Шумомеры. Часть 1. Технические требования
Действие завершено 01.11.2012
Документ завершил свое действие. Вы можете скачать Руководящий документ ГОСТ Р 53188.1-2008 в удобном формате.
Скрыть дополнительную информацию
Страница 1

Страница 2

Страница 3

Страница 4

Страница 5

Страница 6

Страница 7

Страница 8

Страница 9

Страница 10

Страница 11

Страница 12

Страница 13

Страница 14

Страница 15

Страница 16

Страница 17

Страница 18

Страница 19

Страница 20

Страница 21

Страница 22

Страница 23

Страница 24

Страница 25

Страница 26

Страница 27

Страница 28

Страница 29

Страница 30

Страница 31

Страница 32

Страница 33

Страница 34

Страница 35

Страница 36
ФЕДЕРАЛЬНОЕ АГЕНТСТВО ПО ТЕХНИЧЕСКОМУ РЕГУЛИРОВАНИЮ И МЕТРОЛОГИИ
ГОСТР 53188.1—
НАЦИОНАЛЬНЫМ
СТАНДАРТ
РОССИЙСКОЙ
ФЕДЕРАЦИИ
2008 (МЭК 61672-1 2002)
ШУМОМЕРЫ
Часть 1
Технические требования
IEC 61672-1:2002 Electroacoustics — Sound level meters — Part 1: Specifications
(MOD)
Издание официальное
СО
СП
со
со
о
о
сч
I
со
ш
|
Москва Стандартинформ 2009 |
Предисловие
Цели и принципы стандартизации в Российской Федерации установлены Федеральным законом от 27 декабря 2002 г. № 184-ФЗ «О техническом регулировании», а правила применения национальных стандартов Российской Федерации — ГОСТ Р 1.0-2004 «Стандартизация в Российской Федерации. Основные положения»
Сведения о стандарте
1 ПОДГОТОВЛЕН Автономной некоммерческой организацией «Научно-исследовательский центр контроля и диагностики технических систем» (АНО «НИЦ КД») на основе собственного аутентичного перевода стандарта, указанного в пункте 4
2 ВНЕСЕН Техническим комитетом по стандартизации ТК 358 «Акустика»
3 УТВЕРЖДЕН И ВВЕДЕН В ДЕЙСТВИЕ Приказом Федерального агентства по техническому регулированию и метрологии от 18 декабря 2008 г. № 639-ст
4 Настоящий стандартявляетсямодифицированным поотношению к международному стандарту МЭК61672-1:2002 «Электроакустика. Шумомеры. Часть 1. Технические требования» (IEC 61672-1:2002 «Electroacoustics — Sound level meters — Part 1: Specifications») путем внесения технических отклонений, объяснение которых приведено во введении к настоящему стандарту
5 ВВЕДЕН ВПЕРВЫЕ
Информация об изменениях к настоящему стандарту публикуется в ежегодно издаваемом информационном указателе «Национальные стандарты»,атекст изменений ипоправок — в ежемесячно издаваемых информационных указателях «Национальные стандарты». В случае пересмотра (замены) или отмены настоящего стандарта соответствующее уведомление будет опубликовано в ежемесячно издаваемом информационном указателе «Национальные стандарты». Соответствующая информация, уведомление и тексты размещаются также в информационной системе общего пользования — на официальном сайте Федерального агентства по техническому регулированию и метрологии в сети Интернет
© Стандартинформ, 2009
Настоящий стандарт не может быть полностью или частично воспроизведен, тиражирован и распространен в качестве официального издания без разрешения Федерального агентства по техническому регулированию и метрологии
Содержание
1 Область применения……………………………………………1
2 Нормативные ссылки…………………………………………..2
3 Термины и определения…………………………………………2
4 Номинальные внешние условия……………………………………..5
5 Технические требования…………………………………………5
5.1 Общие требования………………………………………….5
5.2 Настройки отображаемых уровней…………………………………7
5.3 Характеристики направленности………………………………….9
5.4 Частотные характеристики……………………………………..9
5.5 Линейность уровня…………………………………………12
5.6 Собственные шумы…………………………………………13
5.7 Временные характеристики F и S…………………………………13
5.8 Отклик на радиоимпульс………………………………………14
5.9 Отклик на повторяющиеся радиоимпульсы……………………………15
5.10 Индикация перегрузки……………………………………….16
5.11 Индикация недопустимо слабого сигнала……………………………16
5.12 Пиковый корректированный по Суровеньзвука………………………..16
5.13 Сброс………………………………………………..17
5.14 Пороги……………………………………………….17
5.15 Устройство отображения……………………………………..17
5.16 Аналоговый или цифровой выход………………………………..18
5.17 Возможности по работе с временными интервалами ивременемдня…………….18
5.18 Радиопомехи и помехи электропитания……………………………..18
5.19 Переходное затухание между каналами…………………………….19
5.20 Электропитание………………………………………….19
6 Влияние внешних условий, электростатических и радиочастотных полей……………..19
6.1 Общие положения………………………………………….19
6.2 Статическое давление……………………………………….20
6.3 Температура воздуха………………………………………..20
6.4 Влажность………………………………………………20
6.5 Электростатический разряд…………………………………….20
6.6 Поля промышленной частоты и радиочастотные поля……………………..21
7 Условия для использования с дополнительными устройствами…………………..22
8 Маркировка………………………………………………..22
9 Руководство по эксплуатации……………………………………..22
Приложение А (обязательное) Максимальные расширенные неопределенности измерений……27
Приложение В (справочное) Частотная характеристика AU………………………28
Приложение С (справочное) Требования к временной характеристике I(импульс)…………29
Приложение D (справочное) Сведения о соответствии ссылочных международных стандартов национальным стандартам Российской Федерации, использованным в настоящем стандарте в качестве нормативных ссылок………………………31
Библиография………………………………………………..31
Введение
Настоящий стандарт имеет следующие отличия от примененного в нем международного стандарта МЭК61672-1:2002:
— в соответствии с требованиями ГОСТ Р 1.5-2004 в связи с невведенностью МЭК 60050-801, МЭК 60942, ИСО/МЭК «Руководство по выражению неопределенности измерений», ИСО «Международный словарь по основным и общим терминам в метрологии» в качестве национальных стандартов Российской Федерации, эти документы перенесены из раздела нормативных ссылок в структурный элемент «Библиография». Международные стандарты СИСПР 16-1:1999, МЭК 61000-4-2—95, МЭК 61000-6-2—2005 заменены соответственно на эквивалентные ГОСТ Р 51318.16.1.1-2007, ГОСТ Р 51317.4.2-99, ГОСТ Р 51317.6.2-2007;
— из текста стандарта [п. 1.2; 5.1.6; 5.2.3; 5.4.3; 9.2.1, перечисление с); 9.2.5, перечисление b)] в интересах национальной экономики исключены требования, имеющие отношение к нормированию характеристик шумомеров в диффузном звуковом поле. Указанное исключение обусловлено требованием действующих в Российской Федерации санитарных норм и стандартов применять средства измерения шума, частотная характеристика которых нормируется исключительно в условиях свободного звукового поля при падении звуковой волны на микрофон с заданного опорного направления;
— в соответствии с требованиями ГОСТ Р 1.5 обозначения величин приводятся после названия термина в его определении, в связи с этим исключены примечания, содержащие информацию об обозначениях величин;
— ктермину 3.3 добавлено примечание, указывающее эквивалентные русскоязычные термины для английскихтерминов «A-weighted (или С-weighted)»;
— к термину 3.4 добавлено примечание, поясняющее связь между стандартными постоянными времени временной коррекции и временными характеристиками F (или S);
— ктермину 3.5 добавлены примечание 2 с информацией об обозначении единиц измерения уровней звука, принятые в национальных стандартах Российской Федерации, и примечание 3, допускающее использование термина «уровень звука А (С)»;
— исключены примечания ктермину 3.8 в связи с включением приведенной в них информации в термин и его определение;
— исключено примечание 3 ктермину 3.9 в связи с включением эквивалентного по смыслу пояснения в примечание 2 к данному термину;
— ктермину 3.10 добавлено примечание 4, содержащее эквивалентный термин;
— изменены отдельные слова и добавлены фразы, более точно раскрывающие смысл некоторых положений настоящего стандарта.
Указанные изменения выделены в тексте курсивом.
ГОСТ Р 53188.1-2008 (МЭК 61672-1:2002)
НАЦИОНАЛЬНЫЙ СТАНДАРТ РОССИЙСКОЙ ФЕДЕРАЦИИ
ШУМОМЕРЫ Часть 1 Технические требования
Sound level meters.
Part 1. Technical requirements
Дата введения — 2009—12—01
1 Область применения
1.1 Настоящий стандарт устанавливает требования к электроакустическим характеристикам для приборов трех видов, предназначенных для измерения звука:
— обычные шумомеры, которые измеряют уровень звука с экспоненциальной временной коррекцией;
— интегрирующие-усредняющие шумомеры, которые измеряют линейно усредненный по времени уровень звука;
— интегрирующие шумомеры, которые измеряют уровень звукового воздействия.
Отдельный прибор может выполнять любой или все из указанных видов измерений. Дополнительные технические требования приведены для измерений максимального уровня звука с временной коррекцией и пикового корректированного по С уровня звука. Шумомеры, удовлетворяющие требованиям настоящего стандарта, должны иметь частотную характеристику А.
1.2 Частотные характеристики шумомеров должны удовлетворять требованиям настоящего стандарта при падении звуковой волны на микрофон с заданного опорного направления в свободном звуковом поле.
1.3 Шумомеры, удовлетворяющие требованиям настоящего стандарта, предназначены для измерения слышимых звуков.
Примечание — Для измерения звука в слышимом диапазоне при наличии ультразвука можно применять частотную характеристику AU по [1].
1.4 Настоящий стандарт устанавливает требования к шумомерам 1-го и 2-го класса. Шумомеры 1-го и 2-го классов имеют одни и те же номинальные значения характеристик и отличаются допустимыми отклонениями этих характеристик и рабочим диапазоном температур. Предельные отклонения характеристик для шумомеров 2-го класса больше или равны предельным отклонениям для шумомеров 1-го класса.
1.5 Стандарт распространяется на шумомеры различных конструкций. Шумомер может быть отдельным ручным прибором с присоединенным микрофоном и встроенным устройством отображения. Шумомер может состоять из отдельных частей в одном или более корпусах и отображать заданный набор уровней акустического сигнала. Шумомер может выполнять сложную аналоговую или цифровую обработку сигналов, каждого по отдельности или совместно, со многими аналоговыми или цифровыми выходами. В состав шумомеров могут входить компьютеры общего назначения, устройства регистрации, печатающие и другие устройства, составляющие неотъемлемую часть укомплектованного прибора.
Издание официальное
1.6 Конструкции шумомеров могут допускать работу под управлением и в присутствии оператора или при автоматическом и непрерывном измерении уровня шума в отсутствие оператора. Требования настоящего стандарта относительно отклика на звуковые волны применимы в случае, если оператор не присутствует в звуковом поле.
2 Нормативные ссылки
В настоящем стандарте использованы нормативные ссылки на следующие стандарты:
ГОСТ Р 51317.4.2-99 (МЭК 61000-4-2—95) Совместимость технических средств электромагнитная. Устойчивость к электростатическим разрядам. Требования и методы испытаний
ГОСТ Р 51317.6.2-2007 (МЭК 61000-6-2:2005) Совместимость технических средств электромагнитная. Устойчивость к электромагнитным помехам технических средств, применяемых в промышленных зонах. Требования и методы испытаний.
ГОСТ Р 51318.16.1.1-2007 (СИСПР 16-1-1:2006) Совместимость технических средств электромагнитная. Требования к аппаратуре для измерения параметров индустриальных радиопомех и помехоустойчивости и методы измерений. Часть 1-1. Аппаратура для измерения параметров индустриальных радиопомех и помехоустойчивости. Приборы для измерения индустриальных радиопомех
Примечание — При пользовании настоящим стандартом целесообразно проверить действие ссылочных стандартов в информационной системе общего пользования — на официальном сайте Федерального агентства по техническому регулированию и метрологии в сети Интернет или по ежегодно издаваемому информационному указателю «Национальные стандарты», который опубликован по состоянию на 1 января текущего года, и по соответствующим ежемесячно издаваемым информационным указателям, опубликованным в текущем году. Если ссылочный стандарт заменен (изменен), то при пользовании настоящим стандартом следует руководствоваться заменяющим (измененным) стандартом. Если ссылочный стандарт отменен без замены, то положение, в котором дана ссылка на него, применяется в части, не затрагивающей эту ссылку.
3 Термины и определения
В настоящем стандарте применены термины по [2]—[4], ГОСТ Р 51317.6.2, а также следующие термины с соответствующими определениями:
3.1 опорноезвуковоедавление (reference sound pressure): Установленное по соглашению опорное значение звукового давления в воздухе, равное 20 мкПа.
3.2 уровень звукового давления Lp (sound pressure level), дБ: Двадцать десятичных логарифмов отношения среднеквадратичного значения данного звукового давления к опорному звуковому давлению.
3.3 частотная коррекция (frequency weighting), дБ: Для шумомера — разность как функция частоты между уровнем сигнала, показываемым на устройстве отображения шумомера, и соответствующим уровнем установившегося синусоидального (далее — синусоидального) входного сигнала с постоянной амплитудой.
Примечание — В национальных стандартах Российской Федерации по шуму и акустике английским терминам «A-weighted (или С-weighted)», означающим «стандартная частотная коррекция А (или С)», применяют термины «корректированное по А (или С)». Аналогично образуются термины для других видов стандартных частотных коррекций Z, AU, FLAT.
3.4 функция временной коррекции (time weighting function): Экспоненциальная функция времени с заданной постоянной времени, которая применяется в качестве весовой функции для квадрата мгновенного звукового давления при операции усреднения по времени.
Примечание — Для обозначения режима работы шумомера с экспоненциальным усреднением по времени при стандартной постоянной времени экспоненциальной весовой функции, установленной в настоящем стандарте, а также для индикации измеряемой при этом акустической величины используют термин «временная характеристика F (или S)».
3.5 уровень звука с временной коррекцией (time-weighted sound level), дБ: Двадцать десятичных логарифмов отношения данного среднеквадратичного частотно корректированного звукового давления, полученного путем усреднения по времени с заданной функцией временной коррекции, к опорному звуковому давлению.
Примечания
1 Для уровней звука, полученных при временныххарактеристиках Fи S, рекомендуют следующие обозначения: LaF, Las — для корректированных по А, LCF, LCs — для корректированных по С уровней звука.
2 В национальных стандартах Российской Федерации единицы измерения уровней звука, корректированных по А, обозначают дБА, корректированных по С — дБС.
3 При необходимости допускается вместо термина «корректированный по А (или С) уровень звука» применять термин «уровень звука А» (или «уровень звука С»). Например, допустимо словосочетание «корректированный уровень звука А», где слово «корректированный» применяют в ином, по сравнению с указанным в примечании к 3.3 смысле.
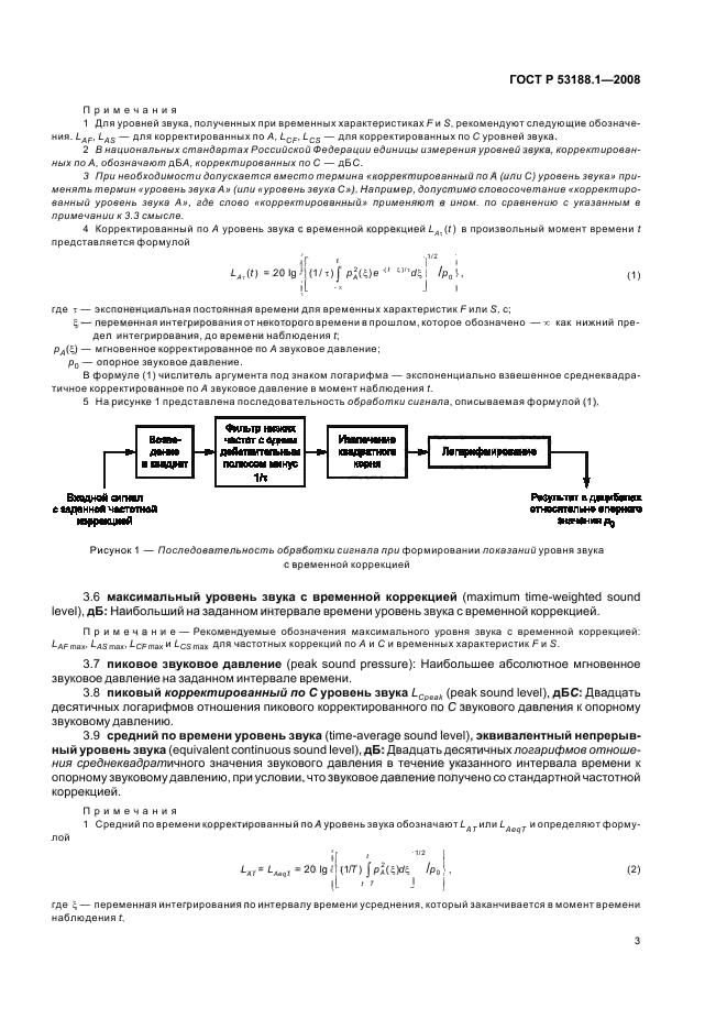
4 Корректированный по А уровень звука с временной коррекцией LAt(t) в произвольный момент времени t представляется формулой
! ]
(1/т) J pA(£)e-<t -£)/Td£
Ы, (1)
Lat (t) = 20 lg
где т — экспоненциальная постоянная времени для временных характеристик F или S, с;
£ —переменная интегрирования от некоторого времени в прошлом, которое обозначено — да как нижний предел интегрирования, до времени наблюдения t;
Pa(£) — мгновенное корректированное по А звуковое давление; р0 — опорное звуковое давление.
В формуле (1) числитель аргумента под знаком логарифма — экспоненциально взвешенное среднеквадратичное корректированное по А звуковое давление в момент наблюдения t.
5 На рисунке 1 представлена последовательность обработки сигнала, описываемая формулой (1).
Результат в децибелах относительно опорного значения р0
Входной сигнал с заданной частотной коррекцией
Рисунок 1 — Последовательность обработки сигнала при формировании показаний уровня звука
с временной коррекцией
3.6 максимальный уровень звука с временной коррекцией (maximum time-weighted sound level), дБ: Наибольший на заданном интервале времени уровень звука с временной коррекцией.
Примечание — Рекомендуемые обозначения максимального уровня звука с временной коррекцией: Laf max, Las max, LCfmax и LCs max для частотных коррекций по А и С и временных характеристик Fи S.
3.7 пиковое звуковое давление (peak sound pressure): Наибольшее абсолютное мгновенное звуковое давление на заданном интервале времени.
3.8 пиковый корректированный по С уровень звука L(=peak (peak sound level), дБС: Двадцать десятичных логарифмов отношения пикового корректированного по С звукового давления к опорному звуковому давлению.
3.9 средний по времени уровень звука (time-average sound level), эквивалентный непрерывный уровень звука (equivalent continuous sound level), дБ: Двадцать десятичных логарифмов отношения среднеквадратичного значения звукового давления в течение указанного интервала времени к опорному звуковому давлению, при условии, что звуковое давление получено со стандартной частотной коррекцией.
Примечания
1 Средний повремени корректированный по А уровень звука обозначают Lat или LAeqT и определяют формулой
! I
Ы, (2)
(1/T) J pA(£)d£
LAT LAeqT 20 lg ‘
где £ — переменная интегрирования по интервалу времени усреднения, который заканчивается в момент времени наблюдения t;
T — интервал времени усреднения; pA(Q — мгновенное корректированное по А звуковое давление;
Ро — опорное звуковое давление.
В формуле (2) числитель аргумента логарифма — линейно взвешенное на интервале времени Tсреднеквадратичное корректированное по А значение звукового давления.
2 Принципиально, что функция временной коррекции не используется в определении среднего по времени уровня звука.
3.10 звуковое воздействие (sound exposure): Интеграл по времени от квадрата звукового давления за указанный интервал времени или продолжительность события.
Примечания
1 Интервал интегрирования входит неявно в интеграл по времени, и нет необходимости приводить его в явном виде, однако природа события должна быть указана. Для измерений звукового воздействия за определенный интервал времени, например 1 ч, время интегрирования должно указываться.
2 Корректированное по А звуковое воздействие ЕА указанного события вычисляют по формуле
t 2
ЕА = J PA(t№ (3)
t 1
где p|(f) — квадрат мгновенного корректированного по А звукового давления на интервале от момента времени f1 до t2.
Если звуковое давление выражают в паскалях, а текущее время — в секундах, то размерность корректированного по А звукового воздействия — паскаль в квадрате в секунду.
3 Звуковое воздействие в паскалях в квадрате в час удобнее для таких применений, как измерения звукового воздействия шума на рабочих местах (см. [5]).
4 В национальных стандартах Российской Федерации применяют также эквивалентный термин «доза шума».
3.11 уровень звукового воздействия (sound exposure level), дБ: Десять десятичных логарифмов отношения звукового воздействия к опорному звуковому воздействию; опорное звуковое воздействие — произведение квадрата опорного звукового давления и опорного интервала времени 1 с.
Примечания
1 Корректированный по А уровень звукового воздействия —АЕ связан с соответствующим средним по времени корректированным по А уровнем звука Lat или -AeqTсоотношением:
/(Ро2То)1 = 10 lg (Ea/Eo) = Lat + 10 lg (T/T,), (4)
2
J pA(t )dt
Lae = 10|g
где Ea — корректированное по А звуковое воздействие, Па2 ■ с [см. формулу (3)];
Е0 — опорное звуковое воздействие, равное (20 мкПа)2 ■ (1 с) = 400 ■ 10-12 ■ Па2 ■ с;
То = 1 с;
Т = t2 — t1, интервал времени измерений в секундах для уровня звукового воздействия и среднего по времени уровня звука.
2 Средний по времени корректированный по А уровень звука Lat или -AeqT в течение интервала времени Т связан с общим корректированным по А звуковым воздействием Ea за этот интервал соотношением:
Ea =( Ро2Т )(100,1-АТ) (5а)
или
Lat =10 lg [Е)/(Р,2Т)] = Lae — 10 lg (Т/Т,). (5b)
3.12 опорная точка микрофона (microphone reference point): Точка, указанная на микрофоне или вблизи него, для описания положения микрофона.
Примечание — Опорной точкой может быть центр мембраны микрофона.
3.13 опорное направление (reference direction): Направление извне на опорную точку микрофона, задаваемое для определения акустического отклика, характеристики направленности и частотной характеристики шумомера.
Примечание — Опорное направление может быть указано по отношению коси симметрии.
3.14 угол падения звука (sound-incidence angle): Угол между опорным направлением и прямой, соединяющей акустический центр источника звука с опорной точкой микрофона.
Примечание — Угол падения звука выражается в градусах.
3.15 диапазон шкалы (level range), дБ: Интервал номинальных уровней звука, измеряемых при определенном положении элементов управления шумомера.
3.16 опорный уровень звукового давления (reference sound pressure level), дБ: Уровень звукового давления, установленный для испытания электроакустических характеристик шумомера.
3.17 опорный диапазон шкалы (reference level range), дБ: Диапазон шкалы, указанный для испытания электроакустических характеристик шумомера и включающий опорный уровень звукового давления.
3.18 частота проверки калибровки (calibration check frequency), Гц: Номинальная частота в диапазоне от 160 до 1250 Гц синусоидального звукового давления, создаваемого акустическим калибратором, который используют для проверки и регулировки шумомера.
3.19 погрешность линейности уровня (level linearity error), дБ: На указанной частоте есть отображаемый уровень сигнала минус ожидаемый уровень сигнала.
3.20 линейный рабочий диапазон (linear operating range), дБ: В любом диапазоне уровней и на указанной частоте интервал уровней звука, в котором погрешности линейности уровня находятся в предельных отклонениях, указанных в настоящем стандарте.
3.21 общий диапазон шкалы (total range), дБ: Интервал корректированных по А уровней звука при отклике на синусоидальные сигналы от самого низкого звукового уровня в наиболее чувствительном диапазоне шкалы до самого высокого звукового уровня в наименее чувствительном диапазоне шкалы, которые могут быть измерены без индикации перегрузки или индикации недопустимо слабого сигнала и без выхода за предельные отклонения для погрешностей линейности уровня, указанные в настоящем стандарте.
3.22 радиоимпульс (toneburst): Один или более полных периодов синусоидального сигнала, начинающихся и заканчивающихся в точке прохождения через нуль.
3.23 отклик на радиоимпульс (toneburst response), дБ: Максимальный уровень звука с временной коррекцией, средний по времени уровень звука или уровень звукового воздействия, измеренный при отклике на синусоидальный электрический радиоимпульс, минус соответствующий измеренный уровень звука синусоидального входного сигнала с постоянной амплитудой, из которого был извлечен радиоимпульс.
3.24 опорная ориентация (reference orientation): Ориентация шумомера для испытаний с целью доказательства соответствия требованиям настоящего стандарта в части радиопомех и помехоустойчивости.
4 Номинальные внешние условия
Номинальные внешние условия для определения характеристик шумомера:
— температура воздуха — 23 °C;
— статическое давление — 101,325 кПа;
— относительная влажность — 50 %.
5 Технические требования
5.1 Общие требования
5.1.1 Шумомер в целом представляет собой сочетание микрофона, устройства обработки сигналов и устройства отображения.
Устройство обработки сигналов объединяет функции усилителя с заданной и управляемой частотной характеристикой, устройства формирования квадрата изменяющегося во времени звукового давления с заданной частотной коррекцией, временного интегратора или устройства усреднения по времени. Обработка сигналов, необходимая для выполнения требований настоящего стандарта, является неотъемлемой частью шумомера.
В настоящем стандарте устройство отображения обеспечивает либо физическое и видимое отображение, либо сохранение результатов измерений. Любые сохраненные результаты измерений должны быть доступны для отображения при помощи устройства, указанного изготовителем, например компьютера с соответствующим программным обеспечением.
5.1.2 Технические требования в этой части применимы при номинальных внешних условиях, указанных в разделе 4.
5.1.3 Для нормирования радиопомех и помехоустойчивости шумомеры подразделяют на три группы:
— шумомеры группы X: смонтированные в общем корпусе приборы с функциональными возможностями для измерения уровня звука в соответствии с требованиями настоящего стандарта, которые в нормальном режиме работы питаются от встроенных батарей и не требуют для измерения уровня звука внешних подключений к другим приборам;
— шумомеры группы Y: смонтированные в общем корпусе приборы с функциональными возможностями для измерения уровня звука в соответствии с требованиями настоящего стандарта, которые в нормальном режиме работы питаются от электросети и не требуют для измерения уровня звука внешних подключений кдругим приборам;
— шумомеры группы Z: приборы с функциональными возможностями для измерения уровня звука в соответствии с требованиями настоящего стандарта, для нормального режима работы которыхтребует-ся два или более модуля, соединенных определенным образом и являющихся неотъемлемыми составными частями шумомера. Отдельные модули могут работать от внутренних батарей или от электросети.
5.1.4 Конфигурация укомплектованного шумомера и его нормальный режим работы должны быть указаны в руководстве по эксплуатации. Конфигурация укомплектованного шумомера может включать в себя ветрозащитное устройство и другие устройства, устанавливаемые вблизи микрофона, в качестве неотъемлемых частей для нормального режима работы.
5.1.5 Шумомер, для которого в руководстве по эксплуатации указано, что он является шумомером
1-го или 2-го класса, должен удовлетворять всем обязательным требованиям к шумомеру 1-го или 2-го класса соответственно, которые установлены в настоящем стандарте. Шумомер 2-го класса может обеспечивать некоторые возможности шумомера 1-го класса, но если какая-либо из возможностей удовлетворяет только требованиям шумомера 2-го класса, прибор является шумомером 2-го класса. Шумомер может быть указан как прибор 1-го класса в одной конфигурации и прибор 2-го класса в другой конфигурации (например, с другим микрофоном или предусилителем).
5.1.6 В руководстве по эксплуатации должны быть указаны модели микрофонов, с которыми укомплектованный шумомер удовлетворяет требованиям к характеристикам 1-го или 2-го класса для звуковых волн, падающих на микрофон с опорного направления в свободном звуковом поле. В руководстве по эксплуатации должны быть описаны соответствующие процедуры пользования шумомером.
5.1.7 В руководстве по эксплуатации при необходимости должно быть указано, какследует закреплять микрофон, чтобы удовлетворить требованиям к характеристике направленности и частотным характеристикам. Чтобы соответствовать требованиям, может понадобиться удлинительное устройство или кабель для микрофона. В этом случае в руководствепоэксплуатациидолжнобытьуказано, что шумомер удовлетворяет требованиям к характеристике направленности и частотной характеристике только при установке указанного устройства.
5.1.8 Компьютерное программное обеспечение может быть неотъемлемой частью шумомера. Руководство по эксплуатации должно обеспечивать однозначную идентификацию подобного программного обеспечения.
5.1.9 Как минимум, обычный шумомер должен обеспечивать средства для отображения корректированного по А уровня звука и временной характеристикой F; интегрирующий-усредняющий шумомер должен обеспечивать средства для отображения среднего по времени корректированного по А уровня звука; интегрирующий шумомер должен обеспечивать средства для отображения корректированного по А уровня звукового воздействия. Шумомеры могут содержать одну или все функциональные возможности, для которых в настоящем стандарте указаны технические требования. Шумомер должен соответствовать применимым техническим требованиям для предусмотренных функциональных возможностей.
5.1.10 Шумомер должен иметь частотную характеристику А. Шумомер, удовлетворяющий предельным отклонениям для класса 1, должен также иметь частотную характеристику С, по крайней мере, для испытаний с целью утверждения типа. Шумомеры, которые измеряют пиковые корректированные по С уровни звука непостоянных шумов, должны также измерять корректированные по С уровни звука постоянных шумов, по крайней мере, для испытаний с целью утверждения типа. Частотная характеристика ZERO (характеристика Z) является дополнительной. В руководстве по эксплуатации должны быть описаны все частотные характеристики, которые реализованы.
5.1.11 Шумомер может иметь более одного устройства отображения.
Примечание — Выход шумомера по переменному, постоянному току или цифровой выход сам по себе не является устройством отображения.
5.1.12 Шумомер может иметь более одного диапазона шкалы с устройством переключения диапазонов. В руководстве по эксплуатации диапазон (диапазоны) шкалы должен быть описан в виде номинального корректированного по А уровня звука на частоте 1 кГц. В руководстве по эксплуатации должна быть описана работа устройств переключения диапазонов шкалы и даны рекомендации по выбору оптимального диапазона шкалы для отображения результатов измерения уровня звука или уровня звукового воздействия.
5.1.13 В руководстве по эксплуатации должны быть указаны: опорный уровень звукового давления, опорный диапазон шкалы и опорная ориентация. Для каждой модели микрофона, предназначенной для использования в составе шумомера, в руководстве по эксплуатации должны быть указаны опорное направление и положение опорной точки микрофона.
Примечание — Предпочтительным является опорный уровень звукового давления 94 дБ. Могут также быть указаны опорные уровни звукового давления 74, 84, 104, 114 и 124 дБ. Уровень звукового давления 94 дБ приблизительно соответствует среднеквадратичному звуковому давлению 1 Па.
5.1.14 Если шумомер способен измерять максимальный уровень звука с заданной частотной коррекцией и пиковый корректированный по С уровень звука, то он должен обладать способностью удержания показаний. В руководстве по эксплуатации должна быть описана работа устройства удержания показаний и способы сброса удержанных показаний.
5.1.15 Для установления соответствия многим из требований настоящего стандарта необходимо использовать электрические сигналы. Электрические сигналы должны быть эквивалентны сигналам первичного преобразователя микрофона. Для каждой указанной модели микрофона в руководстве по эксплуатации должны быть указаны номинальные значения и применимые предельные отклонения электрических характеристик устройства или средства подачи сигнала на электрический вход шумомера. Электрические характеристики должны включать активную и реактивную составляющие выходного электрического импеданса устройства. Номинальное значение импеданса должно быть указано для частоты 1 кГц.
5.1.16 В руководстве по эксплуатации должны быть указаны наибольший уровень звукового давления на микрофоне и максимальный размах напряжения, которое можно приложить к электрическому входу без повреждения шумомера.
5.1.17 Технические характеристики в настоящем стандарте применимы к любым временным или частотным характеристикам, работающим параллельно, или к каждому независимому каналу многоканального шумомера, если таковые имеются. В руководстве по эксплуатации должны быть описаны характеристики и работа каждого независимого канала.
Примечание — Многоканальный шумомер может иметь два и более микрофонных входов.
5.1.18 Требования к электроакустическим характеристикам шумомера применимы после начального интервала времени после включения питания. Начальный интервал, указанный в руководстве по эксплуатации, не должен превышать 2 мин. Перед включением питания шумомер должен прийти в равновесное состояние с условиями окружающей среды.
5.1.19 Предельные отклонения в настоящем стандарте включают допуски при конструирован


