Катки дорожные самоходные. Общие технические условия
Действие завершено 01.01.2014
Заменяет

Страница 1

Страница 2

Страница 3

Страница 4

Страница 5

Страница 6

Страница 7

Страница 8

Страница 9

Страница 10

Страница 11

Страница 12

Страница 13

Страница 14

Страница 15

Страница 16

Страница 17
ГОСТ Р 52156-2003
НАЦИОНАЛЬНЫЙ СТАНДАРТ РОССИЙСКОЙ ФЕДЕРАЦИИ
КАТКИ ДОРОЖНЫЕ САМОХОДНЫЕ
Общие технические условия
Издание официальное
БЗ 6-2002/89
ГОССТАНДАРТ РОССИИ Москва
Предисловие
1 РАЗРАБОТАН И ВНЕСЕН Техническим комитетом по стандартизации ТК 267 «Строительно-дорожные машины и оборудование»
2 ПРИНЯТ И ВВЕДЕН В ДЕЙСТВИЕ Постановлением Госстандарта России от 9 декабря 2003 г. № 361-ст
3 Пункты 6.2—6.8, приложения А и Б настоящего стандарта представляют собой аутентичный текст раздела 5 (за исключением 5.5, 5.7, 5.7.1, 5.7.2.3) и приложения А Европейского стандарта ЕН 500-4 «Машины дорожные самоходные. Безопасность. Часть 4. Специальные требования к машинам для уплотнения грунта»
4 ВВЕДЕН ВПЕРВЫЕ
© ИПК Издательство стандартов, 2004
Настоящий стандарт не может быть полностью или частично воспроизведен, тиражирован и распространен в качестве официального издания без разрешения Госстандарта России
53 ПОДЪЕМНО-ТРАНСПОРТНОЕ ОБОРУДОВАНИЕ
ОКС 53.100 Группа Г45
к ГОСТ Р 52156-2003 Катки дорожные самоходные. Общие технические условия
|
||||||||||||
|
(ИУС № 12 2004 г.) |
НАЦИОНАЛЬНЫЙ СТАНДАРТ РОССИЙСКОЙ ФЕДЕРАЦИИ
КАТКИ ДОРОЖНЫЕ САМОХОДНЫЕ
Общие технические условия
Self-propelled road rollers.
General specifications
Дата введения 2005-01-01
1 Область применения
Настоящий стандарт распространяется на дорожные самоходные катки (далее — катки), предназначенные для уплотнения дорожных оснований и дорожных покрытий.
Стандарт не содержит обязательных требований.
2 Нормативные ссылки
В настоящем стандарте использованы ссылки на следующие стандарты:
ГОСТ 2.601-95 Единая система конструкторской документации. Эксплуатационные документы ГОСТ 2.602-95 Единая система конструкторской документации. Ремонтные документы ГОСТ 9.014-78 Единая система защиты от коррозии и старения материалов и изделий. Временная противокоррозионная защита изделий. Общие требования
ГОСТ 9.032-74 Единая система защиты от коррозии и старения материалов и изделий. Покрытия лакокрасочные. Группы, технические требования и обозначения
ГОСТ 9.104-79 Единая система защиты от коррозии и старения материалов и изделий. Покрытия лакокрасочные. Группы условий эксплуатации
ГОСТ 9.301-86 Единая система защиты от коррозии и старения материалов и изделий. Покрытия металлические и неметаллические неорганические. Общие требования
ГОСТ 12.1.003-83 Система стандартов безопасности труда. Шум. Общие требования безопасности
ГОСТ 12.1.004-91 Система стандартов безопасности труда. Пожарная безопасность. Общие требования
ГОСТ 12.1.005-88 Система стандартов безопасности труда. Общие санитарно-гигиенические требования к воздуху рабочей зоны
ГОСТ 12.1.012-90 Система стандартов безопасности труда. Вибрационная безопасность. Общие требования
ГОСТ 12.2.007.0-75 Система стандартов безопасности труда. Изделия электротехнические. Общие требования безопасности
ГОСТ 17.2.2.02-98 Охрана природы. Атмосфера. Нормы и методы определения дымности отработавших газов дизелей тракторов и сельскохозяйственных машин
ГОСТ 17.2.2.03-87 Охрана природы. Атмосфера. Нормы и методы измерений содержания оксида углерода и углеводородов в отработавших газах автомобилей с бензиновыми двигателями. Требования безопасности
ГОСТ 17.2.2.05-97 Охрана природы. Атмосфера. Нормы и методы определения выбросов вредных веществ с отработавшими газами дизелей тракторов и самоходных сельскохозяйственных машин
Издание официальное
ГОСТ 3940-84 Электрооборудование автотракторное. Общие технические условия ГОСТ 7751-85 Техника, используемая в сельском хозяйстве. Правила хранения ГОСТ 8769-75 Приборы внешние световые автомобилей, автобусов, троллейбусов, тракторов, прицепов и полуприцепов. Количество, расположение, цвет, углы видимости
ГОСТ 12969-67 Таблички для машин и приборов. Технические требования ГОСТ 14192-96 Маркировка грузов
ГОСТ 15150-69 Машины, приборы и другие технические изделия. Исполнение для различных климатических районов. Категории, условия эксплуатации, хранения и транспортирования в части воздействия климатических факторов внешней среды
ГОСТ 17411-91 Гидроприводы объемные. Общие технические требования ГОСТ 21994-82 Катки дорожные. Термины и определения
ГОСТ 25044-81 Техническая диагностика. Диагностирование автомобилей, тракторов, сельскохозяйственных, строительных и дорожных машин. Основные положения ГОСТ 25646-95 Эксплуатация строительных машин. Общие требования ГОСТ 27252-87 (ИСО 6749—84) Машины землеройные. Консервация и хранение ГОСТ 27253-87 (ИСО 6012—82) Машины землеройные. Приборы для обслуживания ГОСТ 27256-87 (ИСО 7128—83) Машины землеройные. Методы определения размеров машин с рабочим оборудованием
ГОСТ 27257-87 (ИСО 7457—83) Машины землеройные. Методы определения параметров поворота колесных машин
ГОСТ 27518-87 Диагностирование изделий. Общие требования
ГОСТ 27533-87 (ИСО 3541—85) Машины землеройные. Размеры наливных горловин топливных баков
ГОСТ 27534-87 (ИСО 6394—85) Акустика. Измерение воздушного шума, создаваемого землеройными машинами на рабочем месте оператора. Испытания в стационарном режиме
ГОСТ 27715-88 (ИСО 5353—78) Машины землеройные. Тракторы и машины для сельскохозяйственных работ и лесоводства. Контрольная точка сиденья
ГОСТ 27717-88 (ИСО 6393—85) Акустика. Измерение воздушного шума, излучаемого землеройными машинами. Метод проверки соответствия нормативным требованиям по внешнему шуму. Испытания в стационарном режиме
ГОСТ 27718-88 (ИСО 4510-2—86) Машины землеройные. Инструмент для технического обслуживания. Часть 2. Ремонтный инструмент. Механические съемники
ГОСТ 27922-88 (ИСО 6016—82) Машины землеройные. Методы измерения масс машин в целом, рабочего оборудования и составных частей
ГОСТ 27927-88 (ИСО 6014—86) Машины землеройные. Определение скорости движения ГОСТ 28634-90 (ИСО 6011—87) Машины землеройные. Приборы для эксплуатации ГОСТ 28983-91 (ИСО 4510-1—87) Машины землеройные. Инструмент для технического обслуживания. Часть 1. Инструмент для ухода и регулировки
ГОСТ 29292-92 (ИСО 9533—89) Машины землеройные. Бортовые звуковые сигнализаторы переднего и заднего хода. Методы акустических испытаний
ГОСТ Р 12.2.011-2003 Система стандартов безопасности труда. Машины строительные, дорожные и землеройные. Общие требования безопасности
ГОСТ Р 12.4.026-2001 Система стандартов безопасности труда. Цвета сигнальные, знаки безопасности и разметка сигнальная. Назначение и правила применения. Общие технические требования и характеристики. Методы испытаний
ГОСТ Р ИСО 2867-99 Машины землеройные. Системы доступа
ГОСТ Р ИСО 3450-99 Машины землеройные. Тормозные системы колесных машин. Требования к эффективности и методы испытаний
ГОСТ Р ИСО 3471-99 Машины землеройные. Устройства защиты при опрокидывании. Технические требования и лабораторные испытания
ГОСТ Р ИСО 10532-99 Машины землеройные. Устройство буксирное. Технические требования
ГОСТ Р 51318.12-99 (СИСПР 12—97) Совместимость технических средств электромагнитная. Радиопомехи индустриальные самоходных средств, моторных лодок и устройств с двигателями внутреннего сгорания. Нормы и методы испытаний
3 Определения
В настоящем стандарте применяют термины с соответствующими определениями по ГОСТ 21994.
4 Типы и основные параметры
4.1 Дорожные катки по конструктивным признакам подразделяют на типы:
4.1.1 статические (КДС) и вибрационные (КДВ) — по способу уплотнения;
4.1.2 с гладкими вальцами (1), кулачковые (2), пневмоколесные (3), комбинированные (4), решетчатые (5), пластинчатые (6), ребристые (7) — по конструкции рабочего органа;
4.1.3 одноосные, двухосные, трехосные и т. д. — по числу осей;
4.1.4 одновальцовые, двухвальцовые, трехвальцовые и т. д. — по числу вальцов.
4.2 Эксплуатационную массу катков в тоннах рекомендуется выбирать из ряда: 1,0; 1,5; 2,0; 3,0; 4,0; 5,0; 6,0; 7,0; 8,0; 9,0; 10,0; 12,0; 14,0; 17,0; 20,0; 24.
Допустимое отклонение ±12 %.
4.3 В нормативных документах (НД) на катки конкретных моделей рекомендуется устанавливать следующие показатели:
— тип катка (4.1);
— эксплуатационную массу (с балластом и без балласта);
— диаметры вальцов;
— ширину вальцов;
— линейное давление вальцов;
— число и диаметр шин, давление в шинах (для пневмоколесных катков);
— ширину уплотняемой полосы;
— скорость движения (рабочую и транспортную);
— минимальный радиус поворота;
— максимальный преодолеваемый уклон;
— угол поперечной устойчивости;
— вынуждающую силу вибровозбудителя (для вибрационных катков);
— тип двигателя;
— мощность двигателя;
— тип трансмиссии;
— габаритные размеры (длину, ширину, высоту катка с кабиной или тентом и без них);
— базу катка;
— 80 %-ный ресурс до первого капитального ремонта и критерии предельного состояния.
4.3.1 В нормативных документах должны быть установлены:
— уровень звука на рабочем месте оператора;
— уровень внешнего шума;
— параметры вибрации на рабочих местах и органах управления;
— дымность отработавших газов двигателя катка в соответствии с ГОСТ 17.2.2.02 или ГОСТ 17.2.2.03 (по документации на двигатель);
— выброс вредных веществ с отработавшими газами из системы выпуска двигателя в соответствии с ГОСТ 17.2.2.03 или ГОСТ 17.2.2.05 (по документации на двигатель).
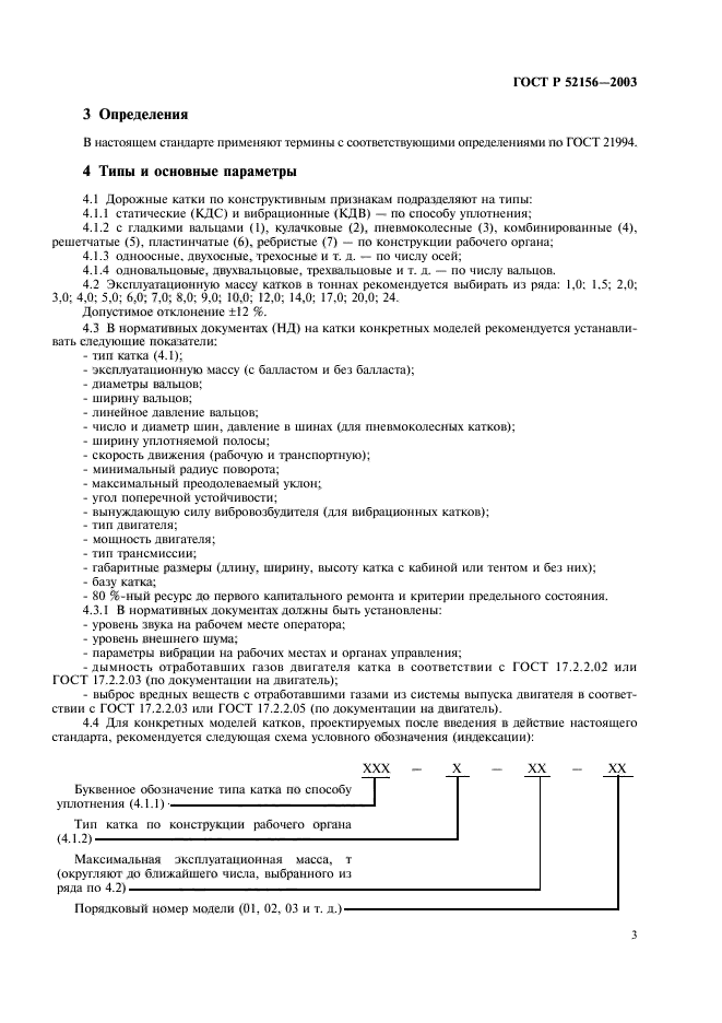
4.4 Для конкретных моделей катков, проектируемых после введения в действие настоящего стандарта, рекомендуется следующая схема условного обозначения (индексации):
XXX — X — XX — XX
Буквенное обозначение типа катка по способу уплотнения (4.1.1) —
Тип катка по конструкции рабочего органа (4.1.2) —
Максимальная эксплуатационная масса, т (округляют до ближайшего числа, выбранного из
ряда по 4.2)-
Порядковый номер модели (01, 02, 03 и т. д.)-
П ример условного обозначения дорожного вибрационного катка с кулачковыми вальцами массой 1085 кг четвертой модели:
КДВ-2-1,0-0,4
5 Технические требования
5.1 Характеристики
5.1.1 Катки изготавливают в соответствии с требованиями настоящего стандарта и НД на катки конкретных моделей по рабочим чертежам.
5.1.2 Катки изготавливают в исполнении У категории размещения 1 по ГОСТ 15150. Диапазон рабочих температур — от 5 °С до 40 °С.
5.1.3 В конструкции катка обеспечивают:
— изменение рабочей скорости в процессе уплотнения в зависимости от вида и свойств уплотняемого материала;
— очистку рабочей поверхности вальцов;
— автоматическое отключение вибровозбудителя (для вибрационных катков массой 9 т и более);
— удобный и безопасный доступ к местам обслуживания агрегатов и замены быстроизнашива-ющихся деталей;
— работу без дозаправки топливом не менее 10 моточасов (за исключением катков массой менее 3 т, используемых при небольших объемах работ);
— установку приборов для эксплуатации по ГОСТ 28634;
— контроль уровня топлива в баке;
— ежесменное техническое обслуживание (ЕТО) одним оператором;
— диагностирование в соответствии с ГОСТ 27518 и ГОСТ 25044. Конкретные требования по приспособленности к диагностированию и уровню автоматизации процессов диагностирования должны устанавливаться в НД на катки конкретных моделей.
На катках массой 9 т и более рекомендуется предусматривать возможность контроля степени уплотнения.
5.1.4 Конструкция гидросистемы катка — по ГОСТ 17411.
5.1.5 Размеры наливных горловин топливных баков — по ГОСТ 27533.
5.1.6 Буксирное устройство катка (при его наличии) должно соответствовать ГОСТ Р ИСО 10532.
5.1.7 Окраска катков — в соответствии со схемами окраски катков конкретных моделей. Классы покрытия по ГОСТ 9.032: V — для внутренних поверхностей кабины и VII — для остальных поверхностей; группа условий эксплуатации — VI по ГОСТ 9.104.
Защитные металлические покрытия — по ГОСТ 9.301.
5.2 Комплектность
5.2.1 В комплект поставки катка входят:
— каток в сборе;
— запасные части, инструмент и приспособления согласно ведомости ЗИП;
— эксплуатационная документация (ЭД) по ГОСТ 2.601;
— ремонтная документация (РД) по ГОСТ 2.602 (через 18 мес после начала серийного производства) на конкретную партию машин по заказам эксплуатирующих и (или) ремонтных организаций;
— перечень быстроизнашивающихся деталей.
5.3 Маркировка
5.3.1 На каждый каток должна быть прикреплена маркировочная табличка по ГОСТ 12969, содержащая:
— наименование предприятия-изготовителя или его товарный знак;
— индекс катка;
— номер катка по системе предприятия-изготовителя;
— год изготовления катка;
— обозначение НД на каток;
— надпись с указанием страны-изготовителя.
5.3.2 На каждое грузовое место должна быть нанесена транспортная маркировка по ГОСТ 14192.
5.4 Упаковка
5.4.1 Требования к упаковке и консервации устанавливают в НД на катки конкретных моделей в соответствии с ГОСТ 9.014 и ГОСТ 27252.
6 Требования эргономики, безопасности и охраны окружающей среды
6.1 Общие требования эргономики, безопасности и охраны окружающей среды — по ГОСТ Р 12.2.011.
6.2 Освещение
Катки с мощностью двигателя более 20 кВт должны иметь внешние световые приборы по ГОСТ 8769. Стоп-сигналы и фонари заднего света на катках допускается не устанавливать.
На расстоянии 10 м от машины освещенность в каждом рабочем направлении должна быть не менее 15 лк. Освещенность измеряется на поверхности дороги в каждом рабочем направлении в точках С, D, Е, F, G и Н, в соответствии с рисунком 1.
|
L — длина машины без навесного оборудования; В — ширина машины без навесного оборудования Рисунок 1 |
6.3 Место оператора
Если середина сиденья оператора смещена относительно середины кабины по ширине, то расстояние между осевой линией сиденья оператора и стенкой кабины должно быть не менее 295 мм.
6.4 Сиденье оператора
Размеры сиденья оператора — в соответствии с приложением А. Конструкция сиденья должна обеспечивать возможность его поворота в направлении движения и регулировку, как минимум, в зависимости от массы тела оператора от 55 до 110 кг.
Определение контрольной точки сиденья (КТС) — по ГОСТ 27715.
6.5 Запуск
6.5.1 Электрические, пневматические или гидравлические пусковые устройства катка должны приводиться в действие только в случае, если органы управления для начала движения и (или) других опасных передвижений находятся в нейтральном положении.
6.5.2 Катки должны иметь устройства, которые предотвращают запуск двигателя и пуск их в работу посторонними лицами.
Примечание — При электрических пусковых устройствах запуск двигателя посторонними лицами может предотвращаться, например с помощью:
— закрываемой на ключ кабины;
— запираемого кожуха стартера;
— замка зажигания с ключом;
— запираемого переключателя батарей.
6.5.3 Конструкция и расположение пусковых устройств должны быть такими, чтобы не допускать повреждения при пуске.
Примечание — Недопущение повреждения может достигаться, например, с помощью:
— электрического пускателя;
— пневматического стартера;
— гидравлического стартера;
— пружинного пускателя;
— реверсивного стартера.
6.6 Тормозные системы
Катки должны быть оборудованы тремя функционирующими независимо друг от друга тормозными системами:
— рабочей;
— резервной;
— стояночной.
Тормозные системы должны соответствовать требованиям приложения Б. Все тормозные системы должны управляться с рабочего места оператора. Конструкция рабочей и резервной тормозных систем должна обеспечивать возможность:
— торможения всех вальцов и колес, которые приводятся в движение;
— торможения с рабочего места оператора обеих половин разделенных вальцов одним и тем же тормозным моментом;
— торможения обоих колес и вальца в катковых поездах.
Коэффициенты трения для расчета распределения тормозного момента на тормозимую ось, учитывая существующие нагрузку на ось и радиус качения, должны быть не менее:
0,25 — для стальных вальцов;
0,50 — для резиновых колес.
При наличии гидростатического привода при срабатывании резервной тормозной системы он должен автоматически отключаться.
6.7 Опасность падения и возможность доступа к рабочему месту оператора и местам технического обслуживания
Система доступа катков должна соответствовать ГОСТ Р ИСО 2867.
6.8 Опасность опрокидывания
Катки массой более 17 т должны быть оборудованы устройствами защиты оператора при опрокидывании (ROPS), которые должны соответствовать ГОСТ Р ИСО 3471.
Сиденье оператора должно быть снабжено ремнем безопасности, который не должен препятствовать амортизации сиденья и управлению катком. Крепления элементов сиденья должны быть такими, чтобы они могли воспринимать нагрузку при опрокидывании.
6.9 Конструкция катка должна обеспечивать:
— освещенность рабочих мест при техническом обслуживании и ремонте в полевых условиях не менее 50 лк;
— возможность закрепления катка на транспортном средстве при транспортировании;
— уровень вибрации на рабочем месте и рабочих органах по ГОСТ 12.1.012;
— уровень шума, воздействующий на обслуживающий персонал, — по ГОСТ 12.1.003;
— возможность заправки топливом и замены смазочных материалов и рабочей жидкости без загрязнения окружающей среды;
— возможность обзорности кромки вальца катка с рабочего места машиниста.
6.10 Требования к звуковым сигнализаторам — по ГОСТ 29292.
6.11 Знаки безопасности и сигнальные цвета — по ГОСТ Р 12.4.026.
6.12 Требования безопасности, предъявляемые к электрооборудованию, — по ГОСТ 12.2.007.0 и ГОСТ 3940.
6.13 Требования пожарной безопасности — по ГОСТ 12.1.004.
6.14 Катки по согласованию с заказчиком изготавливают с кабиной или без кабины машиниста. При отсутствии кабины над рабочим местом должен быть установлен тент.
Состав воздуха в кабине (концентрация пыли, оксидов углерода и оксидов азота) должен соответствовать ГОСТ 12.1.005.
6.15 Уровень радиопомех — по ГОСТ Р 51318.12 (при применении двигателей с искровым зажиганием).
6.16 Выбросы вредных веществ с отработавшими газами двигателей катков — по ГОСТ 17.2.2.03 или ГОСТ 17.2.2.05; дымность отработавших газов — по ГОСТ 17.2.2.02 (принимают по данным предприятия — изготовителя двигателей).
7 Правила приемки
7.1 Для проверки качества изготовления катков серийного производства проводят приемосдаточные и периодические испытания.
7.2 Приемосдаточным испытаниям подвергают каждый каток. При этом проводят:
— визуальный контроль;
— проверку машины на холостом ходу;
— проверку возможности торможения и удержания катка на уклоне, а также реверсирования;
— проверку работы вибровозбудителя (для вибрационных катков).
Объем испытаний устанавливает предприятие-изготовитель. Проводимые проверки и проверяемые параметры рекомендуется выбирать из таблицы 2.
Периодическим испытаниям подвергают катки, прошедшие приемосдаточные испытания и полностью укомплектованные.
При периодических испытаниях проверяют: показатели и характеристики катков, перечисленные в 4.3 (кроме показателей надежности), все требования раздела 6, а также работу катка под нагрузкой в условиях эксплуатации.
|
Таблица 2 — Испытания катков |
||||||||||||||||||||||||||||||||||||||||||||||||||||||||||||||||||||||||||||||||||||||||||||||||||||||||||||||||
|
||||||||||||||||||||||||||||||||||||||||||||||||||||||||||||||||||||||||||||||||||||||||||||||||||||||||||||||||
|
Окончание таблицы 2 |
||||||||||||||||||||||||||||||||||||||||||||||||
|
||||||||||||||||||||||||||||||||||||||||||||||||
|
Примечание — Знак «А» означает: проверку проводить обязательно; знак «—» — проверку не проводить. |
||||||||||||||||||||||||||||||||||||||||||||||||
8 Методы испытаний
8.1 Требования к средствам испытаний
8.1.1 Перечень средств измерений, испытательного оборудования и материалов, необходимых для проведения испытаний, приводят в методике испытаний.
8.1.2 Стандартизованные средства измерений поверяют в соответствии с требованиями [1]; нестандартизованные — аттестовывают в соответствии с требованиями [2].
8.1.3 Погрешность средств измерений, не более:
±0,3 % — при измерении линейных размеров до 10000 мм;
±0,5 % — — линейных размеров свыше 10000 мм;
±0,02 рад (1°) — — угловых величин;
±2,5 % — — массы;
±1 % — — времени;
±1 °С — при измерении температуры;
±2 % — — площади поверхности;
±2 % — — усилий до 1000 Н;
±2,5 % — — усилий свыше 1000 Н;
±3 % — — частоты колебаний;
±1 % — — тормозного пути;
±3 % — — скорости машины.
8.2 Подготовка к испытаниям
8.2.1 С катком, предъявляемым к испытаниям, в зависимости от вида испытаний представляют комплект документации, состоящий из:
— программы и методики испытаний;
— ЭД по ГОСТ 2.601;
— НД на серийно выпускаемую машину;
— акта приемосдаточных испытаний и протокола предшествующих периодических испытаний (для периодических испытаний);
— комплекта рабочих чертежей серийного производства.
8.3 Проведение проверок и испытаний
8.3.1 Визуальный контроль катков и их составных частей проводят без снятия и разборки агрегатов. При этом проверяют:
— комплектность (в том числе сопроводительной документации);
— наличие видимых повреждений агрегатов и деталей, некачественных покрытий, состояние сварных швов и крепежных соединений;
— наличие течи масла и других жидкостей;
— заправку в необходимых количествах топливом, рабочими и охлаждающими жидкостями, смазочными материалами;
— качество сборки и монтажа узлов и агрегатов;
— наличие пломб, маркировки, необходимых знаков безопасности и сигнальной окраски;
— правильность упаковки.
8.3.2 Работоспособность отдельных узлов и машины в целом проверяют на площадке с грунтовым или твердым покрытием. При этом проверяют:
— пусковые качества двигателя;
— четкость срабатывания нейтрали трансмиссии;
— плавность реверсирования хода;
— включение и выключение вибратора вибрационных катков;
— надежность срабатывания стояночного тормоза;
— функционирование внешних световых приборов, звуковой сигнализации, предохранительных и сигнальных устройств, контрольно-измерительных приборов: контролируют отсутствие заеданий в органах управления и механизмах и визуально оценивают герметичность топливной системы и гидросистемы.
8.3.2.1 Допускается проверять работоспособность катков и их узлов на специальном обкаточном стенде.
8.3.3 Эксплуатационную массу, а также опорные реакции, действующие на каток в местах опирания вальцов, определяют по ГОСТ 27922.
8.3.4 Геометрические размеры катка проверяют по ГОСТ 27256.
8.3.5 Линейное давление вальцов определяют как частное от деления величины опорной реакции, действующей на каток в месте опирания вальца на ширину вальца.
8.3.6 Ширину уплотняемой полосы определяют:
— для вибрационных катков — по ширине вибровальца;
— для статических катков — по габаритному размеру ширины вальцов, обеспечивающих перекрытие следа.
8.3.7 Скорость движения катка проверяют по ГОСТ 27927.
8.3.8 Радиус поворота проверяют по ГОСТ 27257.
8.3.9 Возможность преодоления уклона и действие тормозной системы при этом проверяют при передвижении катка в статическом режиме при номинальных оборотах двигателя по уклону с твердым ровным покрытием и постоянным углом подъема. После включения стояночного тормоза и остановки двигателя перемещение катка по уклону не допускается.
8.3.10 Угол поперечной устойчивости проверяют на уклоне или поднятием одной стороны катка. Каток считается выдержавшим испытание, если он не опрокинулся при наклоне 15° к горизонтали.
8.3.11 Вынуждающую силу Q, кН, рассчитывают (при приемочных испытаниях) по формуле
к
Q = ю2 X mi ai ,
i = 1
где к — число дебалансов;
mi — масса /-го дебаланса, кг;
ai — эксцентриситет /-го дебаланса, м;
ю — угловая частота вращения дебалансов, 1/с, определяемая по формуле
ю = п п/ 30,
где п — частота вращения вибровозбудителя, измеряемая тахометром или частотомером, 1/мин.
Значения к, m, a — по КД.
8.3.12 Характеристики двигателя — по документации предприятия — изготовителя двигателя.
8.3.13 Показатели надежности (80 %-ный ресурс) проверяют на основе анализа данных подконтрольной эксплуатации.
8.3.14 Параметры конструкции и наличие необходимых комплектующих изделий (например устройства для очистки и смачивания вальцов, возможность контроля степени уплотнения, устройства защиты машиниста и др.) проверяют по КД и НД на катки конкретных моделей, а также визуально.
8.3.15 Время работы катка без дозаправки топливом — в соответствии с удельным расходом топлива, указанным в паспорте на двигатель.
8.3.16 Освещенность собственными осветительными приборами окружающего пространства в рабочей зоне катка измеряют на уровне опорной поверхности в темное время суток на неподвижном катке при работе двигателя на номинальных оборотах и при включении всех осветительных приборов. Измерения проводят в точках, расположенных в центре квадратов размером не более 2 х 2 м в рабочей зоне катка. Освещенность рабочей зоны определяют как среднеарифметическое значений, полученных во всех точках измерений.
Габариты рабочей зоны устанавливают в НД на катки конкретных моделей.
8.3.17 Возможность обзорности кромки вальца катка оценивают при проведении испытаний.
8.3.18 Уровень внешнего шума проверяют по ГОСТ 27717, шума на рабочем месте — по ГОСТ 27534.
8.3.19 Уровень вибрации проверяют по ГОСТ 12.1.012.
8.3.20 Звуковые сигнализаторы — по ГОСТ 29292.
8.3.21 Наличие и правильность нанесения знаков безопасности и сигнальных цветов — по ГОСТ Р 12.4.026.
8.3.22 Электробезопасность проверяют по ГОСТ 12.2.007.0.
8.3.23 Пожаробезопасность — по ГОСТ 12.1.004.
8.3.24 Уровень радиопомех — по ГОСТ Р 51318.12.
8.3.25 Состав воздуха и концентрации вредных веществ на рабочем месте — по ГОСТ 12.1.005.
8.3.26 Усилия на органах управления измеряют динамометром, для крепления которого допускается использовать приспособление произвольной конструкции.
8.3.27 Наличие и размеры системы доступа проверяют по КД, измерениями на катке на соответствие требованиям ГОСТ Р ИСО 2867.
8.3.28 Проверку дымности отработавших газов двигателей проверяют на предприятии — изготовителе двигателей по ГОСТ 17.2.2.02, выбросов вредных веществ с отработавшими газами двигателей — по ГОСТ 17.2.2.05.
8.3.29 Испытания тормозных систем проводят в соответствии с приложением Б.
9 Транспортирование и хранение
9.1 Катки перевозят любым видом транспорта в соответствии с правилами перевозки, действующими на транспорте конкретного вида.
9.2 Требования к хранению катков устанавливают в НД на катки конкретных моделей с учетом требований ГОСТ 7751 и ГОСТ 9.014.
9.3 Требования к консервации катков устанавливают в НД на катки конкретных моделей в соответствии с ГОСТ 9.014.
10 Указания по эксплуатации
10.1 Требования к эксплуатации катков — по ГОСТ 25646.
10.2 В ЭД рекомендуется приводить перечень инструментов и приборов для обслуживания по ГОСТ 28983 и ГОСТ 27253, а также перечень приспособлений для ремонта по ГОСТ 27718.
ПРИЛОЖЕНИЕ А
(рекомендуемое)
Размеры сиденья и регулировки
|
Таблица А.1 — Размеры сиденья и регулировки |
|||||||||||||||||||||||||||||||||||||||||||||||||||||||||||||||||
| |||||||||||||||||||||||||||||||||||||||||||||||||||||||||||||||||
