Система стандартов по информации, библиотечному и издательскому делу. Библиографическое описание документа. Общие требования и правила составления

Страница 1

Страница 2

Страница 3

Страница 4

Страница 5

Страница 6

Страница 7

Страница 8

Страница 9

Страница 10

Страница 11

Страница 12

Страница 13

Страница 14

Страница 15

Страница 16

Страница 17

Страница 18

Страница 19

Страница 20

Страница 21

Страница 22

Страница 23

Страница 24

Страница 25

Страница 26

Страница 27

Страница 28

Страница 29

Страница 30

Страница 31

Страница 32

Страница 33

Страница 34

Страница 35

Страница 36

Страница 37

Страница 38

Страница 39

Страница 40

Страница 41

Страница 42

Страница 43

Страница 44

Страница 45

Страница 46

Страница 47

Страница 48

Страница 49

Страница 50
БЗ 5-2000
МЕЖГОСУДАРСТВЕННЫЙ СТАНДАРТ
СИСТЕМА СТАНДАРТОВ ПО ИНФОРМАЦИИ, БИБЛИОТЕЧНОМУ И ИЗДАТЕЛЬСКОМУ ДЕЛУ
БИБЛИОГРАФИЧЕСКОЕ ОПИСАНИЕ ДОКУМЕНТА
ОБЩИЕ ТРЕБОВАНИЯ И ПРАВИЛА СОСТАВЛЕНИЯ
Издание официальное
ИПК ИЗДАТЕЛЬСТВО СТАНДАРТОВ Москва
МЕЖГОСУДАРСТВЕННЫЙ СТАНДАРТ
Система стандартов по информации, библиотечному и издательскому делу
БИБЛИОГРАФИЧЕСКОЕ ОПИСАНИЕ ДОКУМЕНТА
Общие требования и правила составления
System of standards «Information, librarianship and publishing». Bibliographic description for document. General requirements and rules
ОКСТУ 0007
ГОСТ
7.1-84
Дата введения 01.01.84
Настоящий стандарт устанавливает общие требования к библиографическому описанию документа и правила его составления: набор элементов библиографического описания, последовательность их расположения, наполнение и способ представления каждого элемента, применение условных разделительных знаков.
Стандарт распространяется на текстовые опубликованные и неопубликованные документы: книги, сериальные издания, нормативно-технические и технические документы, депонированные научные работы, отчеты о научно-исследовательских работах, неопубликованные переводы и диссертации на русском и других языках народов СССР, а также на иностранных языках.
Стандарт обязателен для органов научно-технической информации, библиотек, книжных палат, издательств, издающих организаций, редакций и других учреждений, осуществляющих библиографическую деятельность (далее — библиографирующих учреждений).
Правила объединения библиографических описаний нескольких документов приведены в приложении 1.
Правила составления библиографических ссылок и библиографических описаний в прикниж-ных и пристатейных списках приведены в приложении 2.
Примеры библиографических описаний приведены в приложении 3.
1. ОБЩИЕ ПОЛОЖЕНИЯ
1.1. Библиографическое описание — совокупность библиографических сведений о документе, его составной части или группе документов, приведенных по определенным правилам и необходимых и достаточных для общей характеристики и идентификации документа.
1.2. Источником библиографических сведений является документ в целом, в первую очередь те его элементы, которые содержат выходные сведения.
1.2.1. Библиографические сведения в описании указывают в том виде, в каком они даны в документе, или формулируют их на основе анализа документа.
1.2.2. Набор и последовательность использования источников библиографических сведений регламентированы в соответствующих разделах настоящего стандарта.
1.2.3. Для уточнения имеющихся или получения недостающих библиографических сведений используют библиографические пособия, библиотечные каталоги, справочные издания и прочие источники. Библиографические сведения, заимствованные из них, а также сведения, сформулированные на основе анализа документа, заключают в квадратные скобки.
1.2.4. Для каждой области библиографического описания установлен основной источник библиографических сведений. При отсутствии такого источника его заменяют другим, содержащим наиболее полную информацию. Библиографические сведения, заимствованные не из основного источника, могут быть заключены в квадратные скобки.
Перепечатка воспрещена
© Издательство стандартов, 1984 © ИПК Издательство стандартов, 2001
Издание официальное ★
2.5.7.3. В библиографическом описании сборника произведений разных авторов или произведений, авторы которых в книге не указаны и не установлены, приводят заглавие каждого произведения вместе с относящимися к нему сведениями и сведениями об ответственности и отделяют их от последующей группы аналогичных сведений точкой, например:
Гарбузов В.Ф. О Государственном бюджете СССР на 1983 год и об исполнении Государственного бюджета СССР за 1981 год: Докл. и заключ. слово на совмест. заседаниях Совета Союза и Совета Национальностей седьмой сес. Верховного Совета СССР десятого созыва / В.Ф. Гарбузов. Закон Союза Советских Социалистических Республик о Государственном бюджете СССР на 1983 год. Постановление Верховного Совета СССР об утверждении отчета об исполнении Государственного бюджета СССР за 1981 год.
Грибоедов А.С. Горе от ума: Комедия в стихах: В 4 д. / А.С. Грибоедов. Маленькие трагедии / А.С. Пушкин. Мещанин во дворянстве: Комедия-балет: В 5 д. / Ж.-Б. Мольер; Пер. с фр. Н. Любимова
2.5.7.4. Сведения, относящиеся ко всем произведениям, включенным в сборник без общего заглавия, приводят после соответствующих сведений о последнем произведении, например:
Кудинов И.П. Окраина; Стихия: Романы / Предисл. Н. Яновского; Худож. В. Раменский
Положение о товарищеских судах. Положение об общественных Советах по работе товарищеских судов: Утверждены Указами Президиума Верховного Совета РСФСР от 11 марта 1977 г.
При необходимости сведения, уточняющие их общий характер, формулируют и приводят в области заглавия и сведений об ответственности либо в области примечания.
2.5.7.5. При наличии на титульном листе сборника большого количества заглавий отдельных произведений в описании приводят не менее двух заглавий.
2.5.7.6. При необходимости в описании сборника без общего заглавия приводят сначала фамилии и инициалы авторов, а затем заглавия отдельных произведений, например:
Грибоедов А.С. Горе от ума: Комедия в стихах: В 4 д. Пушкин А.С. Маленькие трагедии. Мольер Ж.Б. Мещанин во дворянстве: Комедия-балет: В 5 д. / Пер. с фр. Н. Любимова
2.6. Область издания
2.6.1. Область содержит сведения об отличиях данного издания от других изданий того же произведения.
2.6.2. Основным источником библиографических сведений для области является титульный
лист.
2.6.3. В качестве сведений об издании книги приводят сведения о переизданиях, перепечатках, сведения о специальном назначении данного издания и особых формах его воспроизведения.
Сведения приводят в форме, данной на книге. Порядковый номер указывают арабскими цифрами в начале области, например:
3-е изд., испр. и доп.
Факс. изд.
2-я ред.
Офиц. изд.
Препринт.
При необходимости после цифры вместо окончания ставят точку, например:
3. изд., испр. И ДОП.
2.6.4. В сведениях об ответственности, относящихся к данному изданию книги, приводят имена лиц, а также наименования учреждений, принимавших участие в подготовке данного издания, если это специально отмечено в книге. Сведения об ответственности приводят по п.
2.5.6, например:
22-е изд., испр. и доп. / При участии Т.А. Алексеевой и др.
2.6.5. В дополнительных сведениях об издании приводят сведения о характере изменений по отношению к другим изданиям (переизданиям, перепечаткам). Дополнительные сведения приводят в области издания, если они помещены на основном источнике, например:
Новое изд., Перепеч. с изд. 1934 г.
1.3. Библиографическое описание состоит из элементов, объединенных в области, и заголовка. Элементы и области приводят в последовательности, установленной в перечнях стандарта. Отдельные элементы и области могут повторяться.
Библиографические сведения, относящиеся к разным элементам, но грамматически связанные в одном предложении, записывают в предшествующем элементе.
1.4. Элементы библиографического описания подразделяют на обязательные и факультативные.
1.4.1. Обязательные элементы обеспечивают идентификацию документа. Их приводят в любом библиографическом описании при наличии соответствующих сведений в источнике библиографического описания.
Общий для группы библиографических описаний обязательный элемент, вынесенный в название раздела или в заглавие информационного издания, в описании опускают.
1.4.2. Факультативные элементы дают дополнительную информацию о документе (его содержании, читательском назначении, иллюстративном материале и т.п.).
Набор факультативных элементов определяет библиографирующее учреждение. Он является постоянным для определенного информационно-поискового массива (библиотечного каталога, издания и т.д.).
С наибольшей полнотой факультативные элементы приводят в библиографических описаниях для государственных библиографических указателей, печатных каталожных карточек централизованной каталогизации.
1.5. В библиографическом описании областям и элементам предшествуют следующие условные разделительные знаки:
. — точка и тире . точка , запятая : двоеточие ; точка с запятой / косая черта // две косые черты () круглые скобки [] квадратные скобки + плюс
= знак равенства
1.5.1. Каждой области библиографического описания, кроме первой, предшествует знак точка и тире (. —), который заменяют точкой, если область выделена шрифтом или записана с новой строки.
Если первый элемент области отсутствует, точку и тире ставят перед последующим элементом, разделительный знак которого в этом случае опускают.
При повторении в библиографическом описании отдельных областей (серии, примечания, международного стандартного номера) повторяют точку и тире.
1.5.2. При повторении в библиографическом описании элементов, кроме первого элемента области, повторяют и предшествующий ему разделительный знак.
Внутри элемента пунктуация должна соответствовать нормам языка, на котором составлено библиографическое описание.
1.5.3. Если элемент заканчивается сокращением, сопровождающимся знаком точка, а последующий знак точка и тире, в описании приводят один знак точку, например:
3-е изд., испр. и доп. — а не 3-е изд., испр. и доп.. —
В остатьных случаях сохраняют оба знака — пунктуационный и условный разделительный.
1.5.4. Элементы, грамматически связанные в одном предложении, не отделяют разделительными знаками.
1.5.5. Для более четкого разделения областей и элементов при необходимости применяют пробел в один печатный знак до и после разделительного знака.
1.6. Библиографическое описание составляют на языке текста документа, при этом часть сведений (например, в области количественной характеристики) допускается записывать на языке той республики, в которой находится библиографирующее учреждение.
1.6.1. Библиографическое описание может быть составлено на языке выходных сведений, если язык текста и язык выходных сведений различны.
1.6.2. При необходимости библиографическое описание составляют в транслитерации, транс-
ГОСТ 7.1-84 С. 3
крипции, а также в переводе на русский язык или язык той республики, в которой находится библиографирующее учреждение.
1.6.3. Во всех случаях, когда язык библиографического описания отличается от языка текста документа или его выходных сведений, в области примечания приводят данные о языке текста или выходных сведений документа.
1.7. В библиографическом описании следует соблюдать нормы современной орфографии.
1.7.1. Первое слово каждого элемента (кроме сведений об иллюстрациях) начинают с прописной буквы. Остальные прописные буквы приводят в соответствии с нормами языка, на котором составлено описание, независимо от того, какие буквы приведены в документе.
1.7.2. При наличии в документе ошибок и опечаток, не искажающих смысла, сведения в описании приводят в исправленном виде и не оговаривают исправления.
Ошибки и опечатки, изменяющие смысл текста, а также все ошибки в фамилиях, инициалах лиц, принимавших участие в создании документа, в датах, исправляют. Сведения об ошибочной форме приводят в области примечания или отмечают иным способом.
1.8. При составлении библиографического описания применяют различные приемы сокращений.
1.8.1. Сокращения отдельных слов и словосочетаний приводят в соответствии с ГОСТ 7.11 и ГОСТ 7.12.
В библиографических описаниях документов, изданных на русском и других языках народов СССР, для часто встречающихся в различных областях и элементах библиографического описания слов и понятий применяют унифицированные формы сокращений на русском языке: «и др.» (и другие), «и т.д.» (и так далее), «ст.» (старший), «мл.» (младший), «Б.м.» (Без места), «Б.и.» (Без издательства), «Б.г.» (Без года), «Разд. паг.» (Раздельная пагинация).
При необходимости их эквиваленты приводят на других языках народов СССР.
В библиографических описаниях документов, изданных на иностранных языках с латинской графической основой, для приведенных слов и понятий применяют унифицированные формы сокращений на латинском языке: «etc.» (et cetera), «et al.» (et alii), «Sen.» (Senior), «Jun.» (Junior), «S. 1.» (Sine loco), «S. n.» (Sine nomine), «S. a.» (Sine anno), «pag. var.» (pagine varia).
При необходимости их эквиваленты приводят на соответствующих языках.
1.8.2. В отдельных случаях, например, при длинном заглавии, опускают часть элемента или фразы, при этом пропуск обозначают знаком многоточие (…).
1.9. Основные правила составления библиографического описания документов приведены в разд. 2.
1.10. Примеры библиографических описаний приведены в приложении 3.
Примеры, иллюстрирующие конкретные правила, приведены в тексте стандарта.
1.11. Элементы библиографического описания указаны в перечнях с предшествующими условными разделительными знаками.
Разделительный знак области в перечнях не указан.
Знак «звездочка» (*) означает, что данный элемент может повторяться вместе с предшествующим условным разделительным знаком.
Обязательные элементы подчеркнуты.
В круглых скобках приведены отсылки от элемента к пункту стандарта, если необходимо уточнить условия, при которых факультативный элемент становится обязательным.
2. БИБЛИОГРАФИЧЕСКОЕ ОПИСАНИЕ КНИГИ
2.1. Основные положения
2.1.1.Объектом составления библиографического описания является книга, брошюра, другое разовое однотомное или многотомное издание, а также отдельный том (выпуск) многотомного или сериального издания (далее — книга).
2.1.2. На однотомное издание книги составляют монографическое библиографическое описание, на многотомное издание — сводное библиографическое описание, которое содержит совокупность сведений об издании в целом или группе его томов.
2.2 Источники библиографических сведений
Источники библиографических сведений используют в следующем порядке: титульный лист и его разновидности, в том числе совмещенный титульный лист, авантитул, оборот титульного листа, обложка (переплет), шмуцтитул, сведения перед выпускными данными, выпускные данные, оглавление, текст издания и др.
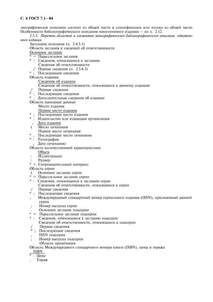
2.3. Структура библиографического описания
2.3.1. Монографическое библиографическое описание состоит из одной части. Сводное биб-
лиографическое описание состоит из общей части и спецификации или только из общей части. Особенности библиографического описания многотомного издания — по п. 2.12.
2.3.2. Перечень областей и элементов монографического библиографического описания однотомного издания
Заголовок описания (п. 2.4.3.1)
Область заглавия и сведений об ответственности Основное заглавие
* = Параллельное заглавие
* : Сведения, относящиеся к заглавию
Сведения об ответственности / Первые сведения (п. 2.5.6.3)
* ; Последующие сведения Область издания
Сведения об издании
Сведения об ответственности, относящиеся к данному изданию / Первые сведения
* ; Последующие сведения
* , Дополнительные сведения об издании Область выходных данных
Место издания Первое место издания
* ; Последующее место издания
* : Издательство или издающая организация , Дата издания
( Место печатания
Первое место печатания
* , Последующее место печатания
* : Типография
, Дата печатания)
Область количественной характеристики Объем : Иллюстрации
; Размер
* + Сопроводительный материал Область серии
( Основное заглавие серии
* = Параллельное заглавие серии
* : Сведения, относящиеся к заглавию серии
Сведения об ответственности, относящиеся к серии / Первые сведения
* ; Последующие сведения
, Международный стандартный номер сериального издания (ISSN), присвоенный данной серии
; Номер выпуска серии
Основное заглавие подсерии
* = Параллельное заглавие подсерии
* : Сведения, относящиеся к заглавию подсерии
Сведения об ответственности, относящиеся к подсерии / Первые сведения
* ; Последующие сведения
, ISSN подсерии
; Номер выпуска подсерии
Область примечания Область Международного стандартного номера книги (ISBN), цены и тиража ISBN
* : Цена , Тираж
ГОСТ 7.1-84 С. 5
2.4. Заголовок описания
2.4.1. Заголовок содержит имя индивидуального автора или наименование коллективного автора, или обозначение вида материала, или унифицированное заглавие.
2.4.2. В заголовке, при необходимости, приводят идентифицирующие признаки: даты, номера, географические названия и др.
Идентифицирующие признаки приводят в круглых скобках. Номера и даты указывают арабскими цифрами. Слова сокращают по общим правилам.
2.4.3 Заголовок, содержащий имя индивидуального автора
2.4.3.1. Заголовок, содержащий имя индивидуального автора, обязателен в библиографических описаниях для государственных библиографических указателей, каталогов библиотек и печатных каталожных карточек.
2.4.3.2. Основными источниками библиографических сведений являются издание в целом и другие источники информации вне издания.
2.4.3.3. В заголовке описания приводят фамилию (имя) автора в именительном падеже, например:
Джамбул Руднев В.А.
Шевцов, Михаил Михайлович
2.4.3.4. В качестве идентифицирующих признаков после имени автора приводят даты жизни автора, название области деятельности, слова «отец», «сын», «старший», «младший» и т.д., например:
Петров А.Д. (1794-1867)
Петров А.Д. (1865-1964)
Михайлов Н.Н. (география)
Михайлов Н.Н. (медицина)
Дюма А. (отец)
Дюма А. (сын)
Лаврентьев М.М. (ст.)
Лаврентьев М.М. (мл.)
2.4.3.5. Под заголовком, содержащим имя индивидуального автора, составляют описание книг одного, двух и трех авторов. На книги четырех и более авторов составляют описание под заглавием.
В заголовке описания книги одного автора приводят его фамилию, например:
Твардовский А.Т.
В заголовке описания книги двух или трех авторов приводят фамилию одного автора, как правило, первого, например:
Зеленцов В.В.
(На титульном листе перед заглавием два автора: В.В. Зеленцов, А.П. Богданов)
Суров Ю.П.
(На титульном листе перед заглавием три автора: Ю.П. Суров, Н.А. Сахаров, Н.В. Суторми-
на).
При необходимости в заголовке описания книги трех авторов приводят фамилии всех авторов, разделяя их запятой, например:
Суров Ю.П., Сахаров Н.А., Сутормина Н.В.
(Измененная редакция, Изм. № 1)
2.4.4. Заголовок, содержащий наименование коллективного автора
2.4.4.1. Основным источником библиографических сведений является издание в целом и другие источники информации вне издания.
2.4.4.2. В заголовке приводят наименование учреждения (организации) в официальной форме в именительном падеже, например:
Всесоюзное о-во почвоведов
В заголовке описания изданий высших органов государственной власти и управления перед наименованием учреждения указывают название страны (республики), отделяя его точкой, например:
СССР. Верховный Совет РСФСР. Совет Министров КазССР. М-во сельского хозяйства
Перед наименованием каждого подразделения учреждения ставят точку, например:
АН СССР. Коми филиал
2.4.4.3. В качестве идентифицирующих признаков указывают номера, даты, географические названия. Их приводят после наименования учреждения (организации) в указанной последовательности. Числительные обозначают арабскими цифрами без наращения окончания, например:
СССР. Верховный Совет. Созыв (10). Сессия (7)
Рижская средняя школа им. Курта Бартеля (39)
Новокузнецкая обл. науч.-практ. конф. патологоанатомов (1982)
Институт клинической и эксперим. медицины (Новосибирск)
При сочетании перечисленных признаков их разделяют точкой с запятой, например:
Съезд профсоюзов СССР (17; 1982; Москва)
Если к дате, обозначающей год, добавляют для уточнения название месяца, перед ним ставят
запятую, например:
Союз художников СССР. Правление. Пленум (1982, июнь)
При наличии двух географических названий приводят оба, разделяя их знаком «косая черта». Если из двух географических названий второе выполняет уточняющие функции, перед ним ставят
запятую.
При наличии трех и более географических названий указывают только первое название с добавлением слов «и др.», например:
Делегатский съезд почвоведов и агрохимиков УССР (1; 1982; Харьков / Днепропетровск)
Всесоюзное лимнологическое совещ. (5; 1981; пос. Листвянка, Иркут, обл.)
Совместный семинар науч. работников СССР и ГДР по вопросам применения телевидения в учеб, процессе в вузах (1; 1972; Йена и др.)
2.4.4A В заголовке описания работ одного коллективного автора приводят его наименование.
В заголовке описания работ нескольких коллективных авторов приводят наименование первого.
2.4.4.5. В заголовке описания изданий учреждений (организаций), имевших в разные периоды своего существования различные наименования, приводят наименование, принятое в момент публикации издания.
2.4.5. Заголовок, содержащий обозначение вида материала (заголовок формы)
2.4.5.1. В заголовке приводят название страны в официальной форме в именительном падеже и обозначение вида материала, отделяя его точкой, например:
СССР. Законы СССР. Договоры
СССР. Военные уставы и наставления
2.4.5.2. В заголовке описания конституции в качестве идентифицирующего признака указывают год ее принятия, например:
СССР. Конституция (1977)
2.4.6. Заголовок, содержащий унифицированное заглавие
В заголовке приводят наиболее известное название анонимного классического произведения, публиковавшегося под разными заглавиями.
2.5. Область заглавия и сведений об ответственности
2.5.1. Область содержит заглавие книги вместе со сведениями, относящимися к нему, а также сведения о лицах и учреждениях (организациях), участвовавших в создании и подготовке книги к публикации.
2.5.2. Основным источником библиографических сведений для данной области является титульный лист и его разновидности, в том числе совмещенный титульный лист; при отсутствии титульного листа его заменяет обложка (переплет).
2.5.3. Основное заглавие
2.5.3.1. В качестве основного заглавия приводят заглавие книги, указанное на титульном листе.
При наличии нескольких заглавий на одном языке приводят заглавие, выделенное шрифтом или цветом. При отсутствии этого признака приводят заглавие, указанное на титульном листе первым.
ГОСТ 7.1-84 С. 7
2.5.3.2. Основное заглавие приводят в описании в той форме, в которой оно дано в книге, например:
Книжное дело Петербурга — Петрограда — Ленинграда
Сказы Павла Бажова
Музей А.С. Пушкина в Торжке
Кентавр, или Как математика помогает физике
2.5.3.3. Основное заглавие может быть тематическим (характерным) или типовым.
Тематическое (характерное) заглавие раскрывает тематику и содержание книги, например:
Народные художественные промыслы Основы экономических знаний Рассказы о животных
При отсутствии иного заглавия, кроме имени лица или наименования учреждения (организации), его приводят в качестве основного заглавия независимо от того, помещены ли на титульном листе также сведения о виде издания, например:
На титульном листе:
Дмитрий Дмитриевич Шостакович
Государственная картинная галерея Армении
Минский ремонтно-механический завод «Белремкоммунмаш»
Каталог
В описании:
Дмитрий Дмитриевич Шостакович
Государственная картинная галерея Армении
Минский ремонтно-механический завод «Белремкоммунмаш»: Каталог
Типовое заглавие состоит из типового слова (слов), обозначающего вид издания или литературный жанр произведения, например:
Очерки
Письма
Путеводитель
Информационное письмо
2.5.3.4. Основное заглавие, состоящее из нескольких фраз, в описании записывают в последовательности, данной в книге, и с теми же знаками препинания, например:
Что такое? Кто такой?
При отсутствии между фразами знаков препинания их отделяют друг от друга точкой, например:
Культура. Религия. Атеизм Физика. Электричество и магнетизм
2.5.3.5. Относящиеся к основному заглавию даты, а также сведения о месте проведения конференции, выставки и т.п., которые грамматически не связаны с заглавием, приводят с сокращением отдельных слов основного заглавия и отделяют запятой, например:
Рабочий класс Российской Федерации, 1917—1980 гг.
Тезисы докладов Третьего съезда фармацевтов Литовской ССР, Каунас, 22—23 сент. 1982 г.
Запятую перед ними не ставят, если на книге они заключены в круглые скобки или перед ними имеется другой грамматический знак, например:
Молдавско-русско-украинские литературные связи начала XX в. (1901—1917).
При отсутствии в книге заглавия его формулируют и приводят в квадратных скобках в качестве основного заглавия.
2.5.4. Параллельное заглавие
2.5.4.1. Параллельное заглавие — заглавие книги на ином языке или в иной графике — приводят в описании после основного заглавия в форме, данной на титульном листе, и отделяют от основного заглавия знаком равенства, например:
Биометрический анализ в биологии = Biometrical analysis in biology. Избранные стихотворения = Selected poems
2.5.4.2. При наличии нескольких параллельных заглавий их приводят в описании в последо-
вательности, данной в книге. Перед каждым параллельным заглавием ставят знак равенства, например:
Художественный металл Урала XVIII—XIX веков = Decorative metal-work of the Urals XVIII—XIX centuries = Metal dekoratif de FOural XVIII—XIX — siecles = Das dekorative Metall des Urals XVIII—XIX. Jahrhuderte
При необходимости количество параллельных заглавий сокращают до одного — первого или выбранного составителем библиографического описания.
2.5.5. Сведения, относящиеся к заглавию
2.5.5.1. Сведения, относящиеся к заглавию, раскрывают и поясняют основное заглавие, а также уточняют назначение книги.
В сведениях, относящихся к заглавию, приводят иное заглавие произведения, указанное на издании, сведения о виде, литературном жанре, назначении книги, указание о том, что книга является переводом с другого языка и т.п.
2.5.5.2. Сведения, относящиеся к заглавию, указывают в форме, данной на титульном листе.
2.5.5.3. Сведения, относящиеся к заглавию, приводят после основного или параллельного заглавия и перед каждыми сведениями ставят двоеточие, например:
Деятельность КПСС по коммунистическому воспитанию молодежи и ее значение для марксистско-ленинских партий: (История и современность): Сб. науч. тр.
2.5.5.4. Информация о датах и месте проведения конференции, выставки и т.п. — по и. 2.5.3.6, например:
Основные задачи и меры по повышению технического уровня и качества выпускаемых гидропневмоприводов машин и оборудования: Тез. докл. Всесоюз. науч.-техн. совещ., г. Харьков, 19—21 апр. 1982 г.
Чудесный сплав: Документы и материалы из истории друж. связей трудящихся Николаевщины с трудящимися брат. сов. республик (1917—1977)
2.5.6. Сведения об ответственности
2.5.6.1. Сведения об ответственности содержат информацию о лицах и учреждениях (организациях), участвовавших в создании и подготовке книги к публикации.
2.5.6.2. В сведениях об ответственности приводят фамилии (псевдонимы, имена) авторов, составителей, редакторов и других лиц, участвовавших в создании книги; наименования учреждений (организаций), от имени или при участии которых опубликована книга, с указанием их роли в создании и подготовке книги к публикации, например:
Шандала М.Г. Охрана и оздоровление окружающей среды в условиях научно-технической революции / М.Г. Шандала, Я.И. Костовецкий, В.В. Булгаков
Живая вода: Сб. рус. нар. песен, сказок, пословиц, загадок / Сост., вступ. ст. и примеч. В.П. Аникина
Проблемы социального познания: (Вопр. формирования социал. активности): Сб. науч. тр. / Моек. гос. пед. ин-т им. В.И. Ленина; Редкол.: Л.Е. Серебряков (отв. ред.) и ДР-
Карты организации труда и трудовых процессов строительного производства. Устройство дорожных покрытий и оснований / Разраб. трестом «Оргдорстрой» Миндорстроя УССР
(Измененная редакция, Изм. № 1).
2.5.6.3. Сведения о лицах, являющихся авторами, обязательны; в описании книги с типовым заглавием при их отсутствии обязательно приводят сведения об учреждении (организации).
2.5.6A Сведения об ответственности приводят в описании после сведений, относящихся к заглавию, и отделяют знаком «косая черта», который предшествует только первой группе сведений. Между собой группы сведений об ответственности разделяют точкой с запятой, однородные сведения внутри группы разделяют запятой, например:
Абражей Э.И. Амортизирующие прокладки для железнодорожного пути на деревянных шпалах: Учеб.-метод, пособие/Э.И. А6ражей,В.Г. Атаманчук, В. И. Инютин; Под общ. ред. В.И. Матвецова; Белорус, ин-т инженеров ж.-д. трансп. Фак. повышения квалификации руководящих и инж.-техн. работников ж.-д. трансп.
(Измененная редакция, Изм. № 1).
2.5.6.5. Фамилии авторов и других лиц, а также наименования учреждений (организаций) приводят в форме, данной в книге.
ГОСТ 7.1-84 С. 9
При необходимости в описаниях приводят фамилии лиц и наименования учреждений в именительном падеже, независимо от формы, данной в книге, с указанием имен или инициалов после фамилий, например:
/ И.А. Губанов, В.С. Новиков, В.Н. Тихомиров / Гос. ком. РСФСР по проф.-техн. образованию / Подгот. Н.П. Стариковой
или
/ Губанов И.А., Новиков В.С., Тихомиров В.Н.
/ Подгот. Старикова Н.П.
2.5.6.6. (Исключен, Изм. № 1).
2.5.6.7. В описании приводят сведения обо всех лицах и учреждениях, имеющиеся в книге. При необходимости сокращают их количество, руководствуясь следующими правилами:
в сведениях об ответственности приводят не более четырех фамилий авторов, например:
Гончаренко Н.П. Машинисту скрепера / Н.П. Гончаренко, В.П. Станевский, А.А. Франивский
Программные системы СМ ЭВМ: Учеб, пособие по курсу «Прогр. обеспечение ЦВМ» / И.М. Степанов, А.Е. Отменникова, В.М. Щелоков, В.И. Свиркин
Если авторов более четырех, приводят фамилии трех с добавлением слов «и др.», например:
Херсон: Путеводитель. / Е.М. Белоусова, М.Л. Каган, М.П. Кулик и др.
В сведениях об ответственности приводят не более двух фамилий составителей, редакторов, переводчиков, иллюстраторов и т.п., например:
Вэнс Э.Ф. Влияние электромагнитных полей на экранированные кабели / Пер. с англ. Г.М. Мосина; Под ред. Л.Д. Разумова
Каравай Казахстана: Сборник / Сост.: Х.Ш. Абдрашитов, В.В. Владимиров
Если их три и более, приводят фамилию одного лица, указанного в каждой категории, с добавлением слов «и др.», например:
Справочник партийного работника / Ред ко л.: Боголюбов К.М. и др.
В сведениях об ответственности приводят наименования учреждений (организаций), от имени или при участии которых опубликована книга. Если их три и более, указывают наименование одного учреждения с добавлением слов «и др.», например:
Механизация и автоматизация трудоемких процессов переработки полимеров: Сб. науч. тр. / ВНИИ резинотехн. машиностроения
Педагогика искусства и школа: Сб. ст. / Союз художников СССР, АПН СССР
Памятники письменности в музеях Вологодской области: Каталог-путеводитель / БАН СССР и др.
Наименование возглавляющего учреждения не приводят в сведениях об ответственности, если его отсутствие не повлияет на идентификацию подчиненного ему учреждения.
(Измененная редакция, Изм. № 1).
2.5.7. Особенности приведения элементов области заглавия и сведений об ответственности в описании сборника без общего заглавия
2.5.7.1. Сборники без общего заглавия могут содержать произведения одного автора, состоять из нескольких произведений разных авторов или из нескольких произведений, авторы которых не указаны в книге и не установлены.
При составлении описания сборника без общего заглавия в области заглавия и сведений об ответственности приводят библиографические сведения, относящиеся к каждому произведению, входящему в сборник, а также библиографические сведения, общие для всех произведений.
2.5.7.2. В библиографическом описании сборника произведений одного автора в области заглавия и сведений об ответственности приводят заглавия отдельных произведений в последовательности, данной на титульном листе, разделяя их точкой с запятой, например:
Тургенев И.С. Ася; Первая любовь; Вешние воды
Сведения, относящиеся к заглавию каждого произведения, а также сведения об ответственности — по пп.2.5.5; 2.5.6. Перед каждым последующим заглавием и относящимися к нему сведениями ставят т
