источником питания и концевой муфтой.
6
ГОСТ Р МЗК 60800-2012
3.11 натре в аггел ьная жила (heating conductor): Часть нагревательного кабеля, в которой электрическая энергия преобразуется в тепловую энергию.
3.12 изоляция (insulation): Материал, изолирующий каждую жилу от остальных жил или токопроводящих частей с потенциалом земли.
3.13 неотъемлемые компоненты (integral components): Установленные в заводских условиях или по месту прокладки электрические концевые муфты и соединительные детали, такие как термоусаживаемые концевые муфты, формованные концевые уплотнения или муфты, которые соответствуют общей конфигурации нагревательного кабеля и подвержены влиянию тех же условий окружающей среды, что и нагревательный кабель.
3.14 линейная плотность мощности (linear power density): Выходная мощность в ваттах на погонный метр для нагревательного кабеля и комплектов нагревательных кабелей.
3.15 рабочая температура жилы (operating conductor temperature): Максимальная длительно допустимая температура жилы кабеля.
3.16 рабочая температура поверхности (operating surface temperature): Максимальная длительно допустимая температура поверхности кабеля.
3.17 рабочее напряжение (operating voltage): Действительное напряжение, приложенное к кабелю, находящемуся в эксплуатации.
3.18 расчетная температура (rated temperature): Температура, установленная для изолированного кабеля в оболочке, при которой рабочая температура поверхности изоляции или оболочки при эксплуатации не превышает установленных пределов.
3.19 номинальное напряжение (rated voltage): Максимальное длительно действующее напряжение между жилами в двужильном или многожильном кабеле, или между одной жилой и элекгропрово-
7
ГОСТ РМЭК 60800-2012
дящим экраном, или между двумя концами в одножильном кабеле, или землей в неэкранированных кабелях.
3.20 номинальное электрическое сопротивление отдельных
жил (rated resistance of individual conductor(s)): Электрическое сопротивление при температуре 20 °С на длине кабеля 1 м.
3.21 приемо-сдаточные испытания (routine test): Испытания, проводимые изготовителем на каждой изготовленной строительной длине кабеля с целью подтверждения того, что каждая строительная длина соответствует установленным требованиям.
3.22 испытания на образцах (sample test): Испытания, проводимые изготовителем с определенной периодичностью на образцах готового кабеля или компонентах, отобранных от готового кабеля, с целью проверки соответствия готового изделия установленным требованиям.
3.23 оболочка (sheath): Сплошная непрерывная трубка из металла или неметаллического материала, наложенная по изолированной жиле (жилам) и предназначенная для механической защиты кабеля и защиты от воздействия окружающей среды (коррозия, влага и т.Д.).
3.24 типовые испытания (type test): Испытания, проводимые перед поставкой на общей коммерческой основе определенного типа кабеля по настоящему стандарту для демонстрации соответствия экс-ппуатационных характеристик кабеля установленному назначению .
Примечание — После проведения этих испытаний нет необходимости в их повторном проведении, если не было изменений в применяемых материалах или конструкции кабеля, или в производственном процессе, которые могли привести к изменению эксплуатационных характеристик.
8
ГОСТ Р МЭК 60800-2012
4 Классификация по стойкости к механическим воздействиям
Кабели по настоящему стандарту разделены на два класса, которые обозначают их способность вьдерживать механические воздействия во время и после прокладки кабеля. Установлены следующие классы:
— механический класс М1: для кабелей, предназначенных для прокладки с низким риском механического повреждения;
— механический класс М2: для кабелей, предназначенных для прокладки с высоким риском механического повреждения.
Класс любого кабеля определяется его конструктивным исполнением, проверяемым стойкостью к воздействиям по 8.2.7, 8.2.8 и 8.2.14.
Примечание 1- Механический класс М1: для кабелей, предназначенных для использования в местах с низким риском механического повреждения, например, уложенных на ровных поверхностях, таких как плоские, гладкие полы из бетона или из дерева или по тепловой изоляции, встроенной в вибробрус без острых элементов и т.д.
Примечание 2 — Механический класс М2: для кабелей, предназначенных для использования в местах с высоким риском механического повреждения, таких как стальные арматурные сетки, непосредственная прокладка в почву, бетон с острыми элементами, крыша, водосточные желоба и т.д.
5 Требования к маркировке
Изделие должно иметь маркировку, выполненную печатным способом, тиснением или вдавливанием по оболочке, или маркировку на ярлыке, прикрепленному к изделию, или на элементе внутри кабеля.
9
ГОСТ РМЭК 60800-2012
Примечание1- Применять вдавливание по изоляции не рекомендуется.
Ярлык должен прочно крепиться к изделию и быть четко различимым для электромонтажника.
Примечание 2 — Ярлык предпочтительно следует крепить к той части изделия, которая четко видна при распаковке изделия, готового к прокладке.
Маркировка, как минимум, должна содержать:
— наименование или торговую марку изготовителя;
-указание типа;
— электрическое сопротивление кабеля при 20 °С в омах на метр для одно- и двухжильных последовательных резистивных кабелей; или для параллельного кабеля — выходную мощность в ваттах на метр при определенной температуре. Для последовательных резистивных кабелей с более чем двумя жилами должно быть указано электрическое сопротивление каждой жилы;
— механический класс;
— номинальное напряжение для параллельных нагревательных кабелей или максимальное рабочее напряжение для последовательных нагревательных кабелей;
— надпись «только для прокладки в бетоне», если требуется.
Расстояние между концом одного полного набора знаков и началом следующего не должно превышать:
— 550 мм, если маркировка нанесена на оболочку;
— 275 мм, если маркировка нанесена на элемент внутри кабеля.
Если изделия собраны в заводских условиях, то может быть
предоставлена следующая дополнительная информация.
Для последовательных резистивных изделий:
— номинальное напряжение;
— суммарная мощность;
ю
ГОСТ Р МЗК 60800-2012
— полное электрическое сопротивление.
Для параллельных резистивных изделий:
— выходная мощность в ваттах на метр при определенной температуре или
— суммарная мощность в ваттах.
Маркировка, нанесенная печатным способом, должна быть прочной. Соответствие этому требованию проверяют испьгтанием по
8.2.21.
Указанные требования являются минимальными, и изготовители могут добавить любую информацию, которая мсжет быть полезной.
Примечание 3- Рекомендуется обеспечить прослеживаемость изделий, например, указывая неделю/год изготовления.
Примечание 4- В национальных регламентирующих документах могут содержаться другие требования.
6 Требования к инструкциям по монтажу
Изготовитель предоставляет для нагревательных кабелей, комплектов нагревательных кабелей и компонентов подробные инструкции по монтажу. Инструкции должны четко определять изделие и места прокладки, и содержать следующую информацию:
a) предполагаемое использование, либо для общего назначения, либо для особо указанного назначения;
b) способы изолирования линейных проводников от источника питания;
c) предоставляемая защита от превышения максимально допустимого значения тока;
d) формулировку «Требуется защита с применением прерывателя цепи»;
11
ГОСТ РМЭК 60800-2012
e) для нагревательных кабелей механического класса М1, предназначенных для уменьшенных уровней механических воздействий, формулировку «Осторожно. Не использовать в местах, подверженным высоким механическим нагрузкам или ударному воздействию»;
f) соответствующую формулировку для указания того, что любая металлическая оболочка, оплетка, экран или аналогичное электропроводящее покрытие нагревательного кабеля должно быть соединено с клеммой заземления;
д) минимальную температуру при прокладке;
h) минимальный радиус изгиба;
i) формулировку: «Наличие нагревательного кабеля должно быть очевидным путем размещения предостерегающих знаков или отметок, таких как в блоке плавких предохранителей, в соответствующих местах, таких как вблизи фитингов присоединения к источнику питания и/или через небольшие интервалы вдоль цепи, и они должны быть внесены в любую электротехническую документацию, разрабатываемую после прокладки»;
j) формулировку «Нагревательный кабель должен прокладываться только в бетоне», если требуется.
Указанные требования являются минимальными, и изготовители могут добавить любую информацию, которая мсжет быть полезной.
Примечание-В национальных регламентирующих документах, или в их отсутствие — в [2] могут содержаться друше требования.
7 Общие требования к конструкции кабелей
7.1 Общие положения
Кабели должны быть спроектированы и сконструированы так, чтобы они обладали электрической, термической и механической
12
ГОСТ Р МЭК 60800-2012
стойкостью и чтобы их эксплуатация при нормальных условиях не представляла опасности для потребителя и окружающей среды.
Все неотъемлемые компоненты кабеля должны соответствовать требованиям настоящего стандарта. Все другие компоненты должны соответствовать требованиям соответствующих стандартов или технических условий на изделия.
Соответствие проверяют для всех требований методами испытаний, установленными в настоящем стандарте.
Все элементы нагревательного кабеля, имеющие при использовании контакт с питьевой водой, должны быть из материалов, соответствующих национальным или местным требованиям.
7.2 Жилы
Жилы должны состоять из одной или нескольких проволок из чистого металла или сплава металлов. Если жила выполнена из чистой меди с покрытием из другого металла, то это металлическое покрытие должно иметь рабочую температуру, соответствующую рабочей температуре жилы. Электрическое сопротивление жил при температуре (20±1) °С должно соответствовать данным изготовителя при допустимых отклонениях %.
Используемый материал нагревательной жилы не должен иметь отрицательный температурный коэффициент сопротивления. Соответствие этим требованиям проверяют испытанием по 8.2.1.
7.3 Изоляция
Изоляционные материалы, используемые в нагревательных кабелях, должны соответствовать условиям эксплуатации. Это прове-
ГОСТ РМЭК 60800-2012
Предисловие
Цели и принципы стандартизации в Российской Федерации установлены Федеральным законом от 27 декабря 2002 г. № 184-ФЗ «О техническом регулировании», а правила применения национальных стандартов Российской Федерации — ГОСТ Р 1.0-2004 «Стандартизация в Российской Федерации. Основные положения»
Сведения о стандарте
1 ПОДГОТОВЛЕН на основе аутентичного перевода на русский язык указанного в пункте 4 стандарта, который выполнен Открытым акционерным обществом «Всероссийский научно-исследовательский, проектно-конструкторский и технологический институт кабельной промышленности» (ОАО «ВНИИКП»)
2 ВНЕСЕН Техническим комитетом по стандартизации ТК 46 «Кабельные изделия»
3 УТВЕРЖДЕН И ВВЕДЕН В ДЕЙСТВИЕ Приказом Федерального агентства по техническому регулированию и метрологии от
4 Настоящий стандарт идентичен международному стандарту МЭК 60800:2009 «Кабели нагревательные на номинальное напряжение 300/500 В для обогрева помещений и предотвращения образования льда» (IEC 60800:2009 «Heating cables with a rated voltage of 300/500 V for comfort heating and prevention of ice formation»)
При применении настоящего стандарта рекомендуется использовать вместо ссылочных международных стандартов соответствую-
ГОСТ РМЭК 60800-2012
ряют по соответствию результатов испытаний требованиям, установленным в настоящем стандарте.
Минимальное среднее значение толщины изоляции, устанавливаемое изготовителем, проверяют по МЭК 60811-1-1 с учетом нижнего предельного отклонения, указанного в 8.3.4.
7.4 Электропроводящий экран
Нагревательные кабели, если это требуется, поставляются с равномерно наложенным электропроводящим металлическим экраном, или с электропроводящей металлической оболочкой, лентой или ламинированной лентой, или другим электропроводящим материалом. Металлический экран или электропроводящий материал не должны препятствовать функционированию защитного устройства.
Примечание 1- Для кабелей без электропроводящего экрана могут применяться дополнительные национальные требования.
Электрическое сопротивление электропроводящей оболочки или экрана, включая отдельный заземляющий проводник, который должен быть в контакте с оболочкой или экраном, должно быть не более электрического сопротивления жилы кабеля или не более электрического сопротивления обычной медной жилы сечением 0,5 мм2, указанного в МЭК 60228 для жил класса 1, в зависимости от того, какое значение меньше. Общее электрическое сопротивление любого заземляющего проводника, включая экран или оболочку, должно быть не более электрического сопротивления медной жилы сечением 0,5 мм2. Для того чтобы удовлетворить этим требованиям, можно ввести определенное дополнительное число медных проволок.
14
ГОСТ Р МЭК 60800-2012
Примечание 2-В некоторых странах национальные нормы устанавливают электрическое сопротивление менее электрического сопротивления мед-ны х жил се чени ем 0 5 м м2.
Соответствие этим требованиям проверяют по 8.2.1.
Если в качестве заземляющего проводника используется только электропроводящая оболочка или экран, то измеряемое электрическое сопротивление должно представлять собой общее электрическое сопротивление, включая заземляющие соединения, поставляемые с кабелем.
Электропроводящий экран должен иметь такую конструкцию, чтобы препятствовать свободному проникновению в изоляцию через него посторонних частиц диаметром более 1 мм. Соответствие этому требованию подтверждают испытанием по 8.2.5.
7.5 Броня
Упрочняющий слой (броня), если он имеется, может состоять из металлических проволок, неметаллических прутков, ленты или ламинированной ленты, быть в виде оболочки. Металлическая броня не должна накладываться непосредственно на металлическую оболочку, если она имеется, а должна отделяться от нее защитным слоем соответствующего изоляционного материала, который мсжет выдерживать механические, а также тепловые нагрузки, которые могут возникать при нормальной эксплуатации кабеля, и защищать металлическую оболочку от коррозии.
Электропроводящий упрочняющий слой должен иметь такую конструкцию, чтобы препятствовать свободному проникновению в изоляцию через него посторонних частиц диаметром более 1 мм. Соответствие этому требованию подтверждают испытанием по 8.2.5.
15
ГОСТ РМЭК 60800-2012
Если упрочняющий слой основан на электропроводящих материалах к нему предъявляют те же требования, что для электропроводящего экрана.
Примечание — Национальные нормы могут содержать другие требования.
7.6 Оболочка
Материалы для оболочки, используемые в нагревательных кабелях, должны соответствовать условиям эксплуатации. Это проверяется соответствием результатов испытаний требованиям, установленным в настоящем стандарте. Неметаллическая наружная оболочка должна обеспечивать защиту от механических повреждений и/или от коррозии взависимости от типа кабеля.
Минимальное среднее значение толщины оболочки, устанавливаемое изготовителем, проверяют по МЭК 60811-1-1 с учетом нижнего предельного отклонения, указанного в 8.3.5.
7.7 Влагостойкость
Нагревательные кабели должны соответствовать требованиям, указанным в 8.2.2.
Примечание — Данное требование аналогично классу IPX7 по [3].
16
ГОСТ Р МЭК 60800-2012
8 Испытания
8.1 Типовые испытания. Общие требования
Для нагревательных кабелей, поставляемых большими длинами, для испытаний используют образец длиной не менее 5 м, если не установи ено иное.
Для комплектов нагревательных кабелей, собранных в заводских условиях, включая холодный вывод, муфту и концевое уплотнение, испытанию подвергают готовый комплект нагревательного кабеля. Допускается испытывать образец кабеля длиной не менее 5 м. Различные элементы, такие как холодный вывод, соединительная муфта и концевая муфта могут быть собраны в виде макета на отрезке кабеля и испытываться отдельно.
Для комплектов нагревательных кабелей, предназначенных для сборки по месту прокладки, соединители и концевые муфты, указанные для использования изготовителем, должны устанавливаться в соответствии с инструкциями изготовителя, формируя вместе с нагревательным кабелем комплект нагревательного кабеля. Испытывают готовый комплект нагревательного кабеля. Допускается испытывать образец кабеля длиной не менее 5 м. Различные элементы, такие как холодный вывод, соединительная муфта и концевая муфта могут быть собраны в виде макета на отрезке кабеля длиной не менее 5 м и испытываться отдельно, если не установлено иное.
Все компоненты образца должны быть типичными примерами изделий, поставляемых на рынок или предназначенных для поставки на рынок.
Испытания проводят при комнатной температуре от 20 °С до 25 °С, если не установлено иное.
17
ГОСТ РМЭК 60800-2012
Испытательное напряжение должно быть напряжением переменного тока частотой от 49 Гц до 61 Гц с приблизительно синусоидальной формой волны, если не установлено иное.
Для параллельного резистивного кабеля выходная мощность в ваттах на метр должна проверяться испытанием по 8.2.3.
Для параллельного резистивного кабеля начальный ток должен проверяться испытанием по 8.2.4.
Для каждого испытания могут использоваться отдельные образцы, если не установлено иное. Образцы должны быть подготовлены в соответствии с рекомендациями изготовителя.
Если образец не соответствует установленным требованиям, испытывают два новых комплекта образцов. Если оба комплекта вьдер-жали испытание, то кабель считают соответствующим установленным требованиям.
8.2 Типовые испытания. Конкретные требования к испытаниям
8.2.1 Электрическое сопротивление нагревательных жил и экрана
Электрическое сопротивление жилы (жил) и экрана, если он имеется, измеряют на образцах длиной не менее 1 м. Проводят два измерения для отдельных проводников, первое при температуре окружающей среды и второе при температуре 100 °С. Результаты измерения при температуре окружающей среды пересчитывают на температуру (20±1) °С и определяют, соответствуют ли они значению электрического сопротивления, установленному изготовителем, как дляжил, так и для экрана.
18
ГОСТ Р МЗК 60800-2012
Значение электрического сопротивления, полученное при более высокой температуре, сравнивают со значением, полученным при температуре окружающей среды, с целью подтверждения того, что отдельные жилы не имеют отрицательного значения температурного коэффициента сопротивления.
8.2.2 Испытание на стойкость к циклическим изменениям температуры с погружением образцов в воду
8.2.2.1 Общие положения
Образец длиной не менее 5 м подвергают двум циклам старения общей продолжительностью 56 ч с погружением в чистую воду при температуре (20±5) °С на 8 ч, (80±5) °С на 16 ч, (20±5) °С на 8 ч, (80±5) °С на 16 ч и (20±5) °Сна 8 ч,то есть 8 ч + 16ч + 8ч+16ч+8ч.
Образец между каждым под цикл ом перемещают в емкости с заранее нагретой водой. Требуемую температуру воды в емкостях обеспечивают, например, размещая их в предварительно нагретых шкафах согласно МЭК 60811-1-2.
Комплекты нагревательных кабелей, включающие монтируемые в заводских условиях холодный вывод, муфту и концевое уплотнение, подвергают этому испытанию после их установки на соответствующий нагревательный кабель.
Муфты и концевые уплотнения, предназначенные для нагревательных кабелей, собираемых по месту прокладки, подвергают этому испытанию после их установки на соответствующий нагревательный кабель с холодными выводами.
Испытывают все типы нагревательных кабелей и комплектов нагревательных кабелей за исключением случаев, когда четко указа-
19
ГОСТ РМЭК 60800-2012
но, что не допускается их использование в условиях повышенной влажности.
Образец из устройства для испытания на старение с погружением в воду может быть перенесен в другое устройство для определения диэлектрической прочности с погружением в воду по 8.2.2.2 и для измерения электрического сопротивления изоляции по 8.2.2.3. Температура воды в обоих случаях должна быть (20±5) °С.
8.2.2.2 Определение диэлектрической прочности
Образец длиной не менее 5 м погружают в чистую воду, так чтобы открытые концы образца выступали из воды на расстояние, достаточное для предотвращения поверхностного перекрытия при воздействии установленного напряжения. Оболочку металлическую или из другого эквивалентного электропроводящего материала удаляют с концов образца для предотвращения пробоя в этих точках.
Кабели, не собранные в заводских условиях, и которые комплектуются специальными соединителями, испытывают с этими соединителями, погруженными в воду.
Для двух- и многсжильных последовательных резистивных кабелей, в которых жилы электрически изолированы друг от друга, напряжение прикладывают между жилами и между жилами, соединенными вместе, и оболочкой металлической или из эквивалентного электропроводящего материала, броней или экраном или водой, если кабель не имеет брони или экрана.
Для одножильных последовательных нагревательных кабелей с оболочкой металлической или из эквивалентного электропроводящего материала, броней или экраном напряжение прикладывают между жилой и оболочкой, броней или экраном.
20
ГОСТ Р МЗК 60800-2012
Если одножильные последовательные нагревательные кабели не имеют оболочки металлической или из эквивалентного электропроводящего материала, брони или экрана, кабель погружают в воду, чтобы концы выступали из воды для предотвращения поверхностного перекрытия на концах. Напряжение прикладывают между жилой и водой.
Для параллельных резистивных кабелей напряжение прикладывают между жилами, соединенными вместе, и металлической оболочкой, оплеткой, экраном или эквивалентным электропроводящим покрытием.
Диэлектрическую прочность изолированных нагревательных проводов определяют с погружением изолированного провода в чистую воду. Напряжение прикладывают между жил ой и водой.
Переменное напряжение 2000 В прикладывают в течение 5 мин. Испытательное напряжение постепенно увеличивают до заданного значения в течение 2 — 10 с.
Не должно быть пробоя.
8.2.2.3 Измерение электрического сопротивления изоляции
Электрическое сопротивление изоляции измеряют на образце (образцах), подготовленных в соответствии с 8.2.2.1, после определения диэлектрической прочности по 8.2.2.2.
Неэкранированные кабели, погруженные в воду, испытывают, предварительно удалив элементы, наложенные поверх изоляции.
Для одножильных последовательных резистивных кабелей электрическое сопротивление изоляции измеряют между жилой и оболочкой металлической или из эквивалентного электропроводящего материала или броней, или проводящим экраном.
21
ГОСТ РМЭК 60800-2012
Для многожильных последовательных резистивных кабелей, в которых жилы электрически изолированы друг от друга, электрическое сопротивление изоляции измеряют между жилами, соединенными вместе и оболочкой металлической или из эквивалентного проводящего материала, или броней, или электропроводящим экраном, а также между каждой жилой по очереди с остальными жилами, соединенными вместе.
Для параллельных кабелей электрическое сопротивление измеряют между жилами, соединенными вместе, и металлической оболочкой, оплеткой, экраном или эквивалентным электропроводящим покрытием.
Электрическое сопротивление изоляции измеряют при напряжении 1000 В постоянного тока через 1 мин после приложения напряжения, при положительной полярности воды. Измеренное значение должно быть не менее 50 МОм.
8.2.3 Проверка номинальной выходной мощности для параллельных нагревательных кабелей
Номинальную выходную мощность проверяют по методу, приведенному в [4].
8.2.4 Проверка начального тока для параллельных нагревательных кабелей
Измерение начального тока нагревательного кабеля проводят по
[4].
22
ГОСТ Р МЗК 60800-2012
8.2.5 Испытание электропроводящего экрана на проницае мость
Стальную испытательную булавку диаметром 1 мм вводят через электропроводящий экран в изоляцию прямого отрезка кабеля, а также кабеля, навитого на оправку диаметром равным пятикратному диаметру или размеру меньшей оси сечения кабеля.
Испытывают три образца.
Не должно быть возможным ввести испытательную булавку в изоляцию до соприкосновения с жил ой, находящейся под напряжением, без соприкосновения с экраном. Это фиксируется включением прерывателя цепи, который срабатывает при токе не более 30 мА. Испытание проводят при номинальном напряжении, а испытательную булавку не соединяют с землей, когда прерыватель цепи включен между фазой источника питания и образцом в соответствии с инструкцией изготовителя прерывателя цепи.
Примечание — При подаче напряжения к образцу должны использоваться электрически изолированные и заземленные инструменты.
8.2.6 Испытание на нераспространение горения
Нагревательные кабели, предназначенные для прокладки в бетоне, известковом растворе и других негорючих материалах, на нераспространение горения не испытывают. Это не распространяется на холодные выводы в комплектах нагревательных кабелей, т.е. холодные выводы не должны распространять горение.
Испытание на нераспространение горения проводят на нагревательных кабелях и холодных выводах на испытательном оборудовании по МЭК 60332-1-1 методом по МЭК 60332-1-2. Требование для обугленной части, распространяющейся вниз, не предъявляют, если концевое уплотнение находится в нижней части образца.
23
ГОСТ Р МЗК 60800-2012
щие им национальные стандарты Российской Федерации, сведения о которых приведены в дополнительном приложении ДА
5 Введен впервые
Информация об изменениях к настоящему стандарту публикуется в ежегодно издаваемом информационном указателе «Национальные стандарты», а текст изменений и поправок —в ежемесячно издаваемых информационных указателях «Национальные стандарты». В случае пересмотра (замены) или отмены настоящего стандарта соответствующее уведомление будет опубликовано в ежемесячно издаваемом информационном указателе «Национальные стандарты». Соответствующая информация, уведомление и тексты размещаются также в информационной системе общего пользования — на официальном сайте Федерального агентства по техническому регулированию и метрологии в сети Интернет
© Сгандартинформ, 2012 Настоящий стандарт не может быть полностью или частично воспроизведен, тиражирован и распространен в качестве официального издания без разрешения Федерального агентства по техническому регулированию и метрологии
ГОСТ РМЭК 60800-2012
Испытание проводят на нагревательном кабеле и на всех неотъемлемых компонентах комплекта нагревательного кабеля.
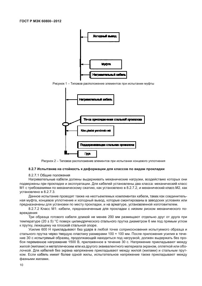
Если в состав изделия входят муфта и элементы концевого уплотнения, образцы подготавливают так, чтобы каждый элемент и кабели испытывались отдельно, и чтобы средняя часть муфты или концевого уплотнения образовывала часть образца, на которую воздействует испытательное пламя, при этом нагревательный кабель и/или холодный вывод образуют верхнюю часть образца (см. рисунки 1 и 2). При испытании концевого уплотнения образец допускается поддерживать при помощи стальной проволоки диаметром от 0,5 мм до 1,0 мм с грузом, необходимым для сохранения устойчивого положения образца.
|
Рисунок 1 — Типовое расположение элементов при испытании муфты |
24
