Флюсы сварочные плавленые для автоматической сварки. Технические условия
На нашем сайте можно бесплатно скачать Руководящий документ ГОСТ Р 52222-2004 в удобном формате. Узнать актуальный статус документа «Флюсы сварочные плавленые для автоматической сварки. Технические условия» на 2016 год.
Скрыть дополнительную информацию
Страница 1

Страница 2

Страница 3

Страница 4

Страница 5

Страница 6

Страница 7

Страница 8

Страница 9

Страница 10

Страница 11

Страница 12

Страница 13

Страница 14

Страница 15

Страница 16
ГОСТ Р 52222-2004
НАЦИОНАЛЬНЫЙ СТАНДАРТ РОССИЙСКОЙ ФЕДЕРАЦИИ
ФЛЮСЫ СВАРОЧНЫЕ ПЛАВЛЕНЫЕ ДЛЯ АВТОМАТИЧЕСКОЙ СВАРКИ
Технические условия
Издание официальное
БЗ 8-2003/130
ГОССТАНДАРТ РОССИИ М о с к в а
Предисловие
1 РАЗРАБОТАН Федеральным государственным унитарным предприятием «Государственный научный центр Российской Федерации Научно-производственного объединения по технологии машиностроения (ЦНИИТМАШ)»
ВНЕСЕН Техническим комитетом по стандартизации ТК 364 «Сварка и родственные процессы» ПК-1 «Материалы для сварки и наплавки»
2 УТВЕРЖДЕН И ВВЕДЕН В ДЕЙСТВИЕ Постановлением Госстандарта России от 12 февраля 2004 г. № 58-ст
3 ВВЕДЕН ВПЕРВЫЕ
© ИПК Издательство стандартов, 2004
Настоящий стандарт не может быть полностью или частично воспроизведен, тиражирован и распространен в качестве официального издания без разрешения Госстандарта России
Содержание
1 Область применения ………………………………………………. 1
2 Нормативные ссылки………………………………………………. 1
3 Марки ………………………………………………………… 2
4 Технические требования ……………………………………………. 4
5 Требования безопасности и охраны окружающей среды……………………….. 7
6 Правила приемки ………………………………………………… 8
7 Методы испытаний……………………………………………….. 9
8 Маркировка, упаковка, транспортирование и хранение ……………………….. 9
9 Гарантии изготовителя……………………………………………… 10
Приложение А Область применения сварочных флюсов ……………………….. 11
Приложение Б Библиография …………………………………………. 11
к ГОСТ Р 52222-2004 Флюсы сварочные плавленые для автоматической сварки. Технические условия
|
Напечатано |
Должно быть |
||||
|
Марка флюса |
Массовая доля |
Марка флюса |
Массовая доля |
||
|
серы фосфора |
серы |
фосфора |
|||
|
Не более |
Не более |
||||
|
АН-348В, АН-348ВМ, АН-348ВД, АН-348ВДМ, АН-348ВП, АН-348ВПМ |
0,11 |
0,13 |
АН-348В |
0,11 |
0,13 |
|
0,09 |
0,10 |
АН-348ВМ, АН-348ВД, АН-348ВДМ, АН-348ВП, АН-348ВПМ |
0,09 |
0,10 |
|
|
АН-42, АН-42М |
0,05 |
0,07 |
АН-42 |
0,05 |
0,07 |
|
0,03 |
0,01 |
АН-42М |
0,03 |
0,01 |
|
|
АНЦ-1А, АНЦ-1АМ, АНЦ-1АД, АНЦ-1АДМ, АНЦ-1АП, АНЦ-1АПМ |
0,09 |
0,10 |
АНЦ-1А, АНЦ-1АМ |
0,10 |
0,12 |
|
АНЦ-1АД, АНЦ-1АДМ, АНЦ-1АП, АНЦ-1АПМ |
0,09 |
0,10 |
|||
|
ОСЦ-45, ОСЦ-45М, ОСЦ-45Д, ОСЦ-45ДМ, ОСЦ-45П, ОСЦ-45ПМ |
0,11 |
0.14 |
OCU-45 |
0,11 |
0,14 |
|
0,10 |
OCU-45M |
0,10 |
|||
|
ОСЦ-45Д |
0,10 |
0,12 |
|||
|
0,10 |
0,12 |
ОСЦ-45ДМ, ОСЦ-45П, ОСЦ-45ПМ |
0,10 |
||
|
0,10 |
|||||
(МУС №4 2005 г.)
В каком месте
С. 3. Продолжение таблицы 1
С. 4. Окончание таблицы 1
НАЦИОНАЛЬНЫЙ СТАНДАРТ РОССИЙСКОЙ ФЕДЕРАЦИИ
ФЛЮСЫ СВАРОЧНЫЕ ПЛАВЛЕНЫЕ ДЛЯ АВТОМАТИЧЕСКОЙ СВАРКИ
Технические условия
Fused fluxes for automatic welding.
Specifications
Дата введения 2005—01—01
1 Область применения
Настоящий стандарт распространяется на сварочные плавленые флюсы (далее — флюсы), применяемые для автоматической и механизированной сварки сталей и наплавки.
2 Нормативные ссылки
В настоящем стандарте использованы ссылки на следующие стандарты:
ГОСТ 12.1.005-88 Система стандартов безопасности труда. Общие санитарно-гигиенические требования к воздуху рабочей зоны
ГОСТ 12.1.007-76 Система стандартов безопасности труда. Вредные вещества. Классификация и общие требования безопасности
ГОСТ 12.1.016-79 Система стандартов безопасности труда. Воздух рабочей зоны. Требования к методикам измерения концентрации вредных веществ
ГОСТ 12.1.030-81 Система стандартов безопасности труда. Электробезопасность. Защитное заземление, зануление
ГОСТ 12.2.007.0-75 Система стандартов безопасности труда. Изделия электротехнические. Общие требования безопасности
ГОСТ 12.4.021-75 Система стандартов безопасности труда. Системы вентиляционные. Общие требования
ГОСТ 1770-74 Посуда мерная лабораторная стеклянная. Цилиндры, мензурки, колбы, пробирки. Общие технические условия
ГОСТ 2226-88 (ИСО 6590-1—83, ИСО 7023—83) Мешки бумажные. Технические условия ГОСТ 3826-82 Сетки проволочные тканые с квадратными ячейками. Технические условия ГОСТ 6613-86 Сетки проволочные тканые с квадратными ячейками. Технические условия ГОСТ 14192-96 Маркировка грузов
ГОСТ 15150-69 Машины, приборы и другие технические изделия. Исполнения для различных климатических районов. Категории, условия эксплуатации, хранения и транспортирования в части воздействия климатических факторов внешней среды
ГОСТ 15846-2002 Продукция, отправляемая в районы Крайнего Севера и приравненные к ним местности. Упаковка, маркировка, транспортирование и хранение
ГОСТ 19667-74 Контейнер специализированный групповой массой брутто 5,0 т для штучных грузов
ГОСТ 22974.1-96 Флюсы сварочные плавленые. Методы разложения флюсов
ГОСТ 22974.2-96 Флюсы сварочные плавленые. Методы определения оксида кремния
ГОСТ 22974.3-96 Флюсы сварочные плавленые. Методы определения оксида марганца (II)
ГОСТ 22974.4-96 Флюсы сварочные плавленые. Методы определения оксида алюминия
ГОСТ 22974.5-96 Флюсы сварочные плавленые. Методы определения оксида кальция и ок
сида магния
Издание официальное
ГОСТ 22974.6-96 Флюсы сварочные плавленые. Методы определения оксида железа (III)
ГОСТ 22974.7-96 Флюсы сварочные плавленые. Методы определения фосфора
ГОСТ 22974.8-96 Флюсы сварочные плавленые. Методы определения оксида циркония
ГОСТ 22974.9-96 Флюсы сварочные плавленые. Методы определения оксида титана (IV)
ГОСТ 22974.10-96 Флюсы сварочные плавленые. Методы определения оксида натрия и оксида калия
ГОСТ 22974.11-96 Флюсы сварочные плавленые. Методы определения фторида кальция
ГОСТ 22974.12-96 Флюсы сварочные плавленые. Методы определения серы
ГОСТ 22974.13-96 Флюсы сварочные плавленые. Методы определения углерода
ГОСТ 22974.14-96 Флюсы сварочные плавленые. Методы определения содержания влаги
ГОСТ 26380-84 Контейнеры специализированные групповые. Типы, основные параметры и размеры
ГОСТ 26663-85 Пакеты транспортные. Формирование с применением средств пакетирования. Общие технические требования
ГОСТ Р 51121-97 Товары непродовольственные. Информация для потребителя. Общие требования
3 Марки
3.1 Флюсы изготовляют следующих марок: АН-348А, АН-348АМ, АН-348АД, АН-348АДМ, АН-348АП, АН-348АПМ, АН-348В, АН-348ВМ, АН-348ВД, АН-348ВДМ, АН-348ВП, АН-348ВПМ, АН-42, АН-42М, АН-47, АН-47Д, АН-47ДП, АН-60, АН-60М, АН-67А, АН-67Б, АН-8, АНЦ-1А, АНЦ-1АМ, АНЦ-1АД, АНЦ-1АДМ, АНЦ-1АП, АНЦ-1АПМ, ОСЦ-45, ОСЦ-45М, ОСЦ-45Д, ОСЦ-45ДМ, ОСЦ-45П, ОСЦ-45ПМ, ФВТ-1, ФЦ-9, ФЦ-11, ФЦ-16, ФЦ-16А, ФЦ-21, ФЦ-22, АН-15М, АН-18, АН-20С, АН-20СМ, АН-20П, АН-22, АН-26С, АН-26П, АН-26СП, ФЦ-17, ФЦ-18, ФЦ-19.
3.2 Химический состав флюсов должен соответствовать приведенному в таблице 1.
В процентах
|
Таблица 1 — Химический состав флюсов |
|||||||||||||||||||||||||||||||||||||||||||||||||||||||||||||||||||||||||||||
|
|||||||||||||||||||||||||||||||||||||||||||||||||||||||||||||||||||||||||||||
|
Продолжение таблицы 1 В процентах |
||||||||||||||||||||||||||||||||||||||||||||||||||||||||||||||||||||||||||||||||||||||||||||||||||||||||||||||||||||||||||||
|
||||||||||||||||||||||||||||||||||||||||||||||||||||||||||||||||||||||||||||||||||||||||||||||||||||||||||||||||||||||||||||
|
Продолжение таблицы 1 В процентах |
|||||||||||||||||||||||||||||||||||||||||||||||||||||||||||||||||||||||||||||||||||||||||||||||||||||||||||||||||||||||||||||||||||||||
|
|||||||||||||||||||||||||||||||||||||||||||||||||||||||||||||||||||||||||||||||||||||||||||||||||||||||||||||||||||||||||||||||||||||||
|
В процентах Окончание таблицы 1 |
|||||||||||||||||||||||||||||||||||||||||||||||||||||||||||||||||||||||||||||||||||||||||||||||||||||||||||||||||||||||||||||||||||||||||||||||||||||||||||||||||||||||||
|
|||||||||||||||||||||||||||||||||||||||||||||||||||||||||||||||||||||||||||||||||||||||||||||||||||||||||||||||||||||||||||||||||||||||||||||||||||||||||||||||||||||||||
Примечания
1 Содержание оксидов железа во флюсах всех марок приведено в пересчете на оксид железа (III).
2 Содержание во флюсе АН-67А В2О3 не более 0,4 %.
3 Содержание углерода во флюсах АН-67А, Б, АН-47Д и П не более 0,1 %; во флюсах АН-26С, П или СП не более 0,05 %.
3.3 Рекомендуемые области применения флюсов в соответствии с приложением А.
4 Технические требования
4.1 Флюсы следует изготовлять в пламенных или электродуговых печах, а также методом двойного рафинирования (дуплекс-процессом) и выплавлять партиями в соответствии с 6.2 настоящего стандарта.
4.2 Флюсы следует изготовлять в виде однородных зерен. Содержание инородных частиц (нерастворившихся частиц сырьевых материалов, угля, графита, кокса, металлических частиц и др.) не должно превышать:
— 0,2 % массы для флюсов марок АН-348А, АН-348АМ, АН-348АД, АН-348АДМ, АН-348АП, АН-348АПМ, АН-348В, АН-348ВМ, АН-348ВД, АН-348ВДМ, АН-348ВП, АН-348ВПМ, АН-42, АН-42М, АН-47, АН-47Д, АН-47ДП, АН-60, АН-60М, АН-67А, АН-67Б, АН-8, АНЦ-1А, АНЦ-1АМ, АНЦ-1АД, АНЦ-1АДМ, АНЦ-1АП, АНЦ-1АПМ, ОСЦ-45, ОСЦ-45М, ОСЦ-45Д, ОСЦ-45ДМ, ОСЦ-45П, ОСЦ-45ПМ, ФВТ-1, ФЦ-9, ФЦ-11, ФЦ-21, ФЦ-22, АН-15М, АН-18, АН-20С, АН-20СМ, АН-20П, АН-22;
— 0,1 % массы для флюсов марок ФЦ-16, ФЦ-16А, АН-26П, АН-26С, АН-26СП, ФЦ-17, ФЦ-18, ФЦ-19.
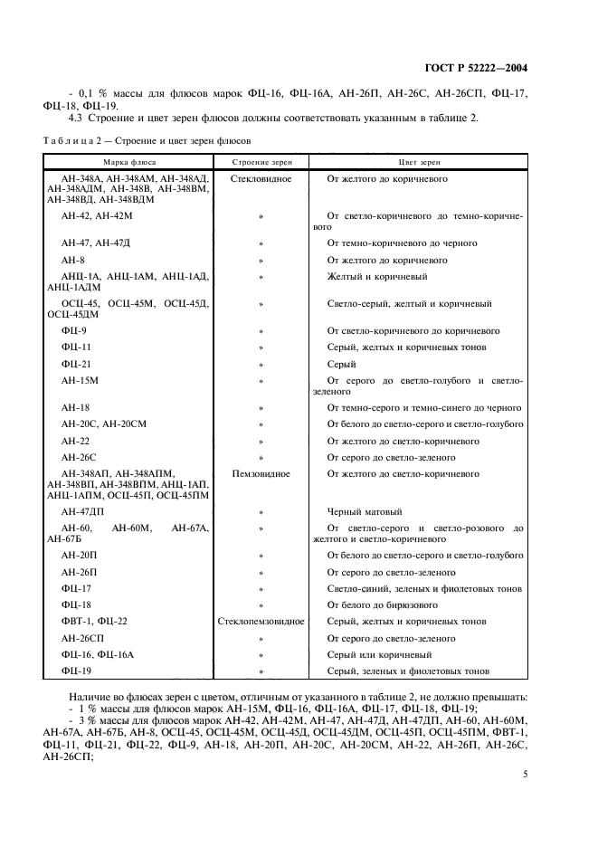
4.3 Строение и цвет зерен флюсов должны соответствовать указанным в таблице 2.
|
Таблица 2 — Строение и цвет зерен флюсов |
||||||||||||||||||||||||||||||||||||||||||||||||||||||||||||||||||||||||||||||
|
Наличие во флюсах зерен с цветом, отличным от указанного в таблице 2, не должно превышать:
— 1 % массы для флюсов марок АН-15М, ФЦ-16, ФЦ-16А, ФЦ-17, ФЦ-18, ФЦ-19;
— 3 % массы для флюсов марок АН-42, АН-42М, АН-47, АН-47Д, АН-47ДП, АН-60, АН-60М, АН-67А, АН-67Б, АН-8, ОСЦ-45, ОСЦ-45М, ОСЦ-45Д, ОСЦ-45ДМ, ОСЦ-45П, ОСЦ-45ПМ, ФВТ-1, ФЦ-11, ФЦ-21, ФЦ-22, ФЦ-9, АН-18, АН-20П, АН-20С, АН-20СМ, АН-22, АН-26П, АН-26С, АН-26СП;
— 10 % массы для флюсов марок АН-348А, АН-348АМ, АН-348АД, АН-348АДМ, АН-348АП, АН-348АПМ, АН-348В, АН-348ВМ, АН-348ВД, АН-348ВДМ, АН-348ВП, АН-348ВПМ, АНЦ-1А, АНЦ-1АМ, АНЦ-1АД, АНЦ-1АДМ, АНЦ-1АП, АНЦ-1АПМ.
4.4 Размеры зерен флюса должны соответствовать приведенным в таблице 3.
В миллиметрах
|
Таблица 3 — Размер зерен флюсов |
||||||||||
|
Не допускается наличие во флюсах зерен размером, превышающим соответственно 1,60; 2,50; 2,80; 4,00 мм, и зерен размером менее 0,25 и 0,35 мм в количестве более 3 % массы флюса.
По согласованию изготовителя с потребителем допускается изготовлять флюс с размером зерен, отличным от приведенного в таблице 3. При этом размеры зерен и допустимые отклонения следует указывать в заказе.
4.5 Насыпная плотность флюсов должна соответствовать указанной в таблице 4.
В граммах/см
|
Таблица 4 — Насыпная плотность флюса л |
||||||||||||||||||||||||||||||
|
4.6 Влажность флюсов перед их использованием для сварки не должна превышать:
— 0,05 % массы флюса для флюсов марок АН-348АП, АН-60, АН-47Д, АН-47ДП, АН-67А, АН-67Б, ОСЦ-45П, ФЦ-21, ФЦ-22, АН-18, АН-20П, АН-20С, АН-22;
— 0,08 % массы флюса для флюсов марок АН-8, АН-15М, АН-47, ФЦ-16, ФЦ-16А, ФЦ-17, ФЦ-18, ФЦ-19;
— 0,1 % массы флюса для остальных марок.
4.7 Флюсы, выплавляемые в электрических печах и методом двойного рафинирования, перед упаковкой следует подвергать магнитной сепарации.
4.8 Флюс марки АН-26СП допускается изготовлять смешиванием выплавленных отдельно флюсов марок АН-26С и АН-26П в пропорции 1:1 по массе.
5 Требования безопасности и охраны окружающей среды
5.1 Работа с флюсами при их изготовлении, сортировке, упаковке, транспортировании, контроле качества может сопровождаться выделением пыли, содержащей кремнистые, марганцевые, фтористые соединения. Флюсовая пыль относится к химически опасным и вредным производственным факторам. По характеру воздействия на организм человека флюсовая пыль является токсичной, раздражающей и сенсибилизирующей. Пути проникновения пыли в организм человека — через органы дыхания, кожный покров и слизистую оболочку.
5.2 При изготовлении флюсов обеспечение условий труда работающих следует осуществлять в соответствии с требованиями санитарных правил [1].
5.3 Содержание вредных веществ в воздухе рабочей зоны при работе с флюсами не должно превышать предельно допустимых концентраций (ПДК), регламентированных ГОСТ 12.1.005, ГОСТ 12.1.016.
5.4 Применение флюсов сопровождается следующими опасными и вредными производственными факторами:
— загрязнением воздуха сварочным аэрозолем и пылью флюсов;
— повышенной температурой свариваемого изделия, поверхности оборудования и воздуха рабочей зоны;
— высоким уровнем напряжения в электрической цепи на рабочем месте, опасным для жизни человека.
5.5 Для предупреждения профессиональных заболеваний, а также во избежание несчастных случаев при производстве, сортировке, упаковке, транспортировании, контроле качества флюсов следует соблюдать (выполнять) требования ГОСТ 12.1.005, ГОСТ 12.1.007.
5.6 Интенсивность и удельные выделения твердых составляющих сварочного аэрозоля (ТССА) в зоне сварки под флюсами на интенсивном режиме должны составлять не более:
— 0,056 г/мин и 0,36 г/кг проволоки для стекловидных среднекремнистых среднемарганцевых флюсов;
— 0,075 г/мин и 0,49 г/кг проволоки — для стекловидных высококремнистых высокомарганцевых флюсов;
— 0,054 г/мин и 0,35 г/кг проволоки — для пемзовидных высококремнистых высокомарганцевых флюсов.
5.7 Химический состав ТССА приведен в таблице 5, удельное выделение компонентов сварочного аэрозоля (СА) — в таблице 6.
|
Таблица5 — Химический состав ТССА |
||||||||||||||||||||||||||||||||||||||
|
||||||||||||||||||||||||||||||||||||||
|
Таблица 6 — Удельные выделения вредных веществ в зоне сварки |
||||||||||||||||||||||||||||||||||||||||||
|
||||||||||||||||||||||||||||||||||||||||||
5.8 Все приборы и электроустановки должны быть снабжены устройствами для заземления в соответствии с требованиями ГОСТ 12.1.030 и ГОСТ 12.2.007.
5.9 Помещения лаборатории должны иметь общеобменную приточно-вытяжную вентиляцию по ГОСТ 12.4.021.
5.10 Флюсы для автоматической сварки при хранении не являются источником образования вредных веществ и других вредных производственных факторов.
6 Правила приемки
6.1 Флюсы следует принимать партиями. Каждая партия флюса должна состоять из флюса одной марки, изготовленной по единой технологии и из сырьевых материалов, поставляемых по единым стандартам или техническим условиям и оформляться одним документом о качестве, содержащим:
— наименование предприятия-изготовителя и его товарный знак;
— марку флюса, торговую марку флюса, условное обозначение;
— номер партии флюса и дату изготовления (упаковки);
— массу партии флюса;
— результаты проверки контролируемых показателей качества флюса;
— обозначение настоящего стандарта.
6.2 Масса партии флюса не должна превышать 80 т при выплавке в печах емкостью свыше 5 т. В печах малой емкости, т. е. до 5 т, масса партии флюса не должна превышать 20 т.
6.3 Отбор проб для контроля качества флюса проводят после просева и просушки флюса перед засыпкой в бункер.
6.3.1 Для контроля качества флюса от каждой его партии отбирают выборку массой не менее
10 кг, составленную из точечных проб. Отбор точечных проб выполняет изготовитель флюса в процессе упаковки продукции. Масса каждой точечной пробы должна составлять 0,05—0,3 кг.
При упаковке флюса в мешки отбирают одну точечную пробу от каждого десятого мешка.
При упаковке в контейнеры отбирают не менее четырех точечных проб от каждого контейнера, причем следует брать пробы, при засыпке флюса пересекая полностью поток.
При подаче флюса в бункер отбирают не менее четырех точечных проб с движущегося транспортного средства за час.
6.3.2 Отобранную выборку тщательно перемешивают, после чего методом квартования отбирают пробу массой не менее 2,5 кг. От этой пробы отделяют одну навеску массой 500 г для определения химического состава флюса, после чего оставшийся флюс квартуют, получая четыре порции, каждая массой не менее 0,5 кг, из которых две порции отбирают для двух параллельных определений насыпной плотности, третью порцию делят пополам, получая две порции по 250 г для определения гранулометрического состава, и от последней порции после квартования отбирают две навески по (100 ± 5) г для контроля однородности.
6.4 При получении неудовлетворительных испытаний по одному из показателей по этому показателю проводят повторное испытание на удвоенной пробе, взятой из той же партии флюса.
Результаты повторных испытаний являются окончательными.
6.5 По согласованию изготовителя с потребителем при необходимости доказательств качества партии сварочного плавленого флюса проводят контроль сварочно-технологических свойств.
7 Методы испытаний
7.1 Химический состав флюса определяют по ГОСТ 22974.1 — ГОСТ 22974.14. Допускается применение других методов анализа, если их метрологические характеристики не уступают характеристикам методов, включенных в вышеуказанные стандарты. При этом в случае возникновения разногласий в определении химического состава флюса испытания проводят по ГОСТ 22974.1 — ГОСТ 22974.14.
7.2 Насыпную плотность флюса определяют наполнением мерного стеклянного цилиндра вместимостью 500 смз по ГОСТ 1770 или другим нормативным документом. Наполнение цилиндра флюсом выполняют без уплотнения из емкости с носиком с высоты не более 20 мм над верхней кромкой цилиндра. Флюс взвешивают с погрешностью не более 1 г.
Насыпную плотность флюса Рф, г/смз, вычисляют по формуле
— M
рф у , (1)
где М — масса флюса, заполнившего цилиндр, г;
V — объем цилиндра, смз.
7.3 Размер зерен и гранулометрический состав флюса определяют одновременным рассевом
навески на трех ситах с ячейками соответствующего размера в течение (60 ± 5) с и последующим
взвешиванием остатка на крупном сите и просева под мелкими ситами с погрешностью не более 0,1 %. Относительное количество зерен X, %, вычисляют по формуле
X — M 100 %, (2)
где т — масса остатка на крупном сите или просева под мелким ситом, г;
М — общая масса навески, г.
Для определения гранулометрического состава флюса следует применять сита с сетками № 025, № 035, № 1,6, № 2,8, № 4,0 по ГОСТ 3826 или ГОСТ 6613.
7.4 Для определения влажности флюса навеску массой (100 ± 5) г помещают в предварительно высушенную металлическую чашку и выдерживают при температуре (300 ± 10) °С в сушильном шкафу в течение (60 ± 5) мин. После охлаждения в эксикаторе в течение (40 ± 5) мин пробу взвешивают. Влажность флюса В§, %, вычисляют по формуле
Вф — MMM 100 %, (3)
где Мх — исходная масса навески, г;
М2 — конечная масса навески, г.
За окончательный результат анализа принимают среднеарифметическое результатов двух параллельных измерений, расхождение между которыми не должно превышать при влажности:
— от 0,02 до 0,04—0,005 %;
— от 0,04 до 0,08—0,007 %;
— от 0,08 до 0,20—0,10 %.
7.5 Однородность строения и цвет флюса контролируют визуальным осмотром навески массой (100 ± 5) г при увеличении не менее чем в 2,5 раза. Частицы другого цвета, а также инородные частицы отбирают и взвешивают. Результаты взвешивания выражают в процентах от массы навески.
8 Маркировка, упаковка, транспортирование и хранение
8.1 На каждый мешок или контейнер крепят ярлык или наносят маркировку водостойкой краской, на которой указывают:
— товарный знак и наименование предприятия-изготовителя;
— марку флюса;
— массу нетто;
— номер партии;
— обозначение настоящего стандарта;
— манипуляционный знак «Беречь от влаги».
8.2 Транспортная маркировка — по ГОСТ 14192 с нанесением основных, дополнительных, информационных надписей и манипуляционного знака «Беречь от влаги», выполняемых водостойкой краской на ярлыке.
8.3 Информация для потребителя должна соответствовать ГОСТ Р 51121. Тре
