Государственная система обеспечения единства измерений. Мерники металлические образцовые. Методика поверки

Страница 1

Страница 2

Страница 3

Страница 4

Страница 5

Страница 6

Страница 7

Страница 8

Страница 9

Страница 10

Страница 11

Страница 12

Страница 13

Страница 14

Страница 15

Страница 16

Страница 17

Страница 18

Страница 19

Страница 20

Страница 21

Страница 22
ГОСУДАРСТВЕННЫЙ СТАНДАРТ СОЮЗА ССР
ГОСУДАРСТВЕННАЯ СИСТЕМА ОБЕСПЕЧЕНИЯ ЕДИНСТВА ИЗМЕРЕНИЙ
МЕРНИКИ МЕТАЛЛИЧЕСКИЕ ОБРАЗЦОВЫЕ
МЕТОДЫ И СРЕДСТВА ПОВЕРКИ
ГОСТ 8.400-80 (СТ СЭВ 1054-78)
Издание официальное
ГОСУДАРСТВЕННЫЙ КОМИТЕТ СССР ПО СТАНДАРТАМ
Мосяеа
РАЗРАБОТАН Государственным комитетом СССР по стандартам ИСПОЛНИТЕЛИ
И. А. Логвинов, Б. Г. Хусамнов ВНЕСЕН Государственным комитетом СССР по стандартам
Член Госстандарте П. К. Исае*
УТВЕРЖДЕН И ВВЕДЕН В ДЕЙСТВИЕ Постановлением Государственного комитета СССР по стандартам от 13 октября 1980 г. № 5070
|
|||||||||||||||||
|
Постановленном Государственного комитет» СССР по стандартам от 15 октября 1980 г. № 5070 срок введения установлен с 01.07 1981 г. |
Настоящий стандарт распространяется на образцовые металлические сливные мерники 1-го разряда и образцовые металлические сливные и наливные мерники 2-го разряда, находящиеся в эксплуатации. выпускаемые из производства и после ремонта, и устанавливает методы и средства их первичной и периодической поверок.
Стандарт соответствует СТ СЭВ 1054—78 в части операций и средств поверки, условий поверки, проведения поверки и оформления результатов поверки (см. справочное приложение 4).
1. ОПЕРАЦИИ И СРЕДСТВА ПОВЕРКИ
1.1. При проведении поверки должны быть выполнены операции и применены средства, указанные в таблице.
|
||||||||||||
|
Издание официальное Перепечатка воспрещена ★ |
© Издательство стандартов, 1981
Стр. 2 ГОСТ MOO-tO
Продолжение
|
Обязательность про-ведайна операций при |
||||
|
Наииеповаике операций |
Номере пунктов стандарта |
Средств а поверни н их иорматлвиотехничесвие характеристики |
выпуске из производства и поела ремонта |
мгеплуа. таим* я жрапе-кая |
|
Опробование Определение вместимости мерников 1-го разряда |
3.2 3.3 |
Образцовые веса 3-го разряда по ГОСТ 16474-70, наборы образцовых гирь 3-го разряда по ГОСТ 12656-78; образцовые грузопорш-невые весы типов ОГВ-1 и ОГВ-2 АО 1000 и 2000 кг с наибольшей допускаемой погреш,-ностью *0,01% измеряемой величины; лабораторные термометры с ценой деления 0,1°С по ГОСТ 215-73, контрольный уровень по ГОСТ 3059-75, вспомогательные сосуды разной вместимости. секундомер по ГОСТ 5072-79 |
Да Да |
Да Да |
|
Определение вмести, мости мерников 2-го разряда |
3.4 |
Образцовые мерники 1-го разряда номинальной вместимостью от 1 до 1000 дк1. образцовые стеклянные колбы 1-го разряда номинальной вместимостью ОД 1, 2, 5, 10 дмя, образцовые пипетки на полный слив вместимостью до 0,1 дм’ по ГОСТ 20292-74; средства поверки по п. 3.3 |
Да |
Да |
Примечание. Допускается применять отдельные, вновь разработанные иди находящиеся в применении средства поверки, прошедшие метрологическую апестацню в органах государственной метрологической службы и удовлетвори-ющне по точности требованиям настоящего стандарта.
ГОСТ 8.400-80 Стр. 3
2. УСЛОВИЯ ПОВЕРКИ И ПОДГОТОВКА К НЕЙ
2.1. При проведении поверки образцовых мерников 1 и 2-го разрядов должны быть соблюдены следующие условия:
температура окружающей среды (293±5)К (20=5)°С;
скорость изменения температуры воздуха не более 1 К (°С)/’ч;
изменение температуры воды во время поверки не должно превышать ±0,2 К ( С) для мерников I-го разряда и ±0.5 К (°С) — для мерников 2-го разряда;
температуру воды и воздуха следует измерять с погрешностью не более ±0,1 К (°С);
для мерников 1-го разряда рабочая среда— дистиллированная вода, для мерников 2-го разряда — питьевая вода.
Примечание. Качество дистиллированной золы, питьевой воды и спирта должно соответствовать требованиям, установленным в технической документации на эти жидкости.
2.2. Перед проведением поверки мерников 1 и 2-го разрядов должны быть выполнены следующие подготовительные работы:
поверяемые мерники выдерживают в помещении для поверки до достижения ими температуры, требуемой при поверке;
мерники устанавливают по уровню или отвесу;
сливные мерники перед поверкой смачивают дистиллированной водой, а наливные — тщательно высушивают.
Примечание. Внутренние стенки мерннкоя ]-го разряда промывают спиртом.
Стр. 4 ГОСТ 8.400-80
ника, и весы уравновешивают при помощи любого груза Т, помещаемого на протнвовесную чашу. Записывают крайние отклонения стрелки весов по шкале от положения равновесия /ь /2 и /3.
Центр равновесия Zj вычисляют по формуле
z, = ,Hyi, (1)
где /|, /г, /з — крайние положения стрелки весов по шкале от положения равновесия (в делениях шкалы).
3.3.1.1. Мерник заполняют дистиллированной водой до отметки номинальной вместимости и ставят на предметпую чашу весов, с которой следует убрать образцовые гири. Измеряют температуру жидкости в мернике.
Примечание. При необходимости мерник уравновешивают добавлением образцовых гирь 3-го разряда q. Добавка считается отрицательной, если 1ирн накладывают на предметную чашу. По формуле (1) вычисляют возое положение центра равновесия Zt.
Смещение центра равновесия определяют, вычитая из значения Z2 значение Z\.
3.3.1.2. Определение цены деления весов S проводят добавлением груза массой В, значение которой выбирают применительно к чувствительности весов. При этом получают третье положение равновесия Zy
Примечание. Целесообразно, чтобы Zj отличалось от Z, не менее чем на 2 — 3 деления шкалы весов
Тогда
где В — масса добавочного груза, необходимая для определения цены деления шкалы весов, кг;
Zi — положение равновесия мерника с водой (в делениях шкалы);
Zj —положение равновесия мерника при добавлении груза массой В (в делениях шкалы).
Поправка на смещение центра равновесия равна (Z2—Z,) 5.
В случае, если знаки добавляемых образцовых гирь (±q) и направление смещения центра равновесия совпадают, то из значения гирь Q вычитают значение смещения центра равновесия. Если знаки разные, то значения складывают.
ГОСТ 8.400—SO Стр. S
3.3.1.3. Вместимость мерника Vt в дм1 по результатам взвешивания на образцовых весах определяют по формуле
Vt=p[Q+q+&~Z>)S\, (3)
где р — коэффициент, учитывающий поправку, обусловленную взвешиванием в воздухе (средняя плотность воздуха принята 1,2 кг/м3, условная плотность образцовых гирь 8-103 кг/м3) и изменением плотности воды в зависимости от тех(пературы.
Значения поправочного коэффициента р приведены в справочном приложении 1.
3.3.1.4. Вместимость мерника Ум. соответствующую температуре 293 К (20°С). вычисляют по формуле
V^nV,, (4)
где п — коэффициент, учитывающий изменение объема мерника от изменения температуры, значения которого приведены в справочном приложении 1.
3.3.2. Второй способ. При поверке по этому способу предварительно смоченный поверяемый мерник заполняют дистиллированной водой до отметки номинальной вместимости. Затем мерник устанавливают на предметную чашу весов и уравновешивают при помощи вместимости, помещаемой на другую чашу. Измеряют температуру воды и определяют центр равновесия по формуле (1). После этого воду следует слить. Для полного опорожнения поверяемого мерника после слива сплошной струей дают выдержку на слив капель в течение 1 мин для мерников всех вместимостей 1-го разряда.
Примечание. В случае поверки по этому способу образцовых меринков 2-го разряда выдержку сокращают до 30 с.
Далее пустой поверяемый мерник устанавливают на предметную чашу. Йа эту же чашу устанавливают образцовые гири, масса которых равна массе воды, соответствующей номинальной вместимости мерника.
Объем мерника рассчитывают по формулам (1)—(4).
Примечание. В случае, если необходимо, весы уравновешиваю г пр» помощи образцовых гирь. При этом добавка считается положительной, если гири накладывают на предметную чашу весов.
3.3.3. Третий способ. По этому способу определение вместимости образцовых мерников проводят в тех случаях, когда предел взвешивания образцовых весов не позволяет взвешивать воду
1
Стр. 6 ГОСТ 8.400—во
непосредственно в поверяемом мернике. В этом случае взвешивание следует проводить в несколько приемов, используя установленный на весах вспомогательный сосуд, приспособленный для данных целей.
3.3.3.1. Наполнив мерннк непосредственно перед взвешиванием дистиллированной водой до отметки номинальной вместимости, измеряют температуру воды, затем по таблице справочного приложения I определяют значение объема воды при данной температуре.
3.3.3.2. На предметную чашу весов устанавливают сосуд с образцовыми гирями, обшая масса которых в килограммах равна массе дистиллированной воды в объеме, соответствующем объему принятой дозы. Па другую чашу кладут груз, необходимый для уравновешивания весов. Затем гири с предметной чаши снимают и в сосуд из мерника наливают воду до момента уравновешивания.
3.3.3.3. После слива из мерника первой дозы процесс повторяют, при этом при каждом взвешивании весы повторно уравновешивают. При взвешивании последней дозы уравновешивание выполняют, добавляя образцовые гири. Добавку считают отрицательной. если гири накладывают на предметную чашу весов. Вычисления суммарного объема доз, равного номинальной вместимости поверяемого мерника, проводят по формулам (I) — (4).
3.3.3.4. По окончании каждого слива из мерника воды сплошной струей дается I мин на слив капель для мерников I-го разряда.
Примечания;
1. В случае поверки по этому способу образцовых меринков 2-го разряда выдержку сокрашзвот до 30 с.
2. Для уменьшения испарения воды вспомогательный сосуд снабжают крышкой.
3. При необходимости взвешивание допускается повторить и найти среднее арифметическое значение результатов измерений. Разность между результатами двух значений вместимости не должна превышать половины значений основной погрешности, указанной в п. 2 обязательного приложения 3-
Форма протокола обработки результатов поверки приведена в обязательном приложении 2.
3.4. Вместимость мерников 2-го разряда определяют массовым или объемным методом.
Поверку массовым методом проводят по п. 3.3, применяя образцовые весы 3-го разряда с использованием образцовых гирь
3-го разряда.
3.4.1. Поверку объемным методом проводят, наливая в мерннк воду, объем которой должен быть предварительно измерен образцовым мерником 1-го разряда.
ГОСТ 8.400-80 Стр. 7
3.4.2. Перед измерением поверяемый мерник должен быть смочен иодой. Перед заполнением образцовая и поверяемая меры должны быть установлены по уровню.
3.4.3. После заполнения образцовой или поверяемой меры необходимо убедиться, что уровень воды окончательно установился, а после опорожнения мер убедиться, что вода полностью удалена. Для этого после слива сплошном струей дается 30 с на слив капель для мерников всех вместимостей.
Если в поверяемом мернике установившийся уровень воды будет ниже отметки номинальной вместимости, то» при помощи образцовых пипеток или колб необходимо долить воду, в случае, если уровень воды выше отметки номинальной вместимости, то излишек воды следует слить.
За абсолютную погрешность поверяемого мерника принимают разность между номинальным значением вместимости меринка и его действительным значением.
Примечания:
1. Соотношение вместимости поверяемого и образцового мерником (или вспомогательного сосуда) при определения вместимости объемным н массовым методами следует выбирать исходя нз конкретных условий поверок.
2. Во избежание ошибок при измерении доз образцовый мерник следует выбирать тзкой вместимости, чтобы число измерений не превышало 50.
3. У мерников 2-го разряда, имеющих на смотровых стеклах или шкальных пластинах несколько отметок, после определения номинальной вместимости и вместимостей на крайних отметках при помощи образцовых пипеток или образцовых колб промежуточные значения вместимости следует определять по рапномерной шкале, нанесенной при помощи мер длины.
3.4.4. Вместимость поверяемых мерников должны определять два раза. При этом разность между результатах»! этих измерений не должна превышать половины основной погрешности поверяемого мерника, указанной в пп. 2 и 3 обязательного приложения 3.
4. ОФОРМЛЕНИЕ РЕЗУЛЬТАТОВ ПОВЕРКИ
4.1. Положительные результаты поверки должны оформляться: при первичной понерке внесением соответствующей записи в паспорт мерника, удостоверенной в порядке, установленном пред-приятием-изготовителем;
при периодической государственной поверке нанесением государственного повелительного клейма н выдачей свидетельства о поверке по форме, установленной Госстандартом.
Клеймо должно наноситься в местах, исключающих возможность изменения вместимости мерника.
Стр. 8 ГОСТ вЛв»-80
На оборотной стороне свидетельства о поверке образцовых мерников 1 и 2-го разрядов, помимо номинальной вместимости, указывают действительное значение вместимости и поправку при 293 К (20°С).
4.2. При отрицательных результатах поверки мерники запрещают к применению, клеймо гасят, свидетельство аннулируют.
ГОСТ 8.400—«0 Стр. 9
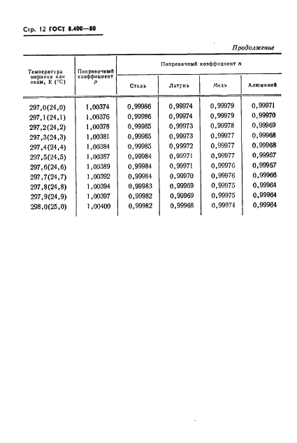
ПРИЛОЖЕНИЕ 1 Справочное
|
ТАБЛИЦА ПОПРАВОЧНЫХ КОЭФФИЦИЕНТОВ |
||||||||||||||||||||||||||||||||||||||||||||||||||||||||||||||||||||||||||||||||||||||||||||||||||||||||||||||||||||||||||||||||||||||||||||||||||||||||||||||||||||||||||||||||||
|
||||||||||||||||||||||||||||||||||||||||||||||||||||||||||||||||||||||||||||||||||||||||||||||||||||||||||||||||||||||||||||||||||||||||||||||||||||||||||||||||||||||||||||||||||
Стр. 10 гост моо—во
|
Продолжение |
||||||||||||||||||||||||||||||||||||||||||||||||||||||||||||||||||||||||||||||||||||||||||||||||||||||||||||||||||||||||||||||||||||||||||||||||||||||||||||||||||||||||||||||||||||||||||||||||||||||
|
||||||||||||||||||||||||||||||||||||||||||||||||||||||||||||||||||||||||||||||||||||||||||||||||||||||||||||||||||||||||||||||||||||||||||||||||||||||||||||||||||||||||||||||||||||||||||||||||||||||
|
ГОСТ 8.400-80 Стр. 11 Продолжение |
||||||||||||||||||||||||||||||||||||||||||||||||||||||||||||||||||||||||||||||||||||||||||||||||||||||||||||||||||||||||||||||||||||||||||||||||||||||||||||||||||||||||||||||||||||||||||||||||||||
|
||||||||||||||||||||||||||||||||||||||||||||||||||||||||||||||||||||||||||||||||||||||||||||||||||||||||||||||||||||||||||||||||||||||||||||||||||||||||||||||||||||||||||||||||||||||||||||||||||||
Стр. 12 ГОСТ 1.400—(0
Продолжение
|
1>ывср«тура мерите или ком, К (X) |
Попря»очннЙ ■.-оэффиЕмеит Р |
ПозргаочгмА коэффициент л |
|||
|
Сталь |
Летун» |
Медь |
Алюмииг* |
||
|
297,0(24,0) |
1.00374 |
0,99966 |
0.99974 |
0,99979 |
0,99971 |
|
297,1(24.1) |
1.00376 |
0.9Э986 |
0.99974 |
0,99979 |
0,99970 |
|
297,2(24,2) |
1,00378 |
0,99985 |
0,99973 |
0.99978 |
0,99969 |
|
297,3(24,3) |
1.00381 |
0,99985 |
0,99973 |
0,99977 |
0.99968 |
|
297,4(24,4) |
1.00384 |
0,99995 |
0,99972 |
0,99977 |
0.99968 |
|
297,5(24,5) |
1.00387 |
0,99984 |
0,99971 |
0,99977 |
0,99967 |
|
297,6(24,6) |
1.00389 |
0,99984 |
0.99971 |
0,99976 |
0,99967 |
|
297.7(24.7) |
1.00392 |
0.99984 |
0.99970 |
0,99976 |
0,99966 |
|
297,8(24,8) |
1,00394 |
0,99983 |
0,99969 |
0,99975 |
0.999G1 |
|
297.9(24,9) |
1,00397 |
0,99982 |
0,99969 |
0.99975 |
0,99961 |
|
298.0(25,0) |
1,00400 |
0,99982 |
0,99968 |
0,99974 |
0,99961 |
ПРИЛОЖЕНИЕ 2
Обязательное
ГОСТ 1.400—SO Стр. 13
|
ФОРМА ПРОТОКОЛА ОБРАБОТКИ РЕЗУЛЬТАТОВ ПОВЕРКИ МАССОВЫМ МЕТОДОМ ОБРАЗЦОВЫХ МЕРНИКОВ 1-го РАЗРЯДА |
|||||||||||||||||||||||||||||||||||||||||||||||||||||||||||||||||||||||||||||||
|
|||||||||||||||||||||||||||||||||||||||||||||||||||||||||||||||||||||||||||||||
G^Q+q+SiZj-Z,)
Примечание. Погрешность меринка, приведенная к 293К (204:), составляет
A»=V’-/’nlQ+?-bS(Z1-ZI)l
Образцовый меркнк (годен, забракован, указать причину)_
Подпись лица, проводившего поверку-
Дата -19—г.
Стр. 14 ГОСТ 8.400-М
ПРИЛОЖЕНИЕ 9 Обязательное
ОСНОВНЫЕ ТЕХНИЧЕСКИЕ ТРЕБОВАНИЯ К МЕТАЛЛИЧЕСКИМ ОБРАЗЦОВЫМ МЕРНИКАМ 1 и 2-го РАЗРЯДОВ
1. Образцовые мерники должны иметь следующие номинальные вместимости при температуре 293 К (2<РС):
мерники 1-го разряда — !; 2; 5; 10; 20; 25; 50; 100; 200; 500 н 1000 дм*;
мерники 2-го разряда — 1; 2; 5; 10; 20; 25; 50; 100; 200; 500; 1000; 2000 и 5000 дм*.
Мерннк» 2-го разряда вместимостью более 100 дм* допускаются к изготовлению с иной номинальной вместимостью, например: 100, (150), 200, (250), 300
и т. д.
2. Основная погрешность образцовых мерников 1-го раэрядл при температуре 293 К (20°С) не должна быть более ±0,02% номинальной вместимости.
3. Основная погрешность образцовых мерников 2-го разряда при температуре 293 К (20*С) должна составлять ±(0,05—0,1)% номинальной вместимости.
4. Конструкция мерников должна обеспечивать достаточную прочность я постоянство вместимости при ддителыюй эксплуатации, возможность измерения температуры во время поверки, промывку во время эксплуатации, надежную работу запорной арматуры, герметичность разъемных соединений.
5. Мерники, приведенные на черт. 4. должны иметь достаточно жесткое дно.
6. Мерники, приведенные иа черт. 1—3, должны монтироваться на жесткой стаииие, которая допускает удобное транспортирование н предохраняет ответственные части мерника от механических повреждений, а 7акжс обеспечивает возможность вертикальной установки.
7. Мерники должны изготовляться из коррозионно-стойких материалов, обеспечивающих достаточную жесткость и прочность конструкции.
8. Образцовые мерники 1-го разряда должны иметь форму, соответствующую черт. 1, 2, и должны снабжаться прозрачными горловинами или водоука-зательнымк окнами со шкальной пластиной или водосливом ка номинальную вместимость.
9. Образцовые мерники 2-го разряда вместимостью по 5 дм* должны иметь форму, соответствующую черт. 4.
Образцовые мерники 2-го разряда вместимостью 10 дм* и более могут иметь форму, соответствующую черт. 2. 3, н должны снабжаться водомерной трубкой или водоуказательным окном с отградуированной шкалой или водосливом а а номинальную вместимость.
Примечание. В случае перевода меринков 1-го разряда во 2-й разряд к результате поверки их форма может отличаться от указанной в данном пункте.
10. Шкала мерника должна находиться около водоукязательиого окна или водомерной трубки. Шкалу должны крепить к горловике мерняка так, чтобы ее положение не изменялось без нарушения повсрителького клейма,
И. Прозрачная часть горлоннны мерника н водомерная трубка должны изготовляться из бесцветного материала н не иметь дефехтов, препятствующих наблюдению за мениском жидкости. Отметки на горловике и на шкале должны быть перпендикулярны к оси горловины.
12. Отметки на шкале мерника должны быгь постоянными и четко видимыми. У образцовых мерников I-го разряда должна накоситься только отметка номинальной вместимости; у образцовых мернихоп 2-го разряда наносится отмет-
ГОСТ 8.400-80 Стр. 15
ка номинальной вместимости н шкала делится равномерно на значения вместимости. соответствующие значению основной погрешности мерника.
13. Цена деления шкалы мерника ие должна Сыть более двойной основной» погрешности (см. пп. 2 н 3).
t
|
Черт. I |
|
Черт. 2 Черт. 3 |
Черт. 4
14. Ссчсиис горловины должно быть таким, чтобы высота столба жидкости,, соответствующая цене деления шкалы мерника, составляла ис менее 4 мм. Минимальный диаметр горловины мерников должен быть не менее 10 мм.
15. Длина шкалы должна составлять ±1% номинальной вместимости мерника.
16. Внутренний диаметр водомерной трубки у мерника, приведенною иа черт. 3, доджем быть ие меяее 15 мм.
17. Ширина прозрачного участка в свету окна защитного кожуха горловины должна быть не менее 15 мм.
18. Ширина отметок шкалы мерников 2-го разряда должна быть не более 0,5 мм.
19. Ширина отметок шкалы мерников 1-го разряда должна быть не более 0,25 мм.
20. Мерники 2-го разряда вместимость» 20 дм5 и более могут иметь кран для доведения жидкости до отметки номинальной вместимости.
21. Для унификации и расширения области применения мерников при выполнении поверок и аттестации мер вместимостей измерительные горловины допускается изготовлять съемными.
22. Углы наклона конических стенок мерников по отношению * вертикальной оси должны быть 45—80’. Углы наклона сливного и наливного патрубков по отношению к вертикальной оси должны находиться от 0 до 80°.
23. Конструкция мерника должна обеспечивать удобное навесение клейм ила пломб, исключающее возможность перемещения шкальной пластины, замены измерительной горловины и перемещения крана-
24. На табличке, прикрепленной х корпусу мерника, должна быть нанесена следующая маркировка: надписи «Мерник образцовый»; «Вместимость, дм1 при 293К (20°С)>; разряд мерника; наименование предприятия-изготовителя ил/.’ товарный знак; порядковый номер мермнха по системе нумерации предприятия-изготовителя; год выпуска.
Стр. 16 ГОСТ 8.400-80
25. При хранении мерников в помещениях их следует предохранять от ныли защитными чехлами.
26. Меринки должны храниться в закрытом помещении при температуре окружающего поадуха от 233 до 3I3K (от минус 40 до плюс 40*С).
Воздух помещения ие должен содержать агрессивных веществ.
27. Мерники долж
