Система стандартов безопасности труда. Средства индивидуальной защиты органа слуха. Противошумные наушники, смонтированные с защитной каской. Общие технические требования. Методы испытаний

Страница 1

Страница 2

Страница 3

Страница 4

Страница 5

Страница 6

Страница 7

Страница 8

Страница 9

Страница 10

Страница 11

Страница 12

Страница 13

Страница 14

Страница 15

Страница 16

Страница 17

Страница 18

Страница 19

Страница 20

Страница 21

Страница 22

Страница 23

Страница 24
ГОСТ Р 12.4.210-99
ГОСУДАРСТВЕННЫЙ СТАНДАРТ РОССИЙСКОЙ ФЕДЕРАЦИИ
Система стандартов безопасности труда
СРЕДСТВА ИНДИВИДУАЛЬНОЙ ЗАЩИТЫ ОРГАНА СЛУХА.
ПРОТИВОШУМНЫЕ НАУШНИКИ, СМОНТИРОВАННЫЕ С ЗАЩИТНОЙ КАСКОЙ
Общие технические требования.
Методы испытаний
Издание официальное
ГОССТАНДАРТ РОССИИ Москва
ГОСТ Р 12.4.210-99
Предисловие
1 РАЗРАБОТАН Научным центром социально-производственных проблем охраны труда
ВНЕСЕН Техническим комитетом по стандартизации средств индивидуальной защиты ГК 320 «СИЗ*
2 ПРИНЯТ И ВВЕДЕН В ДЕЙСТВИЕ Постановлением Госстандарта России от 28 декабря 1999 г. № 766-ст
3 Настоящий стандарт представляет собой аутентичный текст ре тонального стандарта ЕН 352-3—96 «Средства индивидуальной зашиты от шума. Часть 3. Противошумные наушники, смонтированные с защитной каской. Общие технические требования” и содержит дополнительные требования, отражающие потребности экономики страны
4 ВВЕДЕН ВПЕРВЫЕ
© ИПК Издательство стандартов. 2000
Настоящий стандарт не может быть полностью или частично воспроизведен, тиражирован и распространен в качестве официального издания без разрешения Госстандарта России
II
ГОСТ Р 12.4.210-99
ГОСУДАРСТВЕННЫЙ СТАНДАРТ РОССИЙСКОЙ ФЕДЕРАЦИИ
Система стандартов безопасности труда
СРЕДСТВА ИНДИВИДУАЛЬНОЙ ЗАЩИТЫ ОРГАНА СЛУХА. ПРОТИВОШУМНЫЕ НАУШНИКИ. СМОНТИРОВАННЫЕ С ЗАЩИТНОЙ КАСКОЙ
Общие технические требования.
Методы испытаний
Occupational safety standards system.
Hearing protectors. Ear-muffs attached to an industrial safety helmet.
General technical requirement. Methods of testing
Дата в веления 2002—01—01
1 Область применения
Настоящий стандарт распространяется на средства индивидуальной защиты органа слуха от шума— противошумные наушники,смонтированные с защитной каской,и устанавливает общие технические требования и методы испытаний.
Дополнительные требования, отражающие потребности экономики страны, выделены курсивом.
2 Нормативные ссылки
В настоящем стандарте использованы ссылки на следующие стандарты:
ГОСТ Р 12.4.207-99 Система стандартов безопасности труда. Каски защитные. Общие технические требования. Методы испытаний.
ГОСТ Р 12.4.209-99 Система стандартов безопасности груда. Средства индивидуальной защиты органа слуха. Наушники. Общие технические требования
ГОСТ Р 12.4.210-99 Система стандартов безопасности труда. Средства индивидуальной защиты органа слуха. Наушники. Общие технические требования
ГОСТ Р 12.4.211-99 (ИСО 4869-1—89) Система стандартов безопасности труда. Средства индивидуальной заннггы от шума. Противошумы. Субъективный метод измерения поглощения шума
ГОСТ Р 12.4.212-99 (ИСО 4869-2—99) Система стандартов безопасности труда. Средства индивидуальной защиты. Противошумы. Оценка результирующего значения А-корректированного уровня звукового давления при использовании средсто индивидуальной зашиты от шума
ГОСТ Р 12.4.213-99 (ИСО 4869-3—89) Система стандартов безопасности труда. Средства индивидуальной зашиты органа слуха. Противошумы. Упрошенный метод измерения акустической эффективности противошумных наушников для оценки качества.
ЕН 960—94* Макеты головы для испытания защитных касок
3 Определения
В настоящем стандарте применяют следу ющие термины с соответствующими определениями:
3.1 установка для проведения акустических испытаний: По ГОСТ Р 12.4.208. 3.1.
3.2 чашка: По ГОСТ Р 12.4.208, 3.2.
3.3 держатель чашки: Конструкция, предназначенная для крепления чашки наушника к каске.
3.4 амортизатор (уплотнительная прокладка): По ГОСТ Р 12.4.208, 3.3.
3.5 противошумный наушник, смонтированный с защитной каской: Противошум, состоящий из двух звукоизолирующих чашек, прикрывающих ушные раковины и прикрепленный с помошью специального приспособления к защитной каске.
* Международные стандарты находятся во ВНИИКИ Госстандарта России. Издание официальное
1
ГОСТ Р 12.4.210-99
3.6 эквивалент оголовья: Деталь комплексной конструкции наушники / каска, несущая чашки. Деталь включает участок корпуса каски и участок держателей чашки; функционально является эквивалентом оголовья с характеристиками, предусмотренными ГОСТ Р 12.4.208.
3.7 наружное вертикальное расстояние: Расстояние по вертикали между верхушкой макета головы, на который надета каска, и верхней точкой наружной поверхности корпуса каски.
3.8 тестовая высота: Расстояние по вертикали между осыо. проведенной через центры отверстий для крепления макетов ушных раковин, и верхней точкой макета головы.
3.9 тестовая ширина: Расстояние по горизонтали между вертикальными осями, проведенными через центры отверстий для крепления макетов ушных раковин на макете головы.
3.10 высота одевания: Расстояние по вертикали между нижним краем оголовья каски и верхней точкой макета головы, на который надевается каска.
Примечание — Оголовье каски определено ГОСТ Р 12.4.207 как ‘Часть мягкого крепления каски, полностью или частично охватывающая голову над глазами приблизительно по наибольшей горизонтальной окружности головы».
3.11 защитная каска: Головной убор (каска) предназначенная для зашиты верхней части головы работника от повреждения падающими предметами; соответствует ГОСТ Р 12.4.207.
3.12 акустическая эффективность (заглушающая способность): Разность уровней звукового давления. измеренных микрофоном или акустическим тестовым прибором в определенном звуковом поле и определенных условиях при отсутствии комбинации наушники/каска, и уровнем звукового давления при наличии комбинации наушники/каска, в децибелах.
3.13 вкладыш: По ГОСТ Р 12.4.208. 3.9.
3.14 нерабочее положение: Положение наушников, при котором чашки находятся выше уровня нижнего края каркаса каски, как указано изготовителем наушников в 8.1.
3.15 поглощения шума: Для данного испытательного сигнала разница в децибелах между уровнем порога слышимости при надетой конструкции наушники/каска и без нее.
3.16 нейтральное положение: Положение наушников, при котором чашки находятся ниже уровня нижнего края корпуса каски и амортизаторы не контактируют с околоушной поверхностью или ушными раковинами.
3.17 базовая комбинация: Комбинация наушники/маска, включающая первую из испытуемых или единственную испытуемую модель (или размер) каски, на которой крепится конкретная модель наушников; на этой комбинации проводится полный набор испытаний, предусматриваемый настоящим стандартом.
3.18 дополнительная комбинация: Комбинация наушники/каска, включающая модель (или размер) каски, которая отличается по параметрам от базовой каски. На “дополнительной» каске крепятся наушники той же модели, что и в базовой комбинации, и проводится сокращенный набор испытаний.
4 Размеры
Требования 6.2 предусматривает классификацию наушников на три типа «Средние размеры», «Малые размеры» и «Большие размеры». Наушники могут классифицироваться и по другим параметрам.
Для конкретного типа наушников эта классификация зависит от размеров каски, к которой они крепятся.
Средний размер наушников — размер, регулировка которого отвечает требованиям 6.2.1. Размеры соответству ют указанным в таблице 1.
Малый размер наушников — размер, регулировка которого отвечает требованиям 6.2.2. Размеры соответствуют указанным в таблице 1.
Большой размер наушников — размер, регулировка которого отвечает требованиям 6.2.3. Размеры соответствуют указанным в таблице 1.
Наушники малого/большого размера следует сопровождать информацией, указанной в 8.1, перечисление и.
* Международные стандарты находятся во ВНИМКИ Госстандарта России.
2
ГОСТ Р 12.4.211-99
|
Таблица 1 |
||||||||||||||||||||||||||||||||
|
||||||||||||||||||||||||||||||||
5 Материалы и конструкции
5.1 Материалы
5.1.1 Части наушников, контактирующие с кожей, не должны вызывать раздражения кожи или каких-либо других нежелательных реакций.
5.1.2 Амортизаторы должны быть мягкими, упругими и отвечать требованиям 5.1.1.
5.1.3 Все материалы не должны иметь видимых повреждений после очистки способами, указанными изготовителем.
5.2 Конструкции
5.2.1 Все детали комбинации наушники/каска, которые открыты во время эксплуатации и хранения, должны быть закруглены, гладко обработаны, лишены острых краев во избежание травм.
5.2.2 Ест и изготовителем предусмотрена смена амортизаторов или вкладышей самим потребителем. то для этого не должны требоваться специальные инструменты.
6 Общие технические требования
6.1 Общие положения
6.1.1 Все образцы наушников при их испытании в соответствии с разделом 7 должны удовлетворять требованиям 6.2—6.12.
6.1.2 Образцы наушников следует подвергать выдерживанию (кондиционированию) и испытаниям. как указано в 7.1.1 и 7.1.2. Схема испытания приведена в 7.1.3.
6.2 Регулирование
Регулирование при проведении испытания — в соответствии с 7.2.
6.2.1 Наушники/каска средних размеров Л/
Для тестовых размеров (таблица 1) диапазон регулирования держателей чашек и расстояния между амортизаторами должен обеспечивать подгонку комбинации наушники/каска на макете головы согласно 7.2.3.5.
6.2.2 Наушники/каска малых размеров S
Для тестовых размеров (таблица 1) диапазон регулирования держателей чашек и расстояния между амортизаторами должны обеспечивать подгонку комбинации наушникн/каска на макете головы согласно 7.2.3.5.
6.2.3 Наушники/каска больших размеров L
Для тестовых размеров (таблица 1) диапазон регулирования держателей чашек и расстояния между амортизаторами должны обеспечивать подгонку комбинации наушникн/каска на макете головы согласно 7.2.3.5.
6.3 Вращение чашек
При испытании согласно 7.3 между амортизаторами и пластинами конструкции для проведения испытаний должен быть непрерывный контакт, обеспечивающий барьер между внутренним и внешним периметрами амортизаторов.
Примечание — Нарушение непрерывности контакта между амортизаторами и пластинами допусти-мо там. где на пластины проецируется область крепления площадью 46×10 мм макетов ушных раковин.
3
ГОСТ Р 12.4.210-99
6.4 Усилие прижатия эквивалента оголовья
6.4.1 При испытании согласно 7.4 сила давления эквивалента оголовья не должна превышать 14 Н. Если комбинация наушники/каска снабжена устройством для регулирования этой силы, то ее следует установить на уровне не более 14 Н.
6.4.2 Если каждая дополнительная комбинация не отвечает какому-нибудь из нижеперечисленных требований, то ее следует дополнительно испытывать на поглощение шума согласно 7.15.2:
а) среднее значение усилия прижатия эквивалента оголовья в дополнительной кох<бинации наушники/каска по 7.4.4 не должно быть меньше 8 Н.
б) необходимо соблюдать уравнение (1)
— L&T&L, (1)
где для каждой дополнительной комбинации 7*и L. %, рассчитывают согласно формулам (2) и (3) соответственно:
т = —77—100 <2>
где Fm(m — среднее значение усилия прижатия, Н, эквивалента оголовья наушников в базовой комбинации, как указано в 7.4.4,
Fmmn — среднее значение усилия прижатия, Н, эквивалента оголовья наушников в дополнительной комбинации, как указано в 7.4.4.
Примечание—Г— допуск, связанный с FmHU:
Для Fmbo < 8 N L • 10 Ж;
fata — в) х 10
дчя $N
для FmCaa >HN L« 20%.
Примечание — I — предел, связанный с силой %.
6.5 Давление амортизатора
При испытании согласно 7.5 давление амортизатора не должно превышать 4500 Па. Если наушники/каски снабжены устройством для регулирования усилия прижатия эквивалента оголовья, то можно установить максимальное давление 14 Н либо более низкое из этих двух значений.
6.6 Устойчивость к повреждению при падении
Если не вступают в силу требования 6.7, то при испытании согласно 7.6 комбинация наушники/ каска (кроме заменяемых амортизаторов) не должны трескаться и от наушников не должны отваливаться детали таким образом, что восстановление потребовало бы применения инструментов или установки запчастей.
6.7 Устойчивость к воздействию низких температур (необязательно)
При испытании согласно 7.7 комбинация наушники/каска (исключая сменные амортизаторы) не должны трескаться и от наушников не должны отваливаться детали таким образом, что восстановление потребовало бы применения инструментов или установки запчастей.
6.8 Изменения усилия прижатия эквивалента оголовья (включая необязательный вариант погружения в воду под давлением)
Среднее значение силы давления эквивалента оголовья при тестировании на шести образцах не должно изменяться более чем на ± 20 % по сравнению со средним значением силы, измеренной в соответствии с 7.4, после выдерживания и испытания комбинации наушники/каска в соответствии с 7.1.3.6 — 7.1.3.13; каркас каски, чашки и держатели не должны иметь трещин и других повреждений.
4
ГОСТ Р 12.4.210-99
6.9 Акустическая эффективность
Стандартные отклонения с первого по десятый образец базовых комбинаций (20 чашек) не должны согласно 7.12.3.4 превышать 4 дБ в четырех или более смежных третьоктавных полос частот и 7 дБ в любой отдельной третьоктавной полосе частот.
6.10 Устойчивость к протечкам
Если амортизаторы заполнены жидкостью, то не должно произойти ее утечки при тестировании наушников согласно 7.13.
6.11 Возгораемость
При испытании согласно 7.14 не должно произойти возгорания ни одной из деталей наушников или держателей чашек, а после того как нагретый стержень удален, тление должно прекратиться.
6.12 Минимальное поглощение шума
При испытании согласно 7.15 значения (Mf— s} для комбинации наушники/каска не должны быть меньше, чем данные таблицы 2.
|
Таблица 2 |
||||||||||||||||||||||||||||||||||||||||
|
||||||||||||||||||||||||||||||||||||||||
7 Испытания
7.1 Образцы, условия и схема испытаний
7.1.1 Образцы
Наушники и защитные каски следует подвергать испытанию в том виде, в котором они предложены к продаже.
Для каждой модели наушников должно быть испытано десять образцов базовых комбинаций (наушники/каска); они обозначаются как первый (базовый). . . десятый (базовый).
Если одну и ту же модель наушника будут испытывать с другими моделями или размерами защитных касок (т. е. в дополнительной комбинации), то для каждой модели или размера каски испытывают еще по шесть образцов; они обозначаются как первый (дополнительный). . . шестой (дополнительный).
7.1.2 Условия испытаний
Всс образцы подвергают выдерживанию (кондиционированию) и испытанию в условиях температуры (22 ± 5) *С и относительной влажности не выше 85 %, если испытания не требуют иных условий.
7.1.3 Схем а испытаний
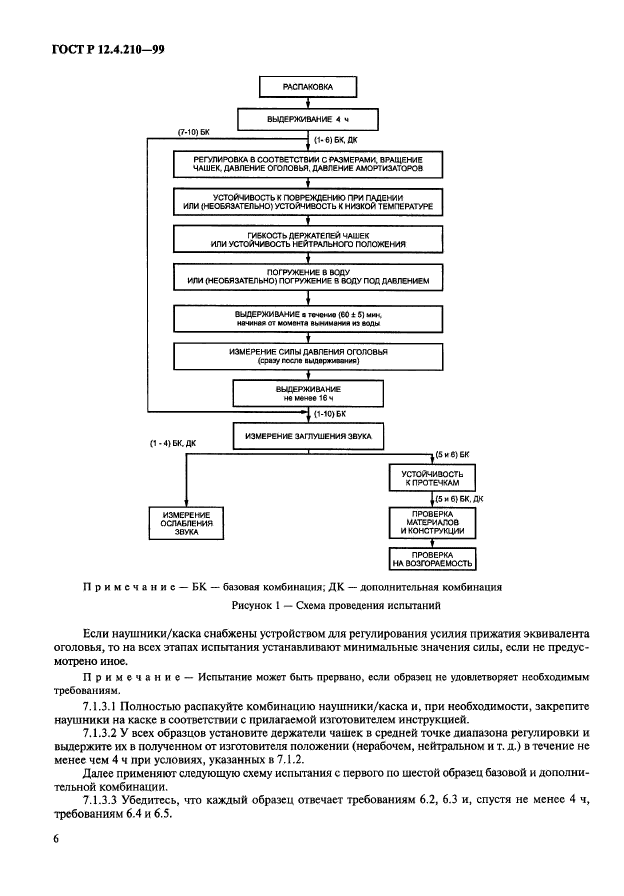
Применяют следующую схему испытания десяти образцов базовой комбинации и, в предусмотренных ситуациях, шести образцов дополнительной комбинации в соответствии с рисунком 1.
Если модель каски имеет несколько размеров, то при испытании базовой комбинации используют один выбранный размер (кроме испытания субъективным способом). Другие размеры каски испытывают в дополнительной комбинации (кроме испытания на ослабление звука). Испытание поглощения шума проводят с использованием полного диапазона размеров каски согласно 7.15.2, пере* числение д).
2*
5
ГОСТР 12.4.210-99
РАСПАКОВКА
Г»»
ВЫДЕРЖИВАНИЕ « ч
IE
(7-10) БК
6) Б<. ДК
РЕГУЛИРОВКА в соответствии с РАЗМЕРАМИ. ВРАЩЕНИЕ ЧАШЕК. ДАВЛЕНИЕ ОГОЛОВЬЯ, ДАВЛЕНИЕ АМОРТИЗАТОРОВ
устойчивость к повреждению при падении
ИЛИ (НЕОБЯЗАТЕЛЬНО) УСТОЙЧИВОСТЬ К НИЗКОЙ ТЕМПЕРАТУРЕ
ГИБКОСТЬ ДЕРЖАТЕЛЕЙ ЧАШЕК ИЛИ УСТОЙЧИВОСТЬ НЕЙТРАЛЬНОГО ПОЛОЖЕНИЯ
ПОГРУЖЕНИЕ В ВОДУ ИЛИ (НЕОБЯЗАТЕЛЬНО) ПОГРУЖЕНИЕ В ВОДУ ПОД ДАВЛЕНИЕМ
ВЫДЕРЖИВАНИЕ а г стоило (60 t S) ими. мвчмиво от момент* вьмлмвмм И) воды
ИЗМЕРЕНИЕ СИЛЫ ДАВЛЕНИЯ ОГОЛОВЬЯ (соаз/госло пыдор»иаам>к>)
ВЫДЕРЖИВАНИЕ ►Ю м«ывв 16 ч
. (1-10) БК
ИЗМЕРЕНИЕ ЗАГЛУШЕНИЯ ЗВУКА
(1-4)БК.ДК
| (5 к 6) БК
УСТОЙЧИВОСТЬ К ПРОТЕЧКАМ
L (5 и 6}БК, ДК
ПРОВЕРКА МАТЕРИАЛОВ И КОНСТРУКЦИИ
ИЗМЕРЕНИЕ
ОСЛАБЛЕНИЯ
ЗВУКА
ПРОВЕРКА НА ВОЗГОРАЕМОСТЬ
Примечание — БК — базовая комбинация; ДК — дополнительная комбинация
Рисунок I — Схема проведения испытаний
Если наушники/каска снабжены устройством для регулирования усилия прижатия эквивалента оголовья, то на всех этапах испытания устанавливают минимальные значения силы, если не предусмотрено иное.
Примечание — Испытание может быть прервано, если образен не удовлетворяет необходимым требованиям.
7.1.3.1 Полностью распакуйте комбинацию наушники/каска и, при необходимости, закрепите наушники на каске в соответствии с прилагаемой изготовителем инструкцией.
7.1.3.2 У всех образцов установите держатели чашек в средней точке диапазона регулировки и выдержите их в полученном от изготовителя положении (нерабочем, нейтральном и т. д.) в течение не менее чем 4 ч при условиях, указанных в 7.1.2.
Далее применяют следующую схему испытания с первого но шестой образец базовой и дополнительной комбинации.
7.1.3.3 Убедитесь, что каждый образец отвечает требованиям 6.2, 6.3 и, спустя не менсс 4 ч, требованиям 6.4 и 6.5.
6
ГОСТ Р 12.4.210-99
7.1.3.4 Если не проводится необязательное испытание образца при низких температурах согласно 6.7, то проверьте соответствие каждого образца требованиям 6.6.
7.1.3.5 Проверьте соответствие образца требованиям 6.7 (необязательно).
7.1.3.6 Каждый образец испытайте согласно 7.8 или, при необходимости, 7.9, в соответствии с 3.16; испытание по 7.9 учитывает возможность прогибания держателей.
7.1.3.7 Удалите чашки (если это возможно) или снимите амортизаторы и вкладыши с каждой чашки каждого образца, с тем чтобы их можно было вернуть на место. Если невозможно удалить чашки и снять амортизаторы или вкладыши, то примите меры для их предохранения во время испытания погружения в воду.
7.1.3.8 Если для образца не предусмотрено погружение в воду иод давлением (необязательный пункт 7.1.3.9), то проведите испытание на погружение каждого образца наушники/каска в соответствии с 7.10.
7.1.3.9 Необязательно: погрузите каждый образец под воду под давлением, как указано в 7.11.
7.1.3.10 Выньте каждый образец из воды, записав этот момент времени, и верните на место чашки (если они были удалены). Обсушите образец. Вложите вкладыши (если они были сняты) и. если амортизаторы сменные, то установите новые амортизаторы на каждую чашку в соответствии с инструкцией изготовителя.
7.1.3.11 Выдерживайте каждый образец в течение (60 ± 5) мин (начиная от момента извлечения изводы согласно 7.1.3.10) в условиях, указанных в 7.1.2. После такого кондиционирования измерьте усилие прижатия эквивалента оголовья в соответствии с 7.4.
Примечание — Для моделей, представленных несколькими размерами, используйте такое сочетание ширины и высоты, которое дает самое низкое усилие прижатия эквивалента оголовья при испытании согласно 7.1.3.3.
7.1.3.12 Установите держатели чашек в средней точке диапазона регулировки и выдерживайте все образцы в полученном от изготовителя положении в течение не менее 16 ч при условиях, предусмотренных 7.1.2.
Дальнейшее испытание всех 10 базовых образцов проводят но следующей схеме:
7.1.3.13 Измерьте акустическую эффективность каждой чашки, каждого образца в соответствии с 7.12.
7.1.3.14 Вычислите для результатов 7.1.3.13 стандартное отклонение для величины эффективности всеми 20 чашками, используя метод (Л^— I) — взвешивания данных. По следующей схеме продолжайте испытание только пятого и шестого образцов базовой и дополнительной комбинаций:
7.1.3.15 При необходимости проверьте, чтобы базовые образцы (только они) отвечали требованиям 6.10.
7.1.3.16 Проверьте, чтобы и базовый, и дополнительный образцы отвечали требованиям раздела 5.
7.1.3.17 Проверьте, чтобы и базовый, и дополнительный образцы отвечали требованиям 6.11. Следующим образцом продолжайте испытание только с первого по четвертый образец базовой и дополнительной комбинации.
7.1.3.18 Измерьте ослабление звука согласно 7.15.
7.2 Регулирование
7.2.1 Принцип
На макетах головы оценивают способность комбинации наушники/каска к регулированию, обеспечивающему соответствие конкретным тестовым размерам.
7.2.2 Аппаратура
7.2.2.1 Испытательные макеты головы соответствуют параметрам, определяемым в ЕН 960, размеры В. J, N в соответствии с рисунком 2.
Примечание — Существуют три типа макетов головы, их размеры приведены в таблице 1. Макеты ушных раковин закрепляют на макетах головы и регулируют их вертикальное положение, так чтобы тестовая высота соответствовала таблице 1.
7.22.2 Макеты ушных раковин
Размеры приведены на рисунке 3.
7.2.2.3 Переходное устройство (адаптер) для неплоских амортизаторов
7
3—190В
ГОСТ Р 12.4.210-99
Для наушников с неплоскими амортизаторами изготовитель поставляет переходные устройства, которые нужно закрепить на макетах головы.
Примечание — Иногда приходится регулировать горизонтальные размеры макета головы, чтобы компенсировать толщину переходных устройств.
7.2.3 Испытания
|
а — тестовая ширина (см. таблицу 2); б — тестовая высота (115 мм); « — тестовая высота (130 мм); г —тестовая высота (140 мм); д — отверстия для крешгения макетов ушных раковин. е — прозрачные ачастиковые пластины |
7.2.3.1 Закрепите макеты ушных раковин на боковых пластинах макета головы так, чтобы более длинные оси ушных раковин располагались вертикально и совпадали с секущими вертикальными осями макета головы. Отрегулируйте вертикальное положение макетов ушных раковин так, чтобы тестовая высота соответствовала таблице 1.
7.2.3.2 Отрегулируйте мягкое крепление зашитной каски так, чтобы глубина согласно 3.10 была минимальной, а наружное вертикальное расстояние согласно 3.7 — максимальным в соответствии с инструкцией изготовителя каски.
Примечание — Такое регулирование означает соответствие этих параметров требованиям ГОСТ Р 12.4.207.
7.2.3.3 Если комбинация наушники/ каска снабжена средством регулировки усилия прижатия эквивалента оголовья, то установите максимальное значение силы.
7.2.3.4 Устанавливайте комбинацию наушники/каска в рабочей позиции на каждый тип макета головы поочередно таким образом, чтобы макеты ушных раковин были накрыты амортизаторами. Каска удерживается в правильном положении с помощью силы 50 Н, прилагаемой вдоль вертикальной оси.
7.2.3.5 Дня каждого сочетания размеров (высоты и ширины), указанных в таблице 1, проверяйте, позволяет ли регулирование держателей чашек и расстояния между амортизаторами установить комбинацию наушники/каска на конструкции для испытания таким образом, чтобы:
Рисунок 2 — Макет головы для испытаний
а) контакт между амортизаторами и пластинами был непрерывным, так как этим обеспечивается сплошной барьер между внутренним и наружным периметрами амортизаторов.
Примечание — Нарушение контакта между амортизаторами и пластинами допустимо лишь там, где область крепления манекена ушной раковины размером 46 х10 мм располагается на пластинах, а также в тех участках, где оголовье каски находится под амортизаторами;
б) нейтральное положение наушников не применяется.
7.2.3.6 После того как комбинация наушники/каска надета и подогнана на макете головы в
8
ГОСТ Р 12.4.210-99
соответствии с таблицей 3, запишите на каске тестовую высоту, чтобы ее можно было установить снова при тестировании в соответствии 7.3 — 7.5.
Та б л и и а 3 — Тестовые размеры — вращение манжеты, давление оголовья, давление амортизаторов
|
Размер |
Тестовая высота, мм |
Тестовая ширина, мм |
Тип макета головы |
|
S |
115 |
125 |
В |
|
м |
130 |
145 |
J |
|
1 |
140 |
155 |
N |
7.2.3.7 Если комбинация наушники/каска снабжена приспособлением для регулирования усилия прижатия эквивалента оголовья, то установить минимальное значение силы и повторить испытания в соответствии с 7.2.3.4 — 7.2.3.6.
7.2.4 Протокол
Протокол результатов испытания составляют согласно 7.2.3.5
7.3 Испытание вращения чашек
7.3.1 Принцип
После подгонки комбинации наушники/каска к макету головы испытывают угловые вращения чашек с использованием специальной конструкции для крепления.
7.3.2 Аппаратура
7.3.2.1 Испытательная конструкция в соответствии с рисунком 3.
|
I — корпус каски: 2 ~ наушник; 3 — опорная пластина; 4 — регулируемая пластана; J — втулка; б — соединительный шгифг, 7 — датчик силы; 8 — стержень; 9 — опорный вкладыш каски; Ю — монтажный болт Рисунок 3 |
ГОСТ Р 12.4.210-99
7.3.2.2 Макеты ушных раковин, необходимые размеры указаны на рисунке 4.
|
Рисунок 4 — Макет ушной раковины для испытания соответствия размеров (только для физических измерений) |
|
Формирование макета левой ушной раковины |
Формирование макета правой ушной раковины
7.3.2.3 Переходное устройство для нсплоских амортизаторов (адаптер)
Для наушников с нсплоскими амортизаторами изготовитель должен поставлять соответствующие адаптеры, которые следует закрепить на тестовой конструкции.
7.3.3 Испытания
7.3.3.1 Установите макеты ушных раковин на пластинах испытательной конструкции таким образом, чтобы длинные оси ушных раковин располагались вертикально.
7.3.3.2 Отрегулируйте две пластины под углом 5‘ верхним краем наружу, так чтобы расстояние между ними, измеренное по серединной горизонтальной линии, соответствовало тестовой ширине, значения которой приведены в таблице 3.
7.3.3.3 Выньте из каски мягкое крепление и просверлите маленькое отверстие в каркасе по центральной вертикальной оси. Через это отверстие должен войти болт, прикрепляющий корпус к опорному вкладышу каски согласно рисунку 3.
7.3.3.4 Поместите комбинацию наушники/каска на испытательную конструкцию и закрепите с помощью болта.
7.3.3.5 Если комбинация наушники/каска снабжена приспособлением для регулирования усилия прижатия эквивалента оголовья, то установите максимальное значение силы.
7.3.3.6 Установите держатели чашек в положение, указанное согласно 7.2.3.6, и отра-улируйте на конструкции высоту опорного вкладыша (где закреплена каска) так, чтобы макеты ушной раковины были накрыты амортизаторами.
7.3.3.7 Вращайте одновременно пластины на ± 5‘ вокруг горизонтальной оси через центр в плоскости пластин, а также на ± 5* вокруг второй оси тоже в плоскости пластин, но под прямым углом (ортогонально) к горизонтальной оси.
10
ГОСТ Р 12.4.210-99
7.3.3.8 Следите, чтобы контакт между амортизаторами и пластинами был непрерывен на всем протяжении.
Примечание — Нарушение контакта между буферами и пластинами допустимо лишь там. глс область крепления макета ушной раковины, размером 46 х 10 мм. располагается на пластинах.
7.3.3.9 Если комбинация наушники/каска снабжена приспособлением для регулирования усилия прижатия эквивалента оголовья, то установите минимальное значение силы и повторите испытания в соответствии с 7.3.3.6 — 7.3.3.8.
7.3.3.10 Если модель имеет несколько размеров, то повторите испытания с соответствующими значениями ширины и высоты.
7.3.4 Протокол
Протокол результатов испытания составляют согласно 7.3.3.8.
7.4 Определение усилия прижатия эквивалента оголовья
7.4.1 Принцип
При конкретном варианте регулирования комбинации наушники/каска измерьте усилие прижатия амортизаторов на поддерживающие их пластины, пользуясь методом, не требующим значительных изменений расстояния между пластинами.
7.4.2 Аппаратура
7.4.2.1 Измерительная установка показана на рисунке 3.
Измерение силы проводят электронным датчиком. Макеты ушной раковины для данного испытания не устанавливают.
7.4.2.2 Переходное устройство для неплоских амортизаторов (адаптер)
Для наушников с неплоскими амортизаторами изготовитель должен поставлять соответствующие адаптеры, которые нужно закрепить на испытательной конструкции.
7.4.3 Испытания
Примечание — Для комбинации наушники/каска, не снабженной устройством для регулирования усилия прижатия эквивалента оголовья, эти испытания рекомендуется проводить одновременно с измерением давления амортизаторов, как описано в 7.5.
Оба испытания проводят после удаления мягкого крепления из корпуса каски.
7.4.3.1 Отрегулируйте две пластины конструкции так, чтобы они располагались параллельно и расстояние между их наружными поверхностями соответствовало тестовой ширине, указанной в таблице 3.
Если испытания проводят после периода выдержинания (кондиционирования) комбинации наушники/каска по 7.1.3.11, то используйте ширину и высоту, которые обеспечат наименьшую силу давления оголовья согласно 7.1.3.3.
7.4.3.2 Установите держатели чашек в положение, указанное в 7.2.3.6.
7.4.3.3 Установите комбинацию наушники/каска на испытательной конструкции таким образом, чтобы центры отверстий амортизаторов примерно совпадали с отверстиями в пластинах для крепления макетов ушных раковин в соответствии с рисунком 3.
Убедитесь, что комбинация наушники/каска нигде не контактирует с испытательной конструкцией, иначе будут искажаться результаты измерений силы давления.
Примечание — Для некоторых типов касок могут понадобиться дополнительные приспособления, препятствующие поворачиванию каски на макете.
7.4.3.4 Если комбинация наушники/каска снабжена устройством для регулирования усилия прижатия эквивалента оголовья, установите минимальное значение силы.
7.4.3.5 Считывайте показания датчика силы спустя 5 мин ± 5 с после того, как отпустите держатели в соответствии с 7.4.3.3; снимите комбинацию наушники/каска с испытательной конструкции.
7.4.3.6 Если модель имеет несколько размеров, то повторите испытания при соответствующих значениях ширины и высоты, причем каждое испытание с интервалами не менее 4 ч.
7.4.4 Протокол
Зарегистрируйте усилие прижатия эквивалента оголовья согласно 7.4.3.5. Определте и запишите среднее значение усилия прижатия эквивалента оголовья для образцов с первого по шестой.
II
ГОСТ Р 12.4.210-99
7.5 Определение силы давления амортизатора
7.5.1 Принцип
При конкретном варианте регулировки комбинации наушники/каска измерьте силу давления амортизаторов на поддерживающие пластины, используя способ, не требующий значительных изменений расстояния между пластинами. Измерьте также площадь контакта между одним из амортизаторов и пластиной.
Такой метод важен, поскольку усилие прижатия эквивалента оголовья распределяется по поверхности амортизатора неравномерно, а область реального контакта всегда меньше поверхности амортизаторов. Это требование позволяет не применять специальных устройств или креплений для изолированных чашек, их можно просто прижать к пластине рукой.
7.5.2 Аппаратура
7.5.2.1 Испытательная конструкция; схема показана на рисунке 3. Силу давления измеряют с помощью электронного датчика. Макеты ушной раковины для этого теста не требуются.
7.5.2.2 Маркировочное вещество, например разбавленные литографские чернила, белый петро-лейный гель или эмульсионная краска.
7.5.2.3 Приспособления, чтобы измерить площадь контактной области, например планиметр.
7.5.2.4 Переходное устройство для неплоских амортизаторов (адаптер). Для наушников с неплоскими амортизаторами изготовитель должен поставлять соответствующие адаптеры, которые нужно закрепить на испытательной конструкции.
7.5.3 Испытания
Примечание — Для комбинации наушники/каска, не имеющей устройства для регулирования усилия прижатия эквив

