Накладки двухголовые к рельсам типов Р65 и Р75. Конструкция и размеры

Страница 1

Страница 2

Страница 3

Страница 4

Страница 5

Страница 6
ГОСТ 8193-73
МЕЖГОСУДАРСТВЕННЫЙ СТАНДАРТ
НАКЛАДКИ ДВУХГОЛОВЫЕ К РЕЛЬСАМ ТИПОВ Р65 И Р75
Конструкция и размеры
ИПК ИЗДАТЕЛЬСТВО СТАНДАРТОВ
Москва
МЕЖГОСУДАРСТВЕННЫЙ СТАНДАРТ
|
НАКЛАДКИ ДВУХГОЛОВЫЕ К РЕЛЬСАМ Конструкция и размеры Double-headed fish plates for P65, P75 rails. Design and dimensions |
ГОСТ |
Дата введения 01.01.75
1. Настоящий стандарт распространяется на стыковые двухголовые накладки к железнодорожным рельсам типов Р65 и Р75.
Настоящий стандарт соответствует СТ СЭВ 1669 в части конструкции и размеров.
(Измененная редакция, Изм. № 2).
2. Конструкции и размеры поперечного сечения накладок должны соответствовать указанным на черт. 1.
Черт. 1
* Размеры для справок.
Примечания:
1. Радиусы закруглений, не указанные на чертеже, выполняют размером (4±2,0) мм.
2. Размеры, на которые не установлены предельные отклонения в готовых накладках, должны обеспечиваться технологией. Предельные отклонения не должны превышать ±1,0 мм.
3. В скобках указаны размеры для накладок, не рекомендуемых к применению.
(Измененная редакция, Изм. № 1, 2, 3).
3. Длина накладок, расположение и размеры болтовых отверстий с наружной стороны должны соответствовать указанным на черт. 2 и 3.
Исполнение накладок устанавливают по согласованию между изготовителем и потребителем.
Черт. 2
* Размеры для справок.
Примечание. Размеры отверстий указаны со стороны продавливания.
Черт. 3
Пример условного обозначения накладки к рельсам типов Р65 и Р75 в исполнении 1:
Накладка 1Р65 ГОСТ 8193-73
То же, в исполнении 2:
Накладка 2Р65 ГОСТ 8193- 73.
(Измененная редакция, Изм. № 1, 2).
4. Расчетные данные конструкции накладок приведены в приложении 1.
5. Технические требования — по ГОСТ 4133.
4, 5. (Введены дополнительно, Изм. № 2).
6. (Исключен, Изм. № 1).
7. (Исключен, Изм. № 2).
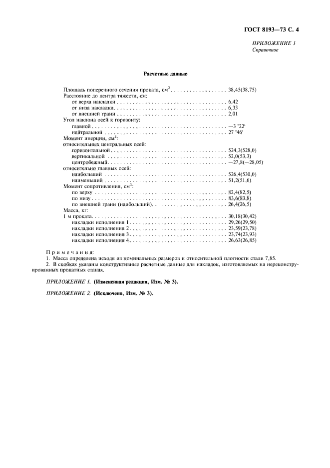
ПРИЛОЖЕНИЕ 1
Справочное
Расчетные данные
Площадь поперечного сечения проката, см2 38,45 (38,75)
Расстояние до центра тяжести, см:
от верха накладки 6,42
от низа накладки 6,33
от внешней грани 2,01
Угол наклона осей к горизонту:
главной -3º 22’
нейтральной 27º 46’
Момент инерции, см4:
относительных центральных осей:
горизонтальной 524,3 (528,0)
вертикальной 52,0 (53,3)
центробежный 27,8 (-28,05)
относительно главных осей:
наибольший 526,4 (530,0)
наименьший 51,2 (51,6)
Момент сопротивления, см3:
по верху 82,4 (82,5)
по низу 83,6 (83,8)
по внешней грани (наибольший) 26,4 (26,5)
Масса, кг
1 м проката 30,18 (30,42)
накладки исполнения 1 29,26 (29,50)
накладки исполнения 2 23,59 (23,78)
накладки исполнения 3 23,74 (23,93)
накладки исполнения 4 26,63 (26,85)
Примечания:
1. Масса определена исходя из номинальных размеров и относительной плотности стали 7,85.
2. В скобках указаны конструктивные расчетные данные для накладок, изготовляемых на нереконструированных прокатных станах.
ПРИЛОЖЕНИЕ 1. (Измененная редакция, Изм. № 3).
ПРИЛОЖЕНИЕ 2. (Исключено, Изм. № 3).
ИНФОРМАЦИОННЫЕ ДАННЫЕ
1. РАЗРАБОТАН И ВНЕСЕН Министерством путей сообщения СССР
РАЗРАБОТЧИКИ
В.Ф. Афанасьев, канд. техн. наук; К.И. Красиков, канд. техн. наук; А.К. Гучков; А.К. Кузнецов; В.И. Гришина; С.И. Рудюк; В.Ф. Коваленко; Л.Ф. Кузнецов; В.И. Багузин
2. УТВЕРЖДЕН И ВВЕДЕН В ДЕЙСТВИЕ Постановлением Государственного комитета стандартов Совета Министров СССР от 14.09.73 № 2159
3. Стандарт соответствует СТ СЭВ 1669-79 в части конструкции и размеров
4. ВЗАМЕН ГОСТ 8193-56
5. ССЫЛОЧНЫЕ НОРМАТИВНО-ТЕХНИЧЕСКИЕ ДОКУМЕНТЫ
|
Обозначение НТД, на которые дана ссылка |
Номер пункта |
|
ГОСТ 4133-73 |
5 |
|
СТ СЭВ 1669-79 |
1 |
6. Ограничение срока действия снято по протоколу № 4-93 Межгосударственного Совета по стандартизации, метрологии и сертификации (ИУС 4-94)
7. ПЕРЕИЗДАНИЕ (август 1998 г.) с Изменениями № 1, 2, 3, утвержденными в ноябре 1979 г., апреле 1981 г., декабре 1989 г. (ИУС 12-79, 7-81, 4-90)
