Карты идентификационные. Карты тонкие гибкие. Часть 2. Способы магнитной записи
Заменяет

Страница 1

Страница 2

Страница 3

Страница 4

Страница 5

Страница 6

Страница 7

Страница 8

Страница 9

Страница 10

Страница 11

Страница 12

Страница 13

Страница 14

Страница 15

Страница 16

Страница 17

Страница 18

Страница 19

Страница 20
ФЕДЕРАЛЬНОЕ АГЕНТСТВО ПО ТЕХНИЧЕСКОМУ РЕГУЛИРОВАНИЮ И МЕТРОЛОГИИ
национальный ГОСТ Р ИСО/МЭК стандарт 15457-2— российской 2010
ФЕДЕРАЦИИ
Карты идентификационные
КАРТЫ ТОНКИЕ ГИБКИЕ
Часть 2 Способы магнитной записи
ISO/IEC 15457-2:2007 Identification cards — Thin flexible cards — Part 2: Magnetic recording techniques (IDT)
Издание официальное
|
Москва Стандартинформ 2011 |
ГОСТ Р ИСО/МЭК 15457-2—2010
Предисловие
Цели и принципы стандартизации в Российской Федерации установлены Федеральным законом от 27 декабря 2002 г. № 184-ФЗ «О техническом регулировании», а правила применения национальных стандартов Российской Федерации — ГОСТ Р 1.0-2004 «Стандартизация в Российской Федерации. Основные положения»
Сведения о стандарте
1 ПОДГОТОВЛЕН Федеральным государственным унитарным предприятием «Всероссийский научно-исследовательский институт стандартизации и сертификации в машиностроении» (ВНИИНМАШ) и Техническим комитетом по стандартизации ТК 22 «Информационные технологии» на основе собственного аутентичного перевода на русский язык стандарта, указанного в пункте 4
2 ВНЕСЕН Техническим комитетом по стандартизации ТК 22 «Информационные технологии»
3 УТВЕРЖДЕН И ВВЕДЕН В ДЕЙСТВИЕ Приказом Федерального агентства по техническому регулированию и метрологии от 29 сентября 2010 г. No 280-ст
4 Настоящий стандарт идентичен международному стандарту ИСО/МЭК 15457-2:2007 «Карты идентификационные. Карты тонкие гибкие. Часть 2. Способы магнитной записи» (ISO/IEC15457-2:2007 «Identification cards — Thin flexible cards — Part 2: Magnetic recording techniques»).
При применении настоящего стандарта рекомендуется использовать вместо ссылочных международных стандартов соответствующие им национальные стандарты Российской Федерации, сведения о которых приведены в дополнительном приложении ДА
5 ВЗАМЕН ГОСТ Р ИСО/МЭК 15457-2—2006
6 Некоторые положения международного стандарта, указанного в пункте 4. могут являться объектами патентных прав. Международная организация по стандартизации (ИСО) и Международная электротехническая комиссия (МЭК) не несут ответственности за идентификацию подобных патентных прав
Информация об изменениях к настоящему стандарту публикуется в ежегодно издаваемом информационном указателе «Национальные стандарты», а текст изменений и поправок — в ежемесячно издаваемых информационных указателях «Национальные стандарты». В случае пересмотра (замены) или отмены настоящего стандарта соответствующее уведомление будет опубликовано в ежемесячно издаваемом информационном указателе «Национальные стандарты». Соответствующая информация, уведомление и тексты размещаются также в информационной системе общего пользования — на официальном сайте Федерального агентства по техническому регулированию и метрологии в сети Интернет
© Стандартинформ. 2011
Настоящий стандарт не может быть полностью или частично воспроизведен, тиражирован и распространен в качестве официального издания без разрешения Федерального агентства по техническому регулированию и метрологии
ГОСТ Р ИСО/МЭК 15457-2—2010
Содержание
1 Область применения……………………………………………1
2 Нормативные ссылки…………………………………………..1
3 Термины и определения…………………………………………2
4 Общие характеристики………………………………………….3
4.1 Введение……………………………………………….3
4.2 Требования для всех форматов…………………………………..3
4.3 Климатические условия……………………………………….4
5 Характеристики магнитной полосы……………………………………4
5.1 Поверхность……………………………………………..4
5.2 Сцепление………………………………………………5
5.3 Долговечность полосы………………………………………..5
5.4 Магнитные характеристики……………………………………..5
5.5 Резервирование зоны магнитной полосы……………………………..5
6 Запись данных на картах форматом TFC.0……………………………….6
6.1 Характеристики магнитных дорожек………………………………..6
6.2 Характеристики кодирования…………………………………….6
7 Запись данных на картах форматом TFC.1……………………………….7
7.1 Характеристики магнитных дорожек………………………………..7
7.2 требования к полосе для карт форматом TFC.1………………………….8
7.3 Характеристики кодирования…………………………………….9
8 Запись данных на картах форматом TFC.5……………………………….9
8.1 Характеристики магнитных дорожек………………………………..9
8.2 требования к полосе для карт форматом TFC.5………………………….9
8.3 Характеристики кодирования…………………………………….9
Приложение А (обязательное) Классы магнитных свойств………………………11
Приложение В (обязательное) Классы кодирования………………………….13
Приложение ДА (справочное) Сведения о соответствии ссылочных международных стандартов ссылочным национальным стандартам Российской Федерации…………….15
Библиография………………………………………………..16
ill
ГОСТ Р ИСО/МЭК 15457-2—2010 НАЦИОНАЛЬНЫЙ СТАНДАРТ РОССИЙСКОЙ ФЕДЕРАЦИИ
Карты идентификационные
КАРТЫ ТОНКИЕ ГИБКИЕ
Ч а с т ь 2 Способы магнитной записи
Identification cards. Thm flexible cards. Part 2. Magnetic recording techniques
Дата введения — 2011—07—01
1 Область применения
Настоящий стандарт распространяется на тонкие гибкие карты, используемые для автоматизации средств управления доступом к товарам или услугам, таким как поездки на общественном транспорте, проезд по платным автомобильным дорогам, пользование автостоянками, предварительно оплачиваемые услуги.
Для указанных случаев применения данные записывают и/или считывают с помощью устройств, использующих различные технологии: магнитную полосу, оптическое считывание (распознавание оптических символов), штриховое кодирование и т.д.
Настоящий стандарт определяет характеристики магнитной полосы и характеристики кодирования тонких гибких карт в двух точках их жизненного цикла:
1) при загрузке в оборудование, используемое для выпуска карт;
2) при выпуске в обращение.
Требования к хранению и использованию готовых карт (в том числе карт с магнитной полосой) в различных климатических условиях приведены в ИСО/МЭК 15457-1.
2 Нормативные ссылки
В настоящем стандарте использованы ссылки на следующие стандарты1):
ИСО 4287 Геометрические характеристики изделий (GPS). Структура поверхности. Профильный метод. Термины, определения и параметры структуры (ISO 4287, Geometrical Product specifications (GPS) — Surface texture: Profile method — Terms, definitions and surface texture parameters)
ИСО/МЭК 7811-2 Карты идентификационные. Способ записи. Часть 2. Магнитная полоса малой коэрцитивной силы (ISO/IEC 7811-2. Identification cards — Recording technique — Part 2: Magnetic stripe — Low coercivity)
ИСО/МЭК 7811-6 Карты идентификационные. Способ записи. Часть 6. Магнитная полоса большой коэрцитивной силы (ISO/1EC 7811-6, Identification cards — Recording technique — Part 6: Magnetic stripe — High coercivity)
ИСО/МЭК 15457-1 Карты идентификационные. Карты тонкие гибкие. Часть 1. Физические характеристики (ISO/IEC 15457-1, Identification cards — Thin flexible cards — Part 1: Physical characteristics)
ИСО/МЭК15457-3 Карты идентификационные. Карты тонкие гибкие. Часть 3. Методы испытаний (ISO/IEC 15457-3. Identification cards — Thin flexible cards — Part 3: Test methods)
‘ ‘Следует применять последние издания указанных стандартов, включая все последующие изменения.
Издание официальное
1
ГОСТ Р ИСО/МЭК 15457-2—2010
3 Термины и определения
В настоящем стандарте применены термины по ИСО/МЭК 15457-1, а также следующие термины с соответствующими определениями:
3.1 дорожка (track): Область поверхности магнитной полосы, занимаемая данными, закодированными путем использования единственного канала записи/считывания интерфейса магнитной записи.
3.2 центральная полоса {central stripe): Магнитная полоса, распопоженная по ширине в середине карты.
3.3 боковая полоса (lateral stripe): Любая магнитная полоса, расположенная по ширине, но не в середине карты.
3.4 возобновляемая карта (re-usablecard): Карта сбольшим ресурсом, способная восстанавливаться под воздействием магнитного поля (обычно в результате автоматической операции оборудования) и допускающая ее повторный выпуск в обращение.
3.5 неиспользованная некодированная карта (unused, unencoded card): Карта, включающая в себя все компоненты, обусловленные ее предполагаемым назначением, которую не лодвергапи какой-пибо персонализации ипи испытанию и хранили в стерильных условиях при температуре окружающей среды от 5 «С до 30 °С и относитепьной впажности воздуха от 10 % до 90 %, не подвергая воздействиям дневного света продолжительностью более 48 ч и теппового удара.
3.6 неиспользованная кодированная карта (unused encoded card): Карта, соответствующая определению, приведенному в 3.5. которую подверти топько кодированию данными, необходимыми для ее использования согласно назначению (например, магнитному кодированию, печати и т.д.)1 >.
3.7 возвращенная карта (returned card): Карта, соответствующая определению, приведенному в 3.6. поспе того как была выдана ее держателю и возвращена для проверки (например, возобновпяемая карта, возвращенная для возможного повторного выпуска)2).
3.8 Ra. Rz: Параметры шероховатости поверхности по ИСО 4287.
3.9 максимальное поле WMaiIC (maximum field): Максимапьное абсолютное значение напряженности внешнего магнитного попя, прилагаемого согласно методу испытания.
3.10 коэрцитивная сила НсМ = HcJ (coerdvity): Величина, количественно определяемая как напряженность непрерывно прилагаемого магнитного поля, которое уменьшает намагниченность до нуля от первоначапьной максимальной намагниченности, действуя в противопопожном к ней направлении. Рассматривают величину, измеряемую в направлении, параллельном продольной оси магнитной полосы.
3.11 продольный коэффициент прямоугольности SQ = М^М(Ниакс) (longitudinal squareness): Отношение значения намагниченности М, при нулевом магнитном поле Н = 0, сохраняющейся после припожения и удаления максимального поля Нмакс, к значению намагниченности Мпри максимальном приложенном попе Ныа<с, измеренном вдопь продольной оси магнитной полосы.
3.12 перемагничивающее поле по производной SF0 (switching field by derivative): Ширинадиф-ференцированной статической кривой намагничивания М(Н) на половине высоты, разделенная на значение коэрцитивной силы на той же кривой.
3.13 перемагничивающее поле по наклону SFs (switching field by slope): Разность между значениями напряженности магнитного поля в точках пересечения статической петли гистерезиса М(Н) с М(Н) = 0.5IW, и М{Н) = — 0.5Мг разделенная на коэрцитивную силу
(|Нг1-|Н,1УН’см.
где М(- |Н,|) = 0.5М,иМ(-|Н2|) = — 0,5iWf.
3.14 способ записи (recording technique): Технический прием, используемый для сохранения данных на карте (например, магнитное кодирование, оптическое кодирование).
3.15 номинальная информационная плотность записи Or (nominal bit density): Плотность кодирования, установленная для дорожки.
«Определения, приведенные в стандартах комплекса ИСО/МЭК 7811. относятся к тиснению и электронному кодированию, которые не рассматриваются в стандартах комплекса ИСО/МЭК 15457. Однако печать при выпуске, являющаяся альтернативой предварительной печати, часто сопутствует магнитному кодированию в областях применения тонких гибких карт.
21 В некоторых областях применения тонких гибких карт целью проверки возвращенных карт является установление их пригодности для повторного использования. Такую проверку обычно проводят автоматически с помощью оборудования, предназначенного для массовой сортировки/кодирования карт.
2
ГОСТ Р ИСО/МЭК 15457-2—2010
3.16 максимальный испытательный ток ^макс (maximum test current): Большее из двух значений тока записи, используемых для испытаний магнитных полос на тонких гибких картах.
3.17 максимальная испытательная плотность Омакс (maximum test density): Большее из двух значений плотности записи, используемых для испытаний магнитных полос на тонких гибких картах.
3.18 минимальный испытательный ток JM„H (minimum test current): Меньшее из двух значений тока записи, используемых для испытаний магнитных полос на тонких гибких картах.
3.19 минимальная испытательная плотность Оыин (minimum test density): Меньшее из двух значений плотности записи, используемых для испытаний магнитных полос на тонких гибких картах.
3.20 единичная амплитуда сигнала U, (individual signal amplitude): Пиковая амплитуда одного импульса сигнала эхосчитывания.
3.21 средняя амплитуда сигнала иА (average signal amplitude): Среднеарифметическое абсолютных значений единичных амплитуд, обнаруженных в сигнале эхосчитывания
где п — число единичных амплитуд сигнала.
3.22 модуляция т (modulation): Диапазон изменения сигнала эхосчитывания. определяемый как
_ Мма«с
т = •
2 и.
где U, — единичная амплитуда сигнала эхосчитывания и иА — средняя амплитуда сигнала эхосчитывания. зарегистрированные при DuaKC и Jyaic
4 Общие характеристики
4.1 Введение
В ИСО/МЭК15457-1 определены три формата карт: TFC.O. TFC.1 и TFC.5.
ИСО/МЭК15457-1 устанавливает общие физические характеристики карт, а также геометрические характеристики и требования к формам изготовления каждого формата карт.
В настоящем стандарте приведены характеристики магнитной полосы и дорожек для каждого формата карт. Общие характеристики установлены в настоящем разделе. Требования к магнитным характеристикам и характеристикам кодирования установлены в приложениях А—В.
Требования стандартов комплекса ИСО/МЭК 15457 распространяются на готовые карты или на рулоны/колоды готовых карт; в некоторых разделах данного комплекса, таких, например, которые устанавливают требования к долговечности, рассматриваются характеристики карт на протяжении всего срока их службы.
Допускается некоторые испытания проводить на картах, изготовление которых еще не завершено, если очевидно, что во время последующей обработки не произойдет существенного изменения проверяемого параметра.
4.2 Требования для всех форматов
4.2.1 Общие требования
На завершающей стадии изготовления тонкие гибкие карты могут быть подвергнуты различным способам обработки в соответствии с требованиями системы, для которой они предназначены. Настоящий стандарт распространяется на карты, оснащенные магнитной полосой, которая может быть подвергнута магнитному кодированию в соответствии с нижеприведенными требованиями.
Добавление магнитной полосы и ее кодирование не должны влиять на соответствие готовых карт требованиям других стандартов комплекса ИСО/МЭК 15457.
Магнитные полосы, независимо от формы изготовления карт (в виде отдельных карт, рулонов или колод), не должны иметь дефектов, мешающих использованию полос, таких как разрывы, посторонние частицы, налипшая грязь, складки, вмятины и выступы на поверхности полосы. Полосы не должны прилипать к соседним картам в рулоне или колоде либо оставлять на них отпечаток.
з
ГОСТ Р ИСО/МЭК 15457-2—2010
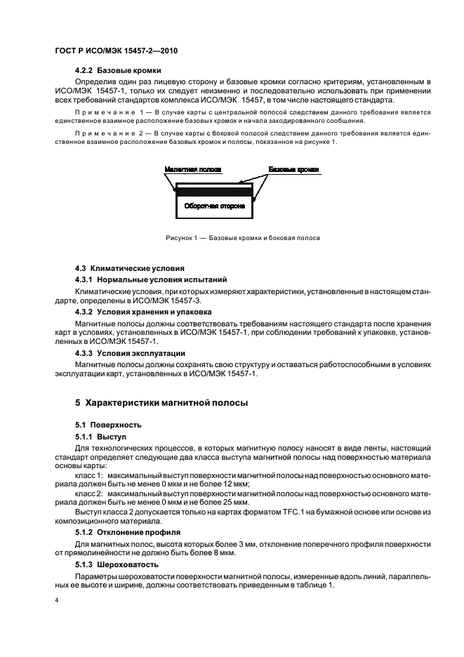
4.2.2 Базовые кромки
Определив один раз лицевую сторону и базовые кромки согласно критериям, установленным в ИСО/МЭК 15457-1, только их следует неизменно и последовательно использовать при применении всех требований стандартов комплекса ИСО/МЭК 15457, в том числе настоящего стандарта.
Примечание 1 — В случае карты с центральной полосой следствием данного требования является единственное взаимное расположение базовых кромок и начала закодированного сообщения.
|
Примечание 2 — В случае карты с боковой полосой следствием данного требования является единственное взаимное расположение базовых кромок и полосы, показанное на рисунке 1. |
|
Рисунок 1 — Базовые кромки и боковая попоса |
4.3 Климатические условия
4.3.1 Нормальные условия испытаний
Климатические условия, при которых измеряют характеристики, установленные в настоящем стандарте, определены в ИСО/МЭК 15457-3.
4.3.2 Условия хранения и упаковка
Магнитные полосы должны соответствовать требованиям настоящего стандарта после хранения карт в условиях, установленных в ИСО/МЭК 15457-1, при соблюдении требований к упаковке, установленных в ИСО/МЭК 15457-1.
4.3.3 Условия эксплуатации
Магнитные полосы должны сохранять свою структуру и оставаться работоспособными в условиях эксплуатации карт, установленных в ИСО/МЭК 15457-1.
5 Характеристики магнитной полосы
5.1 Поверхность
5.1.1 Выступ
Для технологических процессов, в которых магнитную полосу наносят в виде ленты, настоящий стандарт определяет следующие два класса выступа магнитной полосы над поверхностью материала основы карты:
класс 1: максимальный выступ поверхности магнитной полосы над поверхностью основного материала должен быть не менее 0 мкм и не более 12 мкм;
класс 2: максимальный выступ поверхности магнитной полосы над поверхностью основного материала должен быть не менее 0 мкм и не более 25 мкм.
Выступ класса 2 допускается только на картах форматом TFC.1 на бумажной основе или основе из композиционного материала.
5.1.2 Отклонение профиля
Для магнитных полос, высота которых более 3 мм, отклонение поперечного профиля поверхности от прямолинейности не должно быть более 8 мкм.
5.1.3 Шероховатость
Параметры шероховатости поверхности магнитной полосы, измеренные вдоль линий, параллельных ее высоте и ширине, должны соответствовать приведенным в таблице 1.
4
ГОСТ Р ИСО/МЭК 15457-2—2010
|
Таблица 1 — Шероховатость полосы В микрометрах |
|||||||||
|
5.1.4 Коробление в зоне полосы
Максимальная деформация материала, из которого изготовлена карта, после нанесения на нее магнитной полосы должна быть такой, чтобы после того как карту кладут оборотной стороной на плоскую поверхность и равномерно прикладывают силу 2,2 Н к ее лицевой стороне напротив магнитной полосы, максимальное кратчайшее расстояние от любой точки на магнитной полосе до плоской поверхности было не более 80 мкм.
5.1.5 Загиб карты в зоне полосы
Загиб каждой испытуемой карты не должен быть более 1 мм в положении, когда карта лежит лицевой стороной на плоской поверхности, а к участку карты между нижним краем магнитной полосы и нижней кромкой карты приложена сила 4,9 Н (см. рисунок 2).
1
га|=Мд
1 — нижний край магнитной полосы: 2 — испытуемая карта; 3 — загиб Рисунок 2 — Загиб карты в зоне полосы
5.2 Сцепление
Магнитная полоса должна оставаться прочно прикрепленной к материалу карты на протяжении всего срока службы карты. Удаление магнитной полосы должно быть невозможным без срыва части материала карты.
Сцепление материала магнитной полосы с поверхностью карты должно быть таким, чтобы независимо от средств, используемых для отделения полосы, она не могла быть удалена без повреждений.
Кроме того, следствием удаления любой части магнитной полосы должно быть визуально обнаруживаемое повреждение поверхности карты.
5.3 Долговечность полосы
5.3.1 Износ полосы
После испытания магнитной полосы на износ изношенный участок должен соответствовать требованиям к рабочим характеристикам, приведенным в А.1 для возвращенных карт.
5.3.2 Другие требования
Магнитная полоса должна быть устойчивой к воздействию света и других климатических факторов окружающей среды, соответствующих условиям нормального применения карт.
Если карты с магнитной полосой предназначены для использования в особых условиях, которые могут повлиять на ожидаемый ресурс магнитной полосы, это следует учитывать при выборе подходящих материалов и методов изготовления.
5.4 Магнитные характеристики
Магнитные характеристики сгруппированы в три класса, указанные в приложении А. Классы L и Н используют для тонких гибких карт любых форматов, класс S допускается использовать только в существующих областях применения карт, в которых используют формат TFC.0.
5.5 Резервирование зоны магнитной полосы
Зона магнитной полосы должна распространяться на всю ширину оборотной стороны карты.
ГОСТ Р ИСО/МЭК 15457-2—2010
Местоположение и размер магнитной полосы непосредственно определяются предполагаемыми для использования дорожками (требования к высоте и расположению дорожек установлены в следующих разделах).
Если не указаны иные требования для карты с установленным форматом и расположением дорожек. высота полосы должна охватывать область, включающую в себя все используемые дорожки и простирающуюся за их верхние и нижние границы по крайней мере на 0,8 мм, как показано на рисунке 3.
|
1±_ § |
|
|
Первая дорожка |
|
|
го О* |
|
|
Q |
Последняя дорожка |
|
» |
о > 0,а мм Ь > 0,4 мм |
|
Рисунок 3 — Минимальная зона полосы |
|
6 Запись данных на картах форматом TFC.0
6.1 Характеристики магнитных дорожек
6.1.1 Число дорожек
Карты форматом TFC.0 должны иметь одну центральную дорожку.
6.1.2 Расположение дорожки
Расположение полосы должно соответствовать указанному на рисунке 4. Дорожка должна занимать всю высоту полосы.
Примвчами в — Высота дорожки записи (то есть высота следа головки записи) больше высоты полосы, на которой осуществляется запись, поэтому высоту дорожки опредепяют по высоте полосы.
|
Баювьо кромки |
|
|||||||||
|
Для попостипа А: а — от 14,20 до 14.30 мм. Ь — от 15.80 до 15.90 мм. Для попостипа В:а — от 12.60 до 12,90мм.b — от 17.60до 17.90мм. |
|||||||||
Рисунок4 — Расположение дорожки для карт форматом TFC.0
6.2 Характеристики кодирования
6.2.1 Кодированные данные
Центральная дорожка предназначена для функций записи и считывания.
6
ГОСТ Р ИСО/МЭК 15457-2—2010
6.2.2 Способ кодирования и информационная плотность записи
Карты форматом TFC.0 кодируют при информационной плотности записи 1,35 или 3 битов/мм, используя способ кодирования F/2F или способ кодирования с расщеплением фазы {см. приложение В).
6.2.3 Зона кодирования
Участки попосы в пределах 1,5 мм от каждой кромки карты не включают в зону кодирования: их допускается заполнять нулями. Сообщение следует кодировать в границах остающейся зоны с началом у базовой кромки карты.
Зона кодирования должна позволять осуществлять запись:
— не менее восьми начальных и конечных нулевых битов для целей синхронизации:
— данных приложения.
7 Запись данных на картах форматом TFC.1
7.1 Характеристики магнитных дорожек
7.1.1 Число дорожек
Карты форматом TFC.1 должны иметь одну дорожку, имеющую центральное или боковое расположение. либо несколько (до четырех включительно) боковых дорожек.
7.1.2 Расположение одной центральной дорожки
Центральная дорожка должна быть расположена в соответствии с рисунком 5.
|
Варжиябкмю кромка |
||||||||||||||||||||||
|
||||||||||||||||||||||
|
В миллиметрах |
||||||||
|
Рисунок 5 — Расположение центральной дорожки для карт форматом TFC.1
7
ГОСТ Р ИСО/МЭК 15457-2—2010
7.1.3 Расположение нескольких дорожек
Боковые дорожки должны быть расположены в соответствии с рисунком 6.
|
Вщхтм Димм фр|д |
||||||
|
|
В миллиметрах |
||||||||||||||||||||
|
||||||||||||||||||||
|
Рисунок 6 — Расположение нескольких боковых дорожек для карт форматом TFC.1 |
7.1.4 Расположение одной боковой дорожки
Одна боковая дорожка должна быть расположена как любая из дорожек, указанных на рисунке 6.
7.2 Требования к полосе для карт форматом TFC.1
На зарезервированную зону полосы не должен влиять процесс печати или любой другой машинный процесс, осуществляемый после выпуска карты в обращение. При необходимости участок карты, занимаемый неиспользуемыми дорожками, может быть подвергнут процессу предварительной печати или печати при выпуске.
В соответствии с определением зоны полосы (см. 7.3). минимальной зоной полосы, допускающей размещение всех возможных дорожек на карте, является зона, показанная на рисунке 7.
Рисунок? — Резервирование зоны полосы на картах форматом TFC.1
|
Базами кссм>* |
|
Примечание — Увеличенная минимальная зона полосы, предусматривающая место для будущих дорожек (например, дорожки 0. размещаемой между верхней базовой кромкой и боковой дорожкой 1). распространяется от верхней кромки вниз до нижней границы центральной полосы. |
8
ГОСТ Р ИСО/МЭК 15457-2—2010
7.3 Характеристики кодирования
7.3.1 Кодированные данные
Центральная и все боковые дорожки предназначены для записи и считывания.
7.3.2 Способ кодирования и плотность кодирования
Дорожки на картах форматом TFC.1 кодируют при 3.6 или 8.3 битов/мм. используя способ кодирования F/2F(cm. приложение В). Допускается использовать разные плотности для разных дорожек одной и той же карты.
7.3.3 Зона кодирования
Участки полосы в пределах 2,9 мм от каждой кромки карты не включают в зону кодирования и их допускается заполнять нулями. Сообщение следует кодировать в границах остающейся зоны с началом у базовой кромки карты.
Зона кодирования должна позволять осуществлять запись:
— не менее 10 начальных и конечных нулевых битов для целей синхронизации;
— данных приложения.
Часть дорожки, предназначенную в качестве самой используемой битовой зоны, допускается разделять на независимые зоны кодирования, называемые блоками. Вэтом случае каждый из таких независимых блоков должен иметь собственные начальные и конечные нули.
Примечание — Кодирование независимых блоков может быть причиной появления ложных сигналов в процессе эхосчитывания в промежутке между бло!сами.
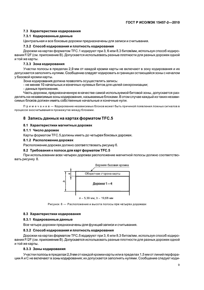
8 Запись данных на картах форматом TFC.5
8.1 Характеристики магнитных дорожек
8.1.1 Число дорожек
Карты форматом TFC.5 должны иметь до четырех боковых дорожек.
8.1.2 Расположение дорожек
Расположение дорожек должно соответствовать рисунку 6.
8.2 Требования к полосе для карт форматом TFC.5
При использовании всех четырех дорожек расположение магнитной полосы должно соответствовать рисунку 8.
|
Верхняя базэвая кромка |
||||||||||||
|
||||||||||||
|
я — 5,39 mw, !) — 19,6Й мм Рисунок 8 — Расположение и высота полосы при четырех дорожках |
||||||||||||
8.3 Характеристики кодирования
8.3.1 Кодированные данные
Все четыре дорожки предназначены для функций записи и считывания.
8.3.2 Способ кодирования и плотность кодирования
Дорожки на картах форматом TFC.5 кодируют при 3.6 или 8.3 битов/мм. используя способ кодирования F/2F (см. приложение В). Допускается использовать разные плотности для разных дорожек одной и той же карты.
8.3.3 Зоны кодирования
Участки полосы в пределах 2.9 мм от каждой кромки карты или в пределах 1.5 мм от линий перфорации А и С не включают в зоны кодирования; их допускается заполнять нулями. Сообщение следует коди-
9
ГОСТ Р ИСО/МЭК 15457-2—2010
ровать в границах двух остающихся зон. соответствующих частям 1 и 2 карты (см. ИСО/МЭК 15457-1), с началом у базовой кромки карты.
Каждая зона кодирования (частей 1 и 2 карты) должна содержать следующее: данным приложения должны предшествовать и завершать их не менее чем 21 нулевой бит для целей синхронизации.
Если карта имеет корешок, он должен быть заполнен нулями или подвергнут стиранию постоянным током.
Часть дорожки, предназначенную в качестве самой используемой битовой зоны, допускается раз-депять на независимые зоны кодирования, называемые блоками. В этом случае каждый из таких независимых блоков должен иметь собственные начальные и конечные нули.
Примечание — Кодирование независимых блоков может быть причиной появления ложных сигналов в процессе эхосчитывания в промежутке между блоками.
10
ГОСТ Р ИСО/МЭК 15457-2—2010
Приложение А (обязательное)
Классы магнитных свойств
В настоящем приложении установлены магнитные характеристики магнитных полос, классифицируемые в соответствии с принятой в стандартах комплекса ИСО/МЭК 15457 схемой классификации как классы S. L и Н.
Класс S определен исключительно в поддержку существующих областей применения и не должен быть использован для новых областей применения карт.
А.1 Требования к амплитуде сигнала
А.1.1 Новые, неиспользованные некодированные карты
Требования к характеристикам амплитуды сигнала магнитных полос новых, неиспользованных некодирован-ныхкарт указаны в таблице А.1.
А.1.2 Неиспользованные кодированные карты
Амплитуда сигнала магнитных полос неиспользованных кодированных карт должна соответствовать следующему требованию
0.64 UR 5 Us 1.36 UR.
Примечание — Данный критерий также допускается применять к возобновляемым картам на этапе повторного выпуска, следующего за их перекодированием.
|
Таблица А.1 — Требования к сигналам и шумам |
|||||||||||||||||||||||||||||||||||||||||||||||||||||||||||||||||||||||||||||||||
|
|||||||||||||||||||||||||||||||||||||||||||||||||||||||||||||||||||||||||||||||||
Наклон кривой насыщения не должен быть положительным между и «/„аи;.
^Определения величин, обозначенных буквой U. приведены в разделе 3. Для более полного понимания следует обращаться к методам испытаний (см. ИСО/МЭК 15457-3).
2)Эта величина опредепена в методах испытаний (см. ИСО/МЭК 15457-3).
11
ГОСТ Р ИСО/МЭК 15457-2—2010
Окончание таблицы А. 1
31 Данное требование предъявляют в том случае, если это необходимо по условиям применения карты. Оно приведено как дополнительное к требованиям, предъявляемым к картам форматом ID-1 (см. ИСО/МЭК 7811-2 и ИСО/МЭК 7811-6).
4|Данное требование распространяется только на карты на пластиковой основе (см. ИСО/МЭК 15457-1). В отношении других материалов основы рекомендуется, чтобы предельное значение было согласовано между поставщиком и заказчиком.
А.1.3 Возвращенные карты
Амплитуда сигнала магнитных полос возвращенных карт должна соответствовать следующему требованию
0.52 UR 5 U,s1.36l/R.
Примечание — Требования А.1.2 и А.1.3 устанавливают границы амплитуды сигнала обмена для каждого местоположения кодовых дорожек при установленных значениях информационной плотности записи. Требо-вания к амплитуде сигнала, приведенны

