Государственная система обеспечения единства измерений. Шкалы температурные практические
Заменяет

Страница 1

Страница 2

Страница 3

Страница 4

Страница 5

Страница 6

Страница 7

Страница 8

Страница 9

Страница 10

Страница 11

Страница 12

Страница 13

Страница 14

Страница 15

Страница 16

Страница 17

Страница 18

Страница 19

Страница 20

Страница 21

Страница 22

Страница 23

Страница 24

Страница 25

Страница 26
ГОСУДАРСТВЕННЫЙ СТАНДАРТ’ СОЮЗА ССР
ГОСУДАРСТВЕННАЯ СИСТЕМА ОБЕСПЕЧЕНИЯ ЕДИНСТВА ИЗМЕРЕНИЙ
ШКАЛЫ ТЕМПЕРАТУРНЫЕ ПРАКТИЧЕСКИЕ
ГОСТ 8.157-75 Издание официальное
ГОСУДАРСТВЕННЫЙ КОМИТЕТ СССР ПО СТАНДАРТАМ Москва
УДК 536.5.081 : 006 : 354 Группа ХМ
ГОСУДАРСТВЕННЫЙ СТАНДАРТ СОЮЗА ССР
|
Государственная система обеспечения единства измерений ШКАЛЫ ТЕМПЕРАТУРНЫЕ ПРАКТИЧЕСКИЕ State system for ensuring the uniformity, of measurements. •Practical temperature scales |
ГОСТ 8.157-75 Взамен ГОСТ 85*0—61 (в части МПТШ—48] и ГОСТ 12442-66 |
Постановлением Государственного комитета стандартов Совета Министров СССР от 12 мая 1975 г. N9 1246 срок введения установлен
с 01.01.76
Настоящий стандарт устанавливает практические температурные шкалы, предназначенные для обеспечения единства измерений ^температуры в диапазоне от 0,01 до 10000Q К, и методы их осуществления.
В стандарте учтены рекомендации Международного комитета мер и весов и его Консультативного комитета по термометрии.
1. ОБЩИЕ ПОЛОЖЕНИЯ
1.1. Совокупность практических температурных шкал, установленных настоящим стандартом, образует единую систему температурных шкал, непрерывную от 0,01 до 100000 К. Практические температурные шкалы реализуются различными, методами.
1.2. Практические температурные шкалы установлены таким образом, что температуры; измеренные по ним, насколько возможно близки к термодинамическим температурам.
1.3. Единицей температуры по практическим температурным шкалам, установленным настоящим стандартом, так же как и единицей термодинамической температуры, является кельвин
(К).
1.4. Допускается применение единицы температуры — градуса Цельсия (°С). Между температурой Г, выраженной в кельвинах, и температурой t, выраженной в градусах Цельсия, установлено соотношение
t=T-T0, (1)
где Го=^273,15К.
Издание официальное Перепечатка воспрещена
Переиздание. Декабрь 1985 г
© Издательство стандартов, 1986
Стр. 2 ГОСТ 8.157-75
Градус Цельсия равен кельвину. Температурные разности выражаются в кельвинах или градусах Цельсия.
1.5. Методы воспроизведения практических температурных шкал, установленных настоящим стандартом, определяют требования к средствам измерений, входящим в состав государственных эталонов для соответствующих диапазонов температуры.
2. ПРАКТИЧЕСКИЕ ТЕМПЕРАТУРНЫЕ ШКАЛЫ И МЕТОДЫ ИХ ОСУЩЕСТВЛЕНИЯ
2.1. Температурная шкала термометра магнитной восприимчивости ТШТМВ, основанная на зависимости магнитной восприимчивости х термометра из церий-магниевого нитрата от температуры Т, устанавливается для диапазона температур от 0,01 до 0,8 К. Эта зависимость выражается законом Кюри
Х=с/Т, (2)
Где С— константа, определяемая градуировкой магнитного термометра.
2.2. Шкала 3Не 1962 г., основанная на зависимости давления р насыщенных паров изотопа гелия-3 от температуры Т, устанавливается для диапазона температур от 0,8 до 1,5 К. Эта зависимость выражается уравнением
\пр = 2,248461п Г—+4,80386—0,2860017+0,198608F—
—0,050223773+0,00505486Г4, (3)
где р — давление в мм рт. ст. при 0°С и ускорении свободного падения, равном §,80665 м/с2.
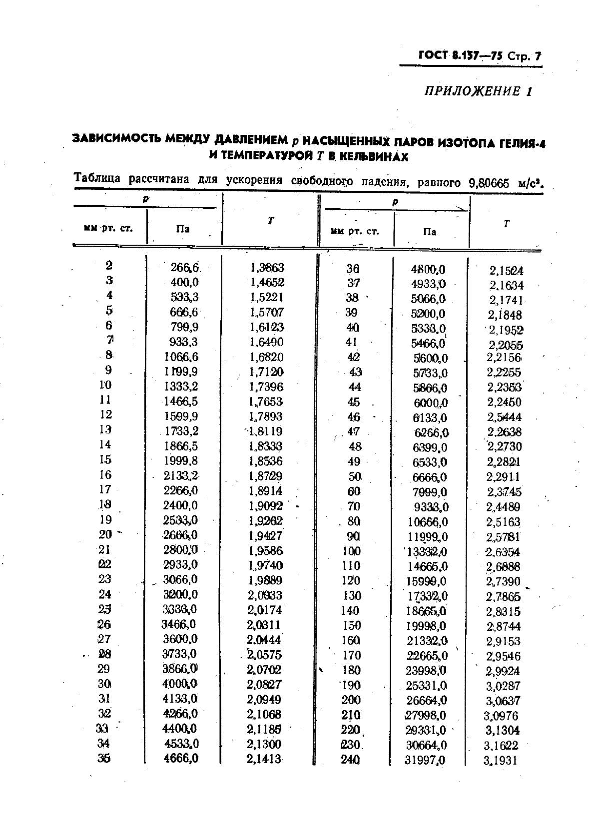
2.3. Шкала 4Не 1958 г., основанная на зависимости давления р насыщенных паров изотопа гелия-4 температуры Т, устанавливается для диапазона температур от 1,5 до 4,2К. Эта зависимость представлена в табличной форме (приложение 1).
2.4. Температурная шкала германиевого термометра электрического сопротивления ТШГТС, основанная на зависимости сопротивления R германиевого термометра от температуры Т, устанавливается для диапазона температур от 4,2 до 13,81 К- Эта зависимость выражается соотношением
1ёЯ = 2Л,(1ё7у, (4)
i=о
гдеЛ! — константы, определяемые градуировкой германиевого термометра сопротивления по газовому термометру.
2.5. Международная практическая температурная шкала 1968 г. (МПТШ—68) устанавливается для диапазона температур от 13,81 до 6300К.
ГОСТ 8.157-75 Стр. 3
МПТШ—68 основана на ряде воспроизводимых равновесных состояний, которым приписаны определенные значения температур — основных реперных (постоянных) точек, и на эталонных приборах, градуированных при этих температурах. В интервалах между температурами реперных точек интерполяцию осуществляют по формулам, устанавливающим связь между показаниями эталонных приборов и значениями температуры.
Основные реперные точки реализуются как определенные состояния фазовых равновесий некоторых чистых .веществ. Равновесные состояния и приписанные им значения температуры приведены в приложении 2.
2.5.1. В качестве эталонного прибора для области температур от 13,81 до 903,89К применяют платиновый термометр сопротивления. Относительное сопротивление WT термометра определяют по формуле
^т-/?т//?273,15Ю (5)
где/?т —сопротивление, термометра при температуре Т;
#273,15К— сопротивление термометра при температуре 273,15К.
Относительное сопротивление термометра должно быть не менее
1,39250 при Т=373,15/С.
Для области температур ниже 0°С соотношение между сопротивлением термометра и температурой определяют стандартной ~ функцией и специальными, уравнениями для вычисления поправок к этой функции (п. 2.5.2). ‘ ^
Для области от 0 до 630,74°С соотношение между сопротивлением термометра и температурой выражается двумя уравнениями в форме полиномов (п. 2.5.3).
В качестве эталонного прибора для температур от 630,74 до • 1064,43°С .применяют^термоэлектрический термометр с электродами из платинородия (10% родия) и платины. Соотношение между электродвижущей силой и температурой выражается уравнением второй степени (п. 2.5.4). ‘ . ‘■
Для области температур выше 1.337,58К (1064,43°С) температуру определяют в соответствии с законом излучения Планка (п. 2.5.5.). ■ ,
2.5.2. Для области от 13,81 до 273,15К температуру определяют по формуле
W-:=WCJ(T)+AW(T)t (6)
где Wt—относительное сопротивление платинового термометра сопротивления;
W„(T) — относительное-сопротивление, соответствующее стандартной функции приложения 3 и таблице значений приложения 4.
Стр. 4 ГОСТ 8.157-75 ‘
Поправки AW (Т) при температурах основных реперных точек получают из измеренных’ значений №т и соответствующих значений Wc-r (Т), приведенных в приложении 5. Отличия измеренных значений WT от значений WCT (Т) в реперных точках рассчитывают по уравнениям, приведенным в приложении 6.
Поправки AW (Т) при промежуточных температурах определяют интерполяционными формулами. Область между 13,81 и 273,15К разделена на четыре участка, в каждом из которых AW (Т) определяют полиномом от Т. Константы в полиномах определяют из значений AW (Т) в реперных точках и из условий равенства производных d& W(T)/dT на границах соседних температурных участков:
а) на участке от 13,81 до 20,28К поправочная функция имеет вид
AW(T)=AX+BJ+CJ*+DXT\ (7)
где А\, В\, С\ и Z)i — константы, определяемые из значений поправок (AW=W—Wcr), измеренных в тройной точке равновесного водорода, при температуре 17,042К и в точке ^ипения равновесного водорода, а также из значения производной поправочной функции в точке кипения равновесного водорода, вычисленного по уравнению (8);
б) на участке от 20,28 до 54,361 К поправочная функция имеет „ вид
AW(r)=A2+B2T+C2T2+D2T\ (8)
где А2, В2, С2 и D2 — константы, определяемые из значений поправок {\W=W—Wct)’, измеренных в точке кипения равновес
ного водорода, в точке кипения неона и в тройной точке кислорода, а. также из значения производной поправочной функции в тройной точке кислорода, вычисленного по уравнению 9;
в) на участке от 54,361 до 90,188К поправочная функция имеет вид
AW(T)=A3+B,T+C,T\ (9)
где Аз, Вз и Сз — константы, определяемые из значений поправок (А№= W—U?ct), измеренных в тройной точке и в точке кипения кислорода, а также из значения производной поправочной функции в точке кипения кислорода, вычисленного по уравнению 10;
г) на участке от 90,188 до 273,15К поправочная функция име.ет вид
AW(T)=A4t+C4t3((—mcC), (10)
где t=T—273,15К; А4 и С4 — константы, определяемые из значений поправок (AW^W—U^Ct), измеренных в точке кипения кислорода и в точке кипения воды или в точке затвердевания олова (примечание к приложению 2).
ГОСТ *.<57—75 Стр. 5
2.5>3. Для области от 0 до 630,74°С температуру t в градусах Цельсия рассчитывают, по уравнению
<=Г+0,045Ш/-1—1 V—£- 1 М-Г— 1 \, (11)
\ IWC/1 100°С 1\ 419,58°С А 630„74°С / ’
W(t’)=R{l’)/R{Q°C); (12а)
R{t’) и#(0°С) — сопротивления термометра при температурах t’ и 0°С соответственно; аиб—константы, определяемые измерением сол-, ротивления в тройной точке воды, точке кипения воды или затвердевания олова (примечание к приложению 2) и точке затвердевания цинка.
Уравнение (12а) эквивалентно уравнению
W{t’) = \+At’+Bt’\ (126)
где Д=а(1-Н/100°С); £ =—10—4а-6°С~2.
2.5.4. Для области от 630,74 до 1064,43°С температуру рассчитывают по уравнению
Et = a+bt+ci\ (13)
где Е\ — электродвижущая сила эталонного платинородий-пла-тинового термоэлектрического термометра, один спай которого находится при температуре 0°С, а другой — при температуре t\ а, Ь, с—константы, вычисляемые по значениям Е при температуре 630,74±0,2°С, измеряемой платиновым термометром сопротивления, и в точках затвердевания. серебра и золота.
Платиновый электрод эталонного термоэлектрического термометра должен иметь относительное сопротивление W (100°С) не менее 1,3920. Платинородиевый электрод должен содержать 10% родия и 90% платины.
Термоэлектрический термометр должен быть таким, чтобы значения электродвижущей силы Ето^С) , Е Шш9ГС) и £ (1064>43.С) удовлетворяли следующим соотношениям в микровольтах:
Е (Ю64а&С.)= 1.0300 ±50; (14)
^(1064,4з°С)—£(961,9УС) = 1183-f-0,158[-£ (1064,43*С) — 10300]±4; (15)
£(1064>43°С)—£(630,74*С) =4,766+0,631 [£ (Ю64,43°С)— 10300] ±8. (16)
2.5.5. Для области выше 1337,58К (1064,43°С) температуру Т определяют по уравнению
Стр. 6 ГОСТ 8.«7—75
|
e*PL ЩАи) |
<17)
LK [Г(Аи)]
L% (Г)
где L% (Т) и I х [Т(Аи)] —спектральные плотности энергии излучения черного тела для длины волны Я при температуре Г н в точке затвердевания золота Г(Аи). Значение константы С2 = 0,014388 м.К.
2.5.6. Воспроизведение MflTlll—68 осуществляется аппаратурой, методами и технологией для реализации реперных точек и эталонными приборами, соответствующими рекомендациями, указанными в справочном приложении 7.
2.5.Х. Ориентировочные значения расхождений между значениями по МПТШ—68 и МПТШ—48 приведены в. справочном приложении 8.
2.6. Температурная шкала пирометра микроволнового излучения (ТШПМИ), основанная на зависимости спектральной плотности энергии излучения L(T) черного тела от температуры Т в микроволновом диапазоне излучения, устанавливается для диапазона температур от 6300 до 100000 К.
Эта зависимость выражается уравнением.
где L(T) и L[7’(Au)]—спектральная плотность энергии излучения черного тела в диапазоне микроволнового радиоизлучения при температуре Т й в точке затвердевания золота Т (Аи).
ДЛя построения температурной шкалы по микроволновому излучению используют тепловое излучение с длинами волн более 1 мм.
ГОСТ S.157—75 Стр. 7
ПРИЛОЖЕНИЕ 1
ЗАВИСИМОСТЬ МЕЖДУ ДАВЛЕНИЕМ р НАСЫЩЕННЫХ ПАРОВ ИЗОТОПА ГЕЛИЯ-4 И ТЕМПЕРАТУРОЙ Т В КЕЛЬВИНАХ
|
Таблица рассчитана для ускорения свободного падения, равного 9,80665 м/с*. |
||||||||||||||||||||||||||||||||||||||||||||||||||||||||||||||||||||||||||||||||||||||||||||||||||||||||||||||||||||||||||||||||||||||||||||||||||||||||||||||||||||||||||||||||||||||||||||||||||||||||||||||||||||||||
|
||||||||||||||||||||||||||||||||||||||||||||||||||||||||||||||||||||||||||||||||||||||||||||||||||||||||||||||||||||||||||||||||||||||||||||||||||||||||||||||||||||||||||||||||||||||||||||||||||||||||||||||||||||||||
Стр. 8 ГОСТ 8.157—7S
|
Продолжение |
||||||||||||||||||||||||||||||||||||||||||||||||||||||||||||||||||||||||||||||||||||||||||||||||||||||||||||||||||||||||||||||||||||||||||||||||||||||||||||||||||||||||||||||||||
|
||||||||||||||||||||||||||||||||||||||||||||||||||||||||||||||||||||||||||||||||||||||||||||||||||||||||||||||||||||||||||||||||||||||||||||||||||||||||||||||||||||||||||||||||||
ГОСТ 8.157-75 Стр. 9
ПРИЛОЖЕНИЕ 2
|
ОСНОВНЫЕ РЕПЕРНЫЕ (ПОСТОЯННЫЕ) ТОЧКИ МПТШ—68 Значения температур даны для состояния равновесия при давлении р, равном 101,825 кПа (760 мм рт. ст.), за исключением тройных точек и точки I7.042K |
||||||||||||||||||||||||
|
||||||||||||||||||||||||
|
Примечание. Состояние равновесия между твердой и жидкой фазами олова (точка затвердевания олова) имеет значение f=231,9681eC и может быть использовано вместо точки кипения воды. |
Стр. 10 ГОСТ 8,157—75
ПРИЛОЖЕНИЕ 3
СТАНДАРТНАЯ ФУНКЦИЯ Гс, (Т) ДЛЯ ПЛАТИНОВЫХ ТЕРМОМЕТРОВ СОПРОТИВЛЕНИЯ В ОБЛАСТИ ТЕМПЕРАТУР от 13,81 до 273,15К
20
Т={А,+ 2 ЛхГ1пГсх(Т)т.
|
Значения коэффициентов Ai |
||||||||||||||||||||||||||||||||||||||||||||||||
|
Стандартная функция WCT при Г=273„15К переходит в функцию W(T), заданную уравнениями (II) -и (12). для а=3,9259668 ■ 10“3 °С-1 и 6=1,496334°С таким образом, что при этой температуре совпадают значения функций, а также их первых и вторых производных.
ГОСТ в.157—75 Стр, 11 ПРИЛОЖЕНИЕ 4
|
ТАБЛИЦА ЗНАЧЕНИЙ W0* |Г| |
||||||||||||||||||||||||||||||||||||||||||||||||||||||||||||||||||||||||||||||||||||||||||||||||||||||||||||||||||||||||||||||||||||||||||||||||||||||||||||||||||||||||||||||||||||||||||||||||||||||||||||||||||||||||||||
|
ГОСТ 8.157-75
|
Продолжение |
|||||||||||||||||||||||||||||||||||||||||||||||||||||||||||||||||||||||||||||||||||||||||||||||||||||||||||||||||||||||||||||||||||||||||||||||||||||||||||||||||||||||||||||||||||||||||||||||||||||||||||||||||||||||||||||||||
|
ГОСТ В.157—75 Стр. 13
ПРИЛОЖЕНИЕ 5
|
ТАБЛИЦА ЗНАЧЕНИЙ Wcт| Т\ ДЛЯ ТЕМПЕРАТУР РЕПЕРНЫХ (ПОСТОЯННЫХ) ТОЧЕК |
||||||||||||||||||||||||
|
|
ТЕМПЕРАТУРНЫЕ ЗАВИСИМОСТИ ДАВЛЕНИЯ НАСЫЩЕННЫХ ПАРОВ РАВНОВЕСНОГО ВОДОРОДА, НЕОНА, КИСЛОРОДА И ВОДЫ р0 = 101,325 кП* (760 мм рт. ст.) |
|||||||||||||||
|
Стр. 14 ГОСТ 8.157-75
ПРИЛОЖЕНИЕ 7 Справочное
СРЕДСТВА ДЛЯ ОСУЩЕСТВЛЕНИЯ МПТШ—68
Измерение температур по МПТШ—68 с высокой точностью должно выполняться с соблюдением требований, изложенных в настоящем приложении. ■Описанные’ ниже правила и рекомендации по осуществлению температурной шкалы соответствуют практике ведущих термометрических лабораторий. Приложение содержит описание приборов и методов, применение которых обеспечивает измерения температур на эталонном уровне точности.
1. Эталонный термометр сопротивления
Эталонный платиновый термометр сопротивления должен быть сконструи- * рован и изготовлен таким образом, чтобы четырехпроводный чувствительный элемент был как можно свободнее от натяжений и оставался таким во время работы. Чувствительные элементы эталонных термометров изготовляют из платиновой проволоки постоянного диаметра от 0,05 до 6,5 мм, причем короткий участок каждого вывода, примыкающего к Спирали, делают и^ платины.
Значение R (0°С) Термометра обычно составляет 25 Ом, а сила измерительного тока такого термометра обычно равна 1 или 2 мА. • Детали . термометра, находящиеся в непосредственной близости к чувствительному элементу, изготовляют из чистых материалов, не реагирующих с платиной.
Во время изготовления термометра рекомендуется, чтобы его гильза была «акуумирована при нагреве примерно до 450°С, затем заполнена сухим газом и герметически запаяна. Желательно, чтобы в газе,, заполняющем термометр, присутствовал кислород: он создаст для остатков примесей в платине окислительную среду. По окончании изготовления чувствительный элемент следует стабилизировать нагреванием при температуре, превышающей максимальную, на которую он рассчитан, и во всяком случае не ниже 450°С.
Сопротивление изоляции каркаса и крепежных деталей должно быть достаточно высоким во избежание значительного шунтирования сопротивления термометра. Например, должны быть приняты меры предосторожности, чтобы избежать конденсации водяных паров в пространстве между выводами при работе термометра в условиях низких температур, а также чтобы избежать возможных утечек в самих изоляционных материалах-, используемых в термометре при высоких температурах.
В качестве изоляционных материалов применяют слюду, кварц и окись * алюминия,, которые обычно обеспечивают необходимую изоляцию вплоть до *=5ЮЮРС. Однако, когда температура приближается к 630°С, условия’ становятся более трудными и могут легкб возникать ошибки порядка 1 мК или больше. В случае применения слюды создается дополнительная трудность, так как, •если слюду нагревать до температуры выше 45Ю°С, может образоваться значительное количество воды. Воду необходимо периодически устранять откачкой «ли осушением, иначе изоляция чувствительного элемента будет быстро ухудшаться. “ .
Чтобы обеспечить необходимую стабильность сопротивления эталонного платино

