Короткие замыкания в электроустановках. Методы расчета электродинамического и термического действия тока короткого замыкания
Заменяет

Страница 1

Страница 2

Страница 3

Страница 4

Страница 5

Страница 6

Страница 7

Страница 8

Страница 9

Страница 10

Страница 11

Страница 12

Страница 13

Страница 14

Страница 15

Страница 16

Страница 17

Страница 18

Страница 19

Страница 20

Страница 21

Страница 22

Страница 23

Страница 24

Страница 25

Страница 26

Страница 27

Страница 28

Страница 29

Страница 30

Страница 31

Страница 32

Страница 33

Страница 34

Страница 35

Страница 36

Страница 37

Страница 38

Страница 39

Страница 40

Страница 41

Страница 42

Страница 43

Страница 44
ФЕДЕРАЛЬНОЕ АГЕНТСТВО ПО ТЕХНИЧЕСКОМУ РЕГУЛИРОВАНИЮ И МЕТРОЛОГИИ
НАЦИОНАЛЬНЫЙ СТАНДАРТ РОССИЙСКОЙ ФЕДЕРАЦИИ
ГОСТР
52736
2007
Короткие замыкания в электроустановках
МЕТОДЫ РАСЧЕТА ЭЛЕКТРОДИНАМИЧЕСКОГО И ТЕРМИЧЕСКОГО ДЕЙСТВИЯ ТОКА КОРОТКОГО ЗАМЫКАНИЯ
Издание официальное
о
<Б
о
о
сч
о
со
ш
|
Москва Стандартинформ 2007 |
Предисловие
Цели и принципы стандартизации в Российской Федерации установлены Федеральным законом от 27 декабря 2002 г. № 184-ФЗ «О техническом регулировании», а правила применения национальных стандартов Российской Федерации — ГОСТ Р 1.0-2004 «Стандартизация в Российской Федерации. Основные положения»
Сведения о стандарте
1 РАЗРАБОТАН Филиалом ОАО «НТЦ электроэнергетики» — ВНИИЭ, Московским энергетическим институтом (Техническим университетом) (МЭИ (ТУ))
2 ВНЕСЕН Техническим комитетом по стандартизации ТК 437 «Токи короткого замыкания»
3 УТВЕРЖДЕН И ВВЕДЕН В ДЕЙСТВИЕ Приказом Федерального агентства по техническому регулированию и метрологии от 12 июля 2007 г. № 174-ст
4 ВЗАМЕН ГОСТ Р 50254-92
Информация об изменениях к настоящему стандарту публикуется ежегодно в издаваемом информационном указателе «Национальные стандарты», а текст изменений и поправок — в ежемесячно издаваемых информационных указателях «Национальные стандарты». В случае пересмотра (замены) или отмены настоящего стандарта соответствующее уведомление будет опубликовано в ежемесячно издаваемом информационном указателе «Национальные стандарты». Соответствующая информация, уведомление и тексты размещаются также в информационной системе общего пользования — на официальном сайте Федерального агентства по техническому регулированию и метрологии в сети Интернет
© Стандартинформ, 2007
Настоящий стандарт не может быть полностью или частично воспроизведен, тиражирован и распространен в качестве официального издания без разрешения Федерального агентства по техническому регулированию и метрологии
Содержание
1 Область применения……………………………………..1
2 Нормативные ссылки……………………………………..1
3 Термины и определения……………………………………1
4 Общие положения………………………………………2
5 Электродинамическое действие тока короткого замыкания…………………..3
5.1 Расчет электродинамических сил взаимодействия проводников……………..3
5.2 Выбор расчетной механической схемы шинных конструкций и гибких проводников…….5
5.3 Допустимые механические напряжения в материале проводников и механические нагрузки
на опоры при коротком замыкании…………………………….6
5.4 Определение механических напряжений в материале проводников и механических нагрузок
на опоры при коротком замыкании…………………………….8
5.5 Проверка шинных конструкций, гибких проводников и электрических аппаратов на электродинамическую стойкость при коротком замыкании ……………………15
6 Термическое действие тока короткого замыкания………………………16
6.1 Определение интеграла Джоуля и термически эквивалентного тока короткого замыкания . . 16
6.2 Проверка электрических аппаратов на термическую стойкость при коротком замыкании … 21
6.3 Проверка проводников на термическую стойкость при коротком замыкании……….21
6.4 Проверка силовых кабелей на невозгораемость при коротком замыкании………..27
Приложение А (рекомендуемое) Расчетные выражения для определения коэффициента A(Z) … 29 Приложение Б (рекомендуемое) Методика проверки токопроводов на электродинамическую
стойкость при повторном включении на короткое замыкание………….30
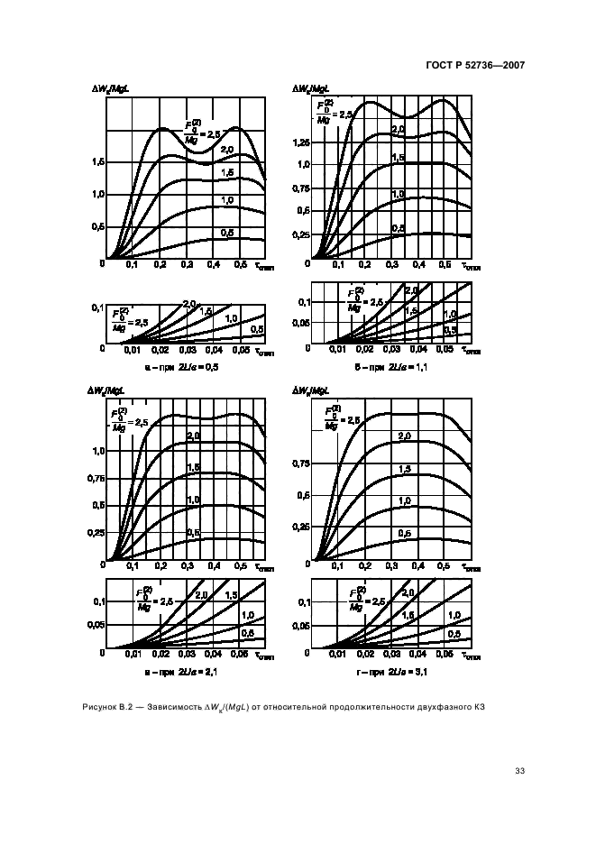
Приложение В (рекомендуемое) Методика расчета гибких проводников на электродинамическую
стойкость……………………………………31
Приложение Г (рекомендуемое) Примеры расчета электродинамической стойкости шинных
конструкций …………………………………. 37
НАЦИОНАЛЬНЫЙ СТАНДАРТ РОССИЙСКОЙ ФЕДЕРАЦИИ
Короткие замыкания в электроустановках МЕТОДЫ РАСЧЕТА ЭЛЕКТРОДИНАМИЧЕСКОГО И ТЕРМИЧЕСКОГО ДЕЙСТВИЯ ТОКА КОРОТКОГО ЗАМЫКАНИЯ
Short-circuits in electrical installations.
Calculation methods of electrodynamics and thermal effects of short-circuit current
Дата введения — 2008—07—01
1 Область применения
Настоящий стандарт распространяется на трехфазные электроустановки промышленной частоты и определяет методы расчета и проверки проводников и электрических аппаратов на электродинамическую и термическую стойкость при коротких замыканиях (КЗ).
2 Нормативные ссылки
В настоящем стандарте использованы нормативные ссылки на следующие стандарты:
ГОСТ 687-78 Выключатели переменного тока на напряжение свыше 1000 В. Общие технические условия
ГОСТ 16442-80 Кабели силовые с пластмассовой изоляцией. Технические условия
ГОСТ 18410-73 Кабели силовые с пропитанной бумажной изоляцией. Технические условия
Примечание — При пользовании настоящим стандартом целесообразно проверить действие ссылочных стандартов в информационной системе общего пользования — на официальном сайте Федерального агентства по техническому регулированию и метрологии в сети Интернет или по ежегодно издаваемому информационному указателю «Национальные стандарты», который опубликован по состоянию на 1 января текущего года, и по соответствующим ежемесячно издаваемым информационным указателям, опубликованным в текущем году Если ссылочный документ заменен (изменен), то при пользовании настоящим стандартом следует руководствоваться заменяющим (измененным) документом. Если ссылочный документ отменен без замены, то положение, в котором дана ссылка на него, применяется в части, не затрагивающей эту ссылку.
3 Термины и определения
В настоящем стандарте применены следующие термины с соответствующими определениями:
3.1
термическое действие тока короткого замыкания в электроустановке: Изменение температуры элементов электроустановки под действием тока короткого замыкания.
[ГОСТ 26522-85, статья 87]
3.2
электродинамическое действие тока короткого замыкания в электроустановке: Механическое действие электродинамических сил, обусловленных током короткого замыкания, на элементы электроустановки.
[ГОСТ 26522-85, статья 88]
Издание официальное
3.3
интеграл Джоуля: Условная величина, характеризующая тепловое действие тока короткого замыкания на рассматриваемый элемент электроустановки, численно равная интегралу от квадрата тока короткого замыкания по времени, в пределах от начального момента короткого замыкания до момента его отключения.
[ГОСТ 26522-85, статья 89]
3.4
ток термической стойкости электрического аппарата при коротком замыкании (ток термической стойкости): Нормированный ток, термическое действие которого электрический аппарат способен выдержать при коротком замыкании в течение нормированного времени термической стойкости.
[ГОСТ 26522-85, статья 90]
3.5
ток электродинамической стойкости электрического аппарата при коротком замыкании (ток электродинамической стойкости): Нормированный ток, электродинамическое действие которого электрический аппарат способен выдержать при коротком замыкании без повреждений, препятствующих его дальнейшей работе.
[ГОСТ 26522-85, статья 91]
4 Общие положения
4.1 Исходные положения
4.1.1 При проверке проводников и электрических аппаратов электроустановок на электродинамическую и термическую стойкость при КЗ предварительно должны быть выбраны расчетные условия КЗ, т. е. расчетная схема электроустановки, расчетный вид КЗ в электроустановке, расчетная точка КЗ, а также расчетная продолжительность КЗ в электроустановке (последнюю используют при проверке на термическую стойкость проводников и электрических аппаратов, а также при проверке на невозгораемость кабелей).
4.1.2 Расчетная схема электроустановки должна быть выбрана на основе анализа возможных электрических схем этой электроустановки при продолжительных режимах ее работы. К последним следует относить также ремонтные и послеаварийные режимы работы.
4.1.3 В качестве расчетного вида КЗ следует принимать:
— при проверке электрических аппаратов и жестких проводников с относящимися к ним поддерживающими и опорными конструкциями на электродинамическую стойкость — трехфазное КЗ;
— при проверке электрических аппаратов и проводников на термическую стойкость — трех- или однофазное КЗ, а на генераторном напряжении электростанций — трех- или двухфазное КЗ, в зависимости от того, какое из них приводит к большему термическому воздействию;
— при проверке гибких проводников по условию их допустимого сближения во время КЗ — двухфазное КЗ.
4.1.4 В качестве расчетной точки КЗ следует принимать такую точку на расчетной схеме, при КЗ в которой проводник или электрический аппарат подвергается наибольшему электродинамическому или термическому воздействию.
Примечание — Исключения из этого требования допустимы лишь при учете вероятностных характеристик КЗ и должны быть обоснованы требованиями соответствующих ведомственных нормативных документов.
4.1.5 Расчетную продолжительность КЗ при проверке проводников и электрических аппаратов на термическую стойкость следует определять путем сложения времени действия основной релейной защиты, в зону которой входят проверяемые проводники и электрические аппараты, и полного времени отключения соответствующего выключателя, а при проверке кабелей на невозгораемость — путем сложения времени действия резервной релейной защиты и полного времени отключения ближайшего к месту КЗ выключателя.
При наличии устройств автоматического повторного включения (АПВ) цепи следует учитывать суммарное термическое действие тока КЗ.
4.1.6 При расчетной продолжительности КЗ до 1 с допустимо процесс нагрева проводников под действием тока КЗ считать адиабатическим, а при расчетной продолжительности КЗ более 1 с и при небыстродействующих АПВ следует учитывать теплоотдачу в окружающую среду.
5 Электродинамическое действие тока короткого замыкания
5.1 Расчет электродинамических сил взаимодействия проводников
5.1.1 Электродинамические силы взаимодействия F, Н, двух параллельных проводников с токами следует определять по формуле
F =2 • 10-7/112 а кф, (1)
где 2 • 10-7 — постоянный параметр, Н/А2;
1^, г’2 — мгновенные значения токов проводников, А; l — длина проводников, м; а — расстояние между осями проводников, м;
Кф — коэффициент формы.
Для проводников прямоугольного сечения коэффициент формы следует определять по кривым, приведенным на рисунке 1.
|
0.4 |
|
|
0 0,4 0,8 1,2 1,6 а-Ь h + b Рисунок 1 — Диаграмма для определения коэффициента формы проводников прямоугольного сечения |
|
1.2
1,0
0,8
0.6
0,2
Для круглых проводников сплошного сечения, проводников кольцевого сечения, а также проводников (шин) корытообразного сечения с высотой профиля 0,1 м и более следует принимать Кф = 1,0.
5.1.2 Наибольшее значение электродинамической силы имеет место при ударном токе КЗ.
5.1.3 Максимальную силу F^aX, Н, (эквивалентную равномерно распределенной подлине пролета нагрузки), действующую в трехфазной системе проводников на расчетную фазу при трехфазном КЗ, следует определять по формуле
f(3) = Уз •10-7 I (,(3))2 кфк ‘ max *’ уд ‘ кфкрасп>
где l — длина пролета, м;
iу3) — ударный ток трехфазного КЗ, А;
к
расп — коэффициент, зависящий от взаимного расположения проводников.
Значения коэффициента Красп для некоторых типов шинных конструкций (рисунок2) указаны в таблице. 1.
|
^тах ^»раст |
а
|
^»тах ^»раст |
|
Рисунок 2 — Схемы взаимного расположения шинных конструкций |
|
Таблица 1 — Значения коэффициента К расп |
||||||||||||||||||||||||||||||||||||||||||||||||||||||
|
||||||||||||||||||||||||||||||||||||||||||||||||||||||
При двухфазном КЗ максимальную силу определяют по формуле
F(2) = 2‘10 l(i(2))2 КфК ^3)
1 max 1 \’у^ КфКрасп’
a
где iу2) — ударный ток двухфазного КЗ, А.
5.2 Выбор расчетной механической схемы шинных конструкций и гибких проводников
5.2.1 Методику расчета электродинамической стойкости шинных конструкций и гибких проводников следует выбирать на основе расчетной механической схемы, учитывающей их особенности.
5.2.2 Следует различать:
— статические системы, обладающие высокой жесткостью, у которых шины и изоляторы при КЗ остаются неподвижными;
— динамические системы с жесткими опорами, у которых изоляторы при КЗ считаются неподвижными, а шины колеблются;
— динамические системы с упруго податливыми опорами, в которых при КЗ колеблются и шины, и опоры;
— динамические системы с гибкими проводниками.
5.2.3 Расчетные механические схемы шинных конструкций различных типов, обладающих высокой жесткостью, представлены в таблице 2.
|
Таблица 2 — Расчетные схемы шинных конструкций |
|||||||||||||||||||||||||||||||||||||||
|
|||||||||||||||||||||||||||||||||||||||
|
* Для крайних пролетов. ** Для средних пролетов. Примечание — Коэффициент X используют при определении максимального напряжения в материале проводника, р — при определении нагрузки на изолятор, г, — параметр основной частоты собственных колебаний шины. |
|||||||||||||||||||||||||||||||||||||||
Расчетные схемы имеют вид равнопролетной балки, лежащей или закрепленной на жестких опорах и подвергающейся воздействию равномерно распределенной нагрузки.
Различают следующие типы шинных конструкций и соответствующих расчетных механических
схем:
— шинная конструкция, длина которой равна длине одного пролета; для нее расчетной схемой является балка с шарнирным опиранием на обеих опорах пролета (таблица 2, схема № 1);
— шинная конструкция, длина которой равна длине одного пролета, с одной простой и одной неподвижной опорами; для нее расчетной схемой является балка с шарнирным опиранием на простой опоре и жестким опиранием (защемлением) на неподвижной опоре пролета (таблица 2, схема № 2);
— шинная конструкция, длина которой равна длине одного пролета, с неподвижными опорами; для нее расчетной схемой является балка с жестким опиранием (защемлением) на обеих опорах пролета (таблица 2, схема № 3);
— шинные конструкции, длина которых равна длине двух, трех и более пролетов; для них расчетной схемой является балка с шарнирным опиранием на каждой из опор (таблица 2, схемы № 4 и 5).
5.2.4 Расчетной схемой шинной конструкции с упруго податливыми опорами следует считать схему, в которой масса шины распределена подлине пролета, а опоры представлены телами с эквивалентной массой М и пружинами с жесткостью Соп.
5.2.5 Для гибких проводников в качестве расчетной схемы применяют схему с жестким стержнем, ось которого очерчена по цепной линии. Гирлянды изоляторов вводят в механическую схему в виде жестких стержней, шарнирно соединенных с проводниками и опорами. Размеры стержней расчетной схемы определяют из статического расчета на действие сил тяжести.
5.3 Допустимые механические напряжения в материале проводников и механические нагрузки на опоры при коротком замыкании
5.3.1 Допустимое напряжение в материале жестких шин стдоп, Па, следует принимать равным 70% временного сопротивления разрыву материала шин Стр
°доп _ 0,7стр. (4)
Допустимое напряжение в материале шин должно быть ниже предела текучести этого материала.
Временные сопротивления разрыву и допустимые напряжения в материалах шин приведены в таблице 3.
В зоне сварных соединений шин их временное сопротивление разрыву снижается. Его значение обычно определяют экспериментально; при отсутствии экспериментальных данных значения временного сопротивления разрыву, а также допустимого напряжения следует принимать, используя данные таблицы 3.
|
Таблица 3 — Основные характеристики материалов шин |
||||||||||||||||||||||||||||||||||||||||||||||||||||||||||||||
|
||||||||||||||||||||||||||||||||||||||||||||||||||||||||||||||
5.3.2 В зависимости от взаимного расположения шин и изоляторов последние при воздействии на них электродинамических сил работают на изгиб или растяжение (сжатие) или одновременно на изгиб и растяжение (сжатие). В общем случае допустимую нагрузку на изолятор (изоляционную опору) Гдоп следует принимать равной 60% минимальной разрушающей нагрузки Fpa3p, приложенной к вершине изолятора (опоры) при изгибе или разрыве
^доп _ °,6^разр- (5)
5.3.3 В случае работы изолятора на изгиб или растяжение (сжатие) значения допустимых нагрузок
на изолятор(опору)F
и F^ р, Н, следует принимать соответственно равными:
^оп.изг °,6 ^азр.изг; Fдоп.p _ °,6 Fpaзp.p,
доп.изг доп.р
(6)
где ^азр.изг и Fpaзp.p ‘
задаваемые предприятием-изготовителем минимальные разрушающие нагрузки соответственно при изгибе и растяжении (сжатии) изолятора, Н.
5.3.4 Допустимую нагрузку на спаренные изоляторы (опоры) следует принимать равной 50 % суммарного разрушающего усилия изоляторов (опор)
^оп _ 0,5^азр & (7)
где Fp^p Е — суммарное разрушающее усилие спаренных изоляторов (опор), Н.
5.3.5 При удалении центра масс шины от вершины опорного изолятора, например, когда плоская шина поставлена на ребро (рисунок 3а, б), значение допустимой нагрузки на опорный изолятор при изгибе следует пересчитать в соответствии с формулой
^оп _ ^^азр.изгh , где N — коэффициент допустимой нагрузки, равный 0,6 или 0,5 (5.3.2—5.3.4); h и Н — расстояния от опасного сечения изолятора соответственно до его вершины и центра масс поперечного сечения шины, м.
Опасное сечение опорно-стержневых изоляторов с внутренним креплением арматуры (рисунок 3а) следует принимать у опорного фланца, опорно-стержневых изоляторов с внешним креплением арматуры (рисунок3б, в) — у кромки нижнего фланца, а опорно-штыревых изоляторов (рисунок3г) — на границе контакта штыря с фарфоровым телом изолятора.
Допустимую изгибающую нагрузку многоярусных изоляционных опор (колонок изоляторов) (рисунок 3г, д) следует принимать равной допустимой нагрузке наименее прочного яруса, определяемой по формуле (8).
|
7777/ 7777 |
|
Рисунок 3 — Определение допустимых нагрузок на изоляторы и изоляционные опоры |
в г д
5.3.6 При расположении фаз по вершинам треугольника (рисунок2б, в, г) изоляторы одновременно испытывают как растягивающие (сжимающие), так и изгибающие усилия. Допустимые изгибающую •доп изг и растягивающую Гдоп р нагрузки в ньютонах следует определять по формулам (6).
5.3.7 Допустимое напряжение в материале гибких проводников стдоп, МПа, следует принимать равным
°доп Nстпр,
(9)
где N — коэффициент допустимой нагрузки, равный 0,35—0,50; стпр — предел прочности при растяжении, Н.
5.3.8 Допустимую нагрузку на подвесные изоляторы следует принимать равной 30 % разрушающей нагрузки, т. е.
(10)
•доп °,3^разр.
5.3.9 Расстояния между проводниками фаз Аф^, а также между проводниками и заземленными частями Лф-з шинных конструкций напряжением 35 кВ и выше и проводников ошиновки распределительных устройств и воздушных линий, а также токопроводов к моменту отключения КЗ должны оставаться больше допустимых изоляционных расстояний, определяемых при рабочих напряжениях, т. е.
Аф-ф > Аф-ф.доп; Аф-з > Аф-з.доп,
(11)
и Аф-здоп— минимально допустимые расстояния по условиям пробоя соответственно между проводниками фаз и проводниками и заземленными частями при рабочем напряжении.
где А
5.4 Определение механических напряжений в материале проводников и механических нагрузок на опоры при коротком замыкании
5.4.1 Расчет шинных конструкций, обладающих высокой жесткостью
5.4.1.1 При расчете шинной конструкции, обладающей высокой жесткостью, шину в любом пролете между изоляторами, кроме крайних, следует рассматривать как стержень (балку). Наличие ответвлений допускается не учитывать.
5.4.1.2 Максимальное напряжение в материале шины amax, Па, и нагрузку на изолятор шинной конструкции высокой жесткости F^, Н, при трехфазном КЗ следует определять по формулам:
ф-ф.доп
(12)
М и
W
F(3) l
1 maxt.
XW ’
F (3) _BF (3)
(13)
• 1лп m
из max
где Fmax — максимальная сила, возникающая в многопролетной балке при трехфазном КЗ, Н, определяемая по формуле (2);
l — длина пролета, м;
X и р — коэффициенты, зависящие от условия опирания (закрепления) шин, а также числа пролетов конструкции с неразрезными шинами (таблица 2);
W — момент сопротивления поперечного сечения шины, м3; формулы для его расчета приведены в таблице 4.
Таблица 4-ний шин
■ Формулы для определения момента инерции J и момента сопротивления Wпоперечных сече-
|
Расчетные формулы |
|
|
J, м4 |
W, м3 |
|
I bh3Jy _ 12 |
… bh2Wy _ IT |
Форма поперечного сечения и расположение шин
Продолжение таблицы 4
|
Расчетные формуёы |
|
|
J, м4 |
W, м3 |
|
hb 3Jy _ 12 |
… hb2Wy ■ -in |
|
bh 3Jy _ 6 |
… bh2Wy _-3- |
|
hb 3* Jy _ 6 |
… hb2Wy _ 3 |
|
, H4— h 4Jy _ 12 |
H4— h 4 Wy _- y 6H |
|
%D 4Jy _ 64 |
Wy _’D 3 y 32 |
|
_n(D 4— d 4) y 64 |
Wy _^ 4— d 4) y 32D |
|
j _ h4 Jy _ 12 |
… H3 Wy _ t |
|
j _ h4 Jy _ 12 |
H3 Wy _^^ y 6^2 |
Форма поперечного сечения и распоёожение шин
|
i.» |
|
|
_ |
|
|
W- |
W-
и
н
|
i |
|||
|
6 |
|||
|
* |
X |
||
Окончание таблицы 4
|
Форма поперечного сечения и расположение шин |
|
||||||||||||
Примечание — Когда прокладки приварены к обеим полосам пакета, то вместо формул, отмеченных и 1, следует применять формулы:
|
ay |
|
|
J |
2a=: |
|
P |
X 23 |
|
] |
|
|
b |
hb (3a2 + b 2);3 (an + b)
, hb
Jy— — (3a2 + b 2); Wy _
При двухфазном КЗ
„ _ F^al l; (14)
°max _ XW ’
F(2) _RF(2) (15)
1 из Ь» max’ v 7
Где F(2) — максимальная сила, возникающая в многопролетной балке при двухфазном КЗ, Н, и опре-
max
деляемая по формуле (3).
При расчете напряжений в области сварных соединений, находящихся на расстоянии Zот опорного сечения, в формулы (12) и (14) следует подставлять значения A(Z), вычисленные в соответствии с таблицей А.1 (приложение А).
5.4.1.3 Электродинамические нагрузки на отдельные проводники составных шин (рисунок 4) обусловлены взаимодействием их токов с токами проводников других фаз и с токами других элементов проводника одной и той же фазы. Максимальное напряжение в материале составных шин при КЗ допускается определять по формуле
CTmax _ стф.тах + стэл.max, (16)
где Стф max — максимальное напряжение в материале шины, обусловленное взаимодействием тока данного проводника с токами проводников других фаз, Па, которое в зависимости от вида КЗ следует определять по формулам (12) или (14); стэл max — максимальное напряжение в материале шины, обусловленное взаимодействием токов отдельных элементов проводника одной фазы, Па, которое следует определять по формуле
_ _ 2 • 10—7/ЭлКф f /уд ^2 (17)
стэл.тах , „ I „ I ,
Хаэл^Эл I n )
где /эл — расстояние между осями прокладок, м;
аэл — расстояние между осями поперечных сечений элементов составных шин, м (рисунок 4);
— момент сопротивления поперечного сечения элемента составной шины, м3;
/уд — ударный ток трехфазного или двухфазного КЗ, А; n — число проводников в одной фазе.
|
Рисунок 4 — Двухполосная шина |
5.4.2 Расчет шинных конструкций с жесткими опорами
5.4.2.1 Шинную конструкцию, изоляторы которой обладают высокой жесткостью, в расчетах на динамическую стойкость при КЗ следует представлять как стержень с защемленными концами, имеющий лишь основную частоту собственных колебаний.
5.4.2.2 Максимальное напряжение в материале шин сттах, Па, и нагрузку на изоляторы Гиз, Н, при
расположении шин в одной плоскости и высокой жесткости изоляторов шинной конструкции следует
определять по формулам:
при трехфазном КЗ
„ _ Fmax i. (18)
сттах _ XW П;
Fi33) _Р’=т3)хП; (19)
при двухфазном КЗ
F(2) l 1 max lr
XW
Fи(з2) = PFrmaX^>
(21)
где л — коэффициент динамической нагрузки, зависящий от основной частоты собственных колебаний шины fi (5.4.2.3) и от ударного коэффициента тока %. Значения коэффициента л для двухфазного и трехфазного КЗ в зависимости от отношения /1//синх (/синх = 50 Гц) при разных коэффициентах % следует определять по графикам, приведенным на рисунке 5.
|
Рисунок 5 — Зависимость коэффициента динамической нагрузки для изоляторов и шин от частоты собственных колебаний шины при различных ударных коэффициентах %: 1 — % > 1,6; 2 — % =1,4; 3 — % =1,25; 4 — % = 1,1; 5 — % =1,0 |
5.4.2.3 Расчетную частоту собственных колебаний шины /1, Гц, следует определять по форму











