Государственная система обеспечения единства измерений. Термопреобразователи сопротивления из платины, меди и никеля. Общие технические требования и методы испытаний
Заменяет ГОСТ 6651-94: Общие технические требования и методы испытаний
На нашем сайте можно бесплатно скачать Руководящий документ ГОСТ 6651-2009 в удобном формате. Узнать актуальный статус документа «Государственная система обеспечения единства измерений. Термопреобразователи сопротивления из платины, меди и никеля. Общие технические требования и методы испытаний» на 2016 год.
Скрыть дополнительную информацию
Страница 1

Страница 2

Страница 3

Страница 4

Страница 5

Страница 6

Страница 7

Страница 8

Страница 9

Страница 10

Страница 11

Страница 12

Страница 13

Страница 14

Страница 15

Страница 16

Страница 17

Страница 18

Страница 19

Страница 20

Страница 21

Страница 22

Страница 23

Страница 24

Страница 25

Страница 26

Страница 27

Страница 28

Страница 29

Страница 30

Страница 31

Страница 32
МЕЖГОСУДАРСТВЕННЫЙ СОВЕТ ПО СТАНДАРТИЗАЦИИ, МЕТРОЛОГИИ И СЕРТИФИКАЦИИ
(МГС)
INTERSTATE COUNCIL FOR STANDARDIZATION, METROLOGY AND CERTIFICATION
(ISC)
|
МЕЖГОСУДАРСТВЕННЫЙ |
ГОСТ |
Государственная система обеспечения
единства измерений
ТЕРМОПРЕОБРАЗОВАТЕЛИ СОПРОТИВЛЕНИЯ
ИЗ ПЛАТИНЫ, МЕДИ И НИКЕЛЯ
Общие технические требования и методы испытаний
|
|
Москва Стандартинформ 2011 |
Предисловие
Цели, основные принципы и основной порядок проведения работ по межгосударственной стандартизации установлены ГОСТ 1.0-92 «Межгосударственная система стандартизации. Основные положения» и ГОСТ 1.2-97 «Межгосударственная система стандартизации. Стандарты межгосударственные, правила и рекомендации по межгосударственной стандартизации. Порядок разработки, принятия, применения, обновления и отмены»
Сведения о стандарте
1 РАЗРАБОТАН Федеральным государственным унитарным предприятием «Всероссийский научно-исследовательский институт метрологии имени Д.И. Менделеева» (ФГУП «ВНИИМ им. Д.И. Менделеева») Федерального агентства по техническому регулированию и метрологии
2 ВНЕСЕН Федеральным агентством по техническому регулированию и метрологии
3 ПРИНЯТ Межгосударственным советом по стандартизации, метрологии и сертификации (протокол №36 от 10 ноября 2009 г.)
За принятие проголосовали:
|
Краткое наименование страны по МК (ИСО 3166) 004-97 |
Код страны по МК (ИСО 3166) 004-97 |
Сокращенное наименование национального органа по стандартизации |
|
Азербайджан |
AZ |
Азстандарт |
|
Армения |
AM |
Минэкономики Республики Армения |
|
Беларусь |
BY |
Госстандарт Республики Беларусь |
|
Казахстан |
KZ |
Госстандарт Республики Казахстан |
|
Кыргызстан |
KG |
Кыргызстандарт |
|
Молдова |
MD |
Молдова-Стандарт |
|
Российская Федерация |
RU |
Федеральное агентство по техническому регулированию и метрологии |
|
Таджикистан |
TJ |
Таджикстандарт |
|
Узбекистан |
UZ |
Узстандарт |
|
Украина |
UA |
Госпотребстандарт Украины |
4 Приказом Федерального агентства по техническому регулированию и метрологии от 15 декабря 2009 г. № 1120-ст межгосударственный стандарт ГОСТ 6651-2009 введен в действие в качестве национального стандарта Российской Федерации
5 ВЗАМЕН ГОСТ 6651-94
Информация о введении в действие (прекращении действия) настоящего стандарта и изменений к нему на территории указанных выше государств публикуется в указателях национальных (государственных) стандартов, издаваемых в этих государствах.
Информация об изменениях к настоящему стандарту публикуется в указателе (каталоге) «Национальные стандарты», а текст изменений — в информационных указателях «Национальные стандарты». В случае пересмотра или отмены настоящего стандарта соответствующая информация будет опубликована в информационном указателе «Национальные стандарты»
СОДЕРЖАНИЕ
|
1 Область применения. 3 2 Нормативные ссылки. 3 3 Термины и определения. 3 4 Классификация. 5 5 Номинальная статическая характеристика и классы допусков. 6 6 Основные технические требования. 8 7 Виды испытаний и правила приемки. 11 8 Методы испытаний. 12 9 Комплектность. 15 10 Маркировка. 15 11 Упаковка, транспортирование и хранение. 16 12 Гарантии изготовителя. 16 Приложение А (справочное) Таблицы номинальной статической характеристики. 16 Приложение Б (справочное) Уравнения для расчета температуры по сопротивлению термопреобразователей сопротивления. 22 Приложение В (справочное) Условия приемки термопреобразователей сопротивления изготовителем и отбраковки потребителем.. 23 Библиография. 24 |
МЕЖГОСУДАРСТВЕННЫЙ СТАНДАРТ
Государственная система обеспечения единства измерений
ТЕРМОПРЕОБРАЗОВАТЕЛИ СОПРОТИВЛЕНИЯ ИЗ ПЛАТИНЫ, МЕДИ И НИКЕЛЯ
Общие технические требования и методы испытаний
State system for ensuring the uniformity of measurements.
Platinum, copper and nickel resistive temperature transducers.
General technical requirements and test methods
Дата введения — 2011-01-01
1 Область применения
Настоящий стандарт устанавливает общие технические требования к техническим термопреобразователям сопротивления (далее — ТС), чувствительные элементы (далее — ЧЭ) которых изготовлены из платины, меди и никеля, и методы их испытаний. Требования к классу допуска и стабильности распространяются также на ЧЭ ТС. Стандарт распространяется на ТС, предназначенные для измерения температуры от минус 200 °С до плюс 850 °С или в части данного диапазона.
Значения температуры в настоящем стандарте соответствуют Международной температурной шкале 1990 г. МТШ-90 [1]. Настоящий стандарт соответствует международному стандарту МЭК 60751 [2] в части определения зависимости сопротивления от температуры и допусков на платиновые ЧЭ и ТС с температурным коэффициентом сопротивления α = 0,00385 °С—1.
2 Нормативные ссылки
В настоящем стандарте использованы нормативные ссылки на следующие стандарты:
ГОСТ 8.461-2009 Государственная система обеспечения единства измерений. Термопреобразователи сопротивления из платины, меди и никеля. Методика поверки
ГОСТ 9.014-78 Единая система защиты от коррозии и старения. Временная противокоррозионная защита изделий. Общие требования
ГОСТ 356-80 Арматура и детали трубопроводов. Давления номинальные, пробные и рабочие. Ряды
ГОСТ 12997-841) Изделия ГСП. Общие технические условия
______________
1) Утратил силу в Российской Федерации. На территории Российской Федерации действует ГОСТ Р 52931-2008 «Приборы контроля и регулирования технологических процессов. Общие технические условия».
ГОСТ 14192-96 Маркировка грузов
ГОСТ 14254-96 (МЭК 529-89) Степени защиты, обеспечиваемые оболочками (Код IP)
ГОСТ 15150-69 Машины, приборы и другие технические изделия. Исполнения для различных климатических районов. Категории, условия эксплуатации, хранения и транспортирования в части воздействия климатических факторов внешней среды
ГОСТ 27883-88 Средства измерения и управления технологическими процессами. Надежность. Общие требования и методы испытаний
Примечание — При пользовании настоящим стандартом целесообразно проверить действие ссылочных стандартов в информационной системе общего пользования — на официальном сайте Федерального агентства по техническому регулированию и метрологии в сети Интернет или по ежегодно издаваемому информационному указателю «Национальные стандарты», который опубликован по состоянию на 1 января текущего года, и по соответствующим ежемесячно издаваемым информационным указателям, опубликованным в текущем году. Если ссылочный стандарт заменен (изменен), то при пользовании настоящим стандартом, следует руководствоваться заменяющим (измененным) стандартом. Если ссылочный стандарт отменен без замены, то положение, в котором дана ссылка на него, применяется в части, не затрагивающей эту ссылку.
3 Термины и определения
В настоящем стандарте применены следующие термины с соответствующими определениями:
3.1 термопреобразователь сопротивления; ТС: Средство измерений температуры, состоящее из одного или нескольких термочувствительных элементов сопротивления и внутренних соединительных проводов, помещенных в герметичный защитный корпус, внешних клемм или выводов, предназначенных для подключения к измерительному прибору.
Примечание — В состав ТС могут входить конструктивно связанные с ним монтажные и коммутационные средства.
3.2 чувствительный элемент термопреобразователя сопротивления; ЧЭ: Резистор, выполненный из металлической проволоки или пленки с выводами для крепления соединительных проводов, имеющий известную зависимость электрического сопротивления от температуры и предназначенный для использования в термопреобразователях сопротивления.
3.3 защитный корпус: Конструктивный элемент термопреобразователя сопротивления, обеспечивающий его механическую прочность и устойчивость к воздействию внешней среды, как правило, представляющий собой заваренную с одной стороны металлическую трубку с приспособлениями для монтажа термопреобразователей сопротивления или без этих приспособлений.
3.4 длина монтажной части термопреобразователя сопротивления: Для термопреобразователя сопротивления с неподвижным штуцером или фланцем — расстояние от рабочего конца защитного корпуса до опорной плоскости штуцера или фланца; для термопреобразователя сопротивления с подвижным штуцером или фланцем, а также без штуцера или фланца — расстояние от рабочего конца защитной арматуры до головки, а при ее отсутствии — до мест заделки выводов проводников.
3.5 длина погружаемой части термопреобразователя сопротивления: Максимально возможная глубина погружения термопреобразователя сопротивления в среду при температуре верхнего предела рабочего диапазона без нарушения работоспособности термопреобразователя сопротивления.
Примечание — Для ТС с монтажными элементами длина погружаемой части ТС равна длине монтажной части ТС.
3.6 минимальная глубина погружения термопреобразователя сопротивления: Такая глубина погружения термопреобразователя сопротивления в среду с однородным распределением температуры, что при дальнейшем погружении показания термопреобразователя сопротивления не изменяются более чем на 1/5 допуска соответствующего класса, а сопротивление термопреобразователя сопротивления при этом остается в пределах допуска.
3.7 диапазон измерений термопреобразователя сопротивления: Диапазон температур, в котором выполняется нормированная в соответствии с настоящим стандартом зависимость сопротивления термопреобразователя сопротивления от температуры в пределах соответствующего класса допуска.
3.8 рабочий диапазон температур термопреобразователя сопротивления: Диапазон температур, находящийся внутри диапазона измерений или равный ему, в пределах которого изготовителем установлены показатели надежности термопреобразователя сопротивления.
3.9 номинальная температура применения термопреобразователя сопротивления: Температура эксплуатации термопреобразователя сопротивления, для которой нормированы показатели надежности и долговечности.
Примечание — Номинальная температура применения ТС может быть установлена равной верхнему пределу рабочего диапазона температур ТС и (или) определена как одно или несколько наиболее вероятных значений внутри рабочего диапазона.
3.10 номинальное сопротивление термопреобразователя сопротивления; R0, Ом: Нормированное изготовителем сопротивление термопреобразователя сопротивления при 0 °С, округленное до целых единиц, указанное в его маркировке и рекомендуемое для выбора из ряда: 10, 50, 100, 500, 1000 Ом.
3.11 номинальная статическая характеристика; НСХ: Зависимость сопротивления термопреобразователя сопротивления или чувствительного элемента от температуры, рассчитанная по формулам, приведенным в разделе 5, для термопреобразователя сопротивления или чувствительного элемента с конкретным значением R0.
Примечание — Условное обозначение НСХ состоит из значения номинального сопротивления ТС или ЧЭ R0 и обозначения типа (таблица 1). Русское обозначение типа приводят за значением номинального сопротивления, латинское обозначение — перед значением номинального сопротивления. Например: 100 П означает НСХ для платинового ТС (или ЧЭ) с α = 0,00391 °С-1 и R0 = 100 Ом; Pt 100 означает НСХ для платинового ТС (или ЧЭ) с α = 0,00385 °С-1 и R0 = 100 Ом.
3.12 температурный коэффициент термопреобразователя сопротивления; α, °С-1: Коэффициент, определяемый по формуле где R100, R0 — значения сопротивления термопреобразователя сопротивления по номинальной статической характеристике соответственно при 100 °С и 0 °С, и округляемый до пятого знака после запятой.
3.13 допуск: Максимально допустимое отклонение от номинальной статической характеристики, выраженное в градусах Цельсия.
3.14 электрическое сопротивление изоляции термопреобразователя сопротивления: Электрическое сопротивление между внешними выводами термопреобразователя сопротивления и защитным корпусом, а также между цепями термопреобразователя сопротивления с двумя или более чувствительными элементами при комнатной или другой заданной температуре, измеряемое при заданном испытательном напряжении.
3.15 электрическая прочность изоляции термопреобразователя сопротивления: Напряжение между выводами и корпусом термопреобразователя сопротивления (или, в случае если термопреобразователь имеет несколько чувствительных элементов, — также и между цепями чувствительного элемента), которое термопреобразователь сопротивления может выдержать без повреждения в течение заданного времени.
3.16 самонагрев термопреобразователя сопротивления: Повышение температуры термопреобразователя сопротивления, вызванное нагревом чувствительного элемента измерительным током.
3.17 максимальный измерительный ток: Измерительный ток, вызывающий самонагрев термопреобразователя сопротивления, не превышающий 20 % допуска соответствующего класса и не приводящий к выходу показаний термопреобразователя сопротивления за пределы допуска.
3.18 время термической реакции: Время, которое требуется для изменения показаний термопреобразователя сопротивления на определенный процент полного изменения при ступенчатом изменении температуры среды.
3.19 термоэлектрический эффект: Эффект возникновения термоэлектродвижущей силы в измерительной цепи термопреобразователя сопротивления в условиях температурных градиентов вследствие использования различных металлов и их неоднородности.
3.20 гистерезис: Разность показаний термопреобразователя сопротивления при одной и той же температуре, полученных в температурных циклах при нагреве и охлаждении термопреобразователя сопротивления.
4 Классификация
Типы ТС и ЧЭ, на которые распространяется настоящий стандарт, приведены в таблице 1.
Таблица 1 — Обозначения типа, температурные коэффициенты и классы допусков термопреобразователей сопротивления и чувствительных элементов
|
Тип ТС |
Обозначение типа ТС |
α, °С-1 |
Класс допуска |
||
|
для проволочных ЧЭ |
для пленочных ЧЭ |
для ТС |
|||
|
Платиновый |
Pt |
0,00385 |
W 0.1, W 0.15, W 0.3, W 0.6 |
F 0.1, F 0.15, F 0.3, F 0.6 |
АА, А, В, С |
|
П |
0,00391 |
АА, А, В, С |
АА, А, В, С |
АА, А, В, С |
|
|
Медный |
М |
0,00428 |
А, В, С |
— |
А, В, С |
|
Никелевый |
Н |
0,00617 |
С |
— |
С |
5 Номинальная статическая характеристика и классы допусков
5.1 Метрологические характеристики, нормируемые согласно настоящему стандарту, распространяются на ЧЭ ТС при подключении непосредственно к их выводам и на ТС при подключении к клеммам головки в соответствии с указанной изготовителем схемой. Если на корпусе ТС с двухпроводной схемой указано значение сопротивления внутренних проводов, то оно должно быть вычтено из значения измеренного сопротивления ТС.
Примечание — При подключении двухпроводного ТС к измерительной установке с помощью двух соединительных проводов их сопротивление входит в состав измеренного сопротивления ТС и должно быть вычтено из результата измерения.
5.2 Формулы для расчета номинальной статической характеристики
НСХ ТС и ЧЭ в пределах диапазона измерений рассчитывают по следующим формулам:
5.2.1 Платиновые ТС и ЧЭ, α = 0,00385 °С-1
Для диапазона измерений от минус 200 °С до 0 °С:
Rt = R0[1 + At + Bt2 + C(t — 100 °С)t3]. (1)
Для диапазона измерений от 0 °С до 850 °С:
Rt = R0(1 + At + Bt2), (2)
где Rt — сопротивление ТС, Ом, при температуре t, °C;
R0 — номинальное сопротивление ТС, Ом, при температуре 0 °С.
Значения постоянных следующие:
А = 3,9083 ∙ 10-3 °С-1;
В = -5,775 ∙ 10-7 °С-2;
С = -4,183 ∙ 10-12 °С-4.
5.2.2 Платиновые ТС и ЧЭ, α = 0,00391 °С-1
Для диапазона измерений от минус 200 °С до 0 °С:
Rt = R0[1 + At + Bt2 + C(t — 100 °C)t3]. (3)
Для диапазона измерений от 0 °С до 850 °С:
Rt = R0(1 + At + Bt2), (4)
где Rt — сопротивление ТС, Ом, при температуре t, °C;
R0 — номинальное сопротивление ТС, Ом, при температуре 0 °С.
Значения постоянных следующие:
А = 3,9690 ∙ 10-3 °С-1;
В = -5,841 ∙ 10—7 °С-2;
С = -4,330 ∙ 10-12 °С-4.
5.2.3 Медные ТС и ЧЭ, α = 0,00428 °С-1
Для диапазона измерений от минус 180 °С до 0 °С:
Rt = R0[1 + At + Bt(t + 6,7 °C) + Ct3]. (5)
Для диапазона измерений от 0 °С до 200 °С:
Rt = R0[1 + At], (6)
где Rt — сопротивление ТС, Ом, при температуре t, °С;
R0 — номинальное сопротивление ТС, Ом, при температуре 0 °С.
Значения постоянных следующие:
A = 4,28 ∙ 10-3 °С-1;
В = -6,2032 ∙ 10-7 °С-2;
С = 8,5154 ∙ 10-10 °С-3.
5.2.4 Никелевые ТС и ЧЭ, α = 0,00617 °С-1
Для диапазона измерений от минус 60 °С до плюс 100 °С:
Rt = R0(1 + At + Bt2). (7)
Для диапазона измерений от 100 °С до 180 °С:
Rt = R0[1 + At + Bt2 + C(t — 100 °C)t2], (8)
где Rt — сопротивление ТС, Ом, при температуре t °C;
R0 — номинальное сопротивление ТС, Ом, при температуре 0 °С.
Значения постоянных следующие:
А = 5,4963 ∙ 10-3 °С-1;
В = 6,7556 ∙ 10-6 °С-2;
С = 9,2004 ∙ 10-9 °С-3.
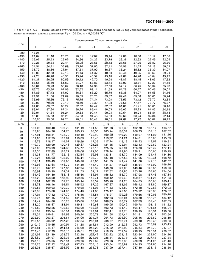
5.3 В приложении А представлены таблицы НСХ, рассчитанные по приведенным выше уравнениям для ТС, имеющих номинальное сопротивление R0 при 0 °С, равное 100 Ом. Для ТС, имеющих номинальное сопротивление R0, отличное от 100 Ом, табличные значения НСХ могут быть рассчитаны по формуле
Rнсх(t) = Rтаб(t)R0/100, (9)
где Rнсх(t) — значение сопротивления ТС по НСХ при температуре t, °C;
Rтаб — значение сопротивления по таблицам А.1 — А.5 приложения А (НСХ для R0 = 100 Ом) при температуре t, °C,
R0 — номинальное сопротивление ТС при температуре 0 °С.
Примечание — В приложении Б приведены уравнения, обратные НСХ, для точного или приближенного расчета значения температуры по сопротивлению ТС.
5.4 С целью повысить точность ТС может быть выполнена его индивидуальная градуировка с получением индивидуальных коэффициентов зависимости сопротивления от температуры. Методы индивидуальной градуировки и альтернативные интерполяционные уравнения настоящий стандарт не рассматривает.
5.5 Классы допусков
Допуски, соответствующие классам допусков по классификации таблицы 1, и диапазоны измерений для ТС и ЧЭ приведены в таблице 2. Данные допуски должны быть выполнены для ТС и ЧЭ с любым номинальным значением сопротивления.
Таблица 2 — Классы допусков и диапазоны измерений для термопреобразователей сопротивления и чувствительных элементов
|
Класс допуска |
Допуск, °С |
Диапазон измерений, °С |
|||
|
Платиновый ТС, ЧЭ |
Медный ТС, ЧЭ |
Никелевый ТС, ЧЭ |
|||
|
Проволочный ЧЭ |
Пленочный ЧЭ |
||||
|
АА W 0.1 F 0.1 |
±(0,1 + 0,0017|t|) |
От -50 до +250 |
От 0 до +150 |
— |
— |
|
А W 0.15 F 0.15 |
±(0,15 + 0,002|t|) |
От -100 до +450 |
От -30 до +300 |
От -50 до +120 |
— |
|
В W 0.3 F 0.3 |
±(0,3 + 0,005|t|) |
От -196 до +660 |
От -50 до +500 |
От -50 до +200 |
— |
|
С W 0.6 F 0.6 |
±(0,6 + 0,01|t|) |
От -196 до +660 |
От -50 до +600 |
От -180 до +200 |
От -60 до +180 |
|
Примечание — |t| — абсолютное значение температуры, °С, без учета знака. |
|||||
5.6 Допуски ТС и ЧЭ по сопротивлению при температуре t получают умножением допусков из таблицы 2 на коэффициент чувствительности dR/dt, Ом/°С, при температуре t, определенный по интерполяционным уравнениям 5.2. Для примера в таблице 3 приведены допуски по сопротивлению платинового ТС номинальным сопротивлением 100 Ом при температурах 0 °С и 100 °С.
Таблица 3 — Допуски по сопротивлению платинового термопреобразователя сопротивления (α = 0,00391 °С-1) номинальным сопротивлением 100 Ом
|
Класс допуска |
Допуск, Ом |
|
|
при 0 °С |
при 100 °С |
|
|
АА |
±0,04 |
±0,10 |
|
А |
±0,06 |
±0,13 |
|
В |
±0,12 |
±0,31 |
|
С |
±0,24 |
±0,62 |
5.7 Допуски для платиновых ТС при температурах вне диапазона измерений, указанного в таблице 2, должны быть установлены техническими документами на ТС конкретного типа.
5.8 Для платиновых ТС, требования к точности которых отличны от требований настоящего стандарта и установлены в технических документах на ТС конкретного типа, рекомендуется классы допусков и диапазоны нормировать, опираясь на допуск класса В. Например, «1/5 В, диапазон 0/100» означает допуск ±(0,06 °С + 0,001|t|) в диапазоне температуры от 0 °С до 100 °С.
6 Основные технические требования
6.1 Максимальный измерительный ток
Измерительный ток должен быть таким, чтобы самонагрев ТС не приводил к выходу ТС за пределы допуска. Повышение сопротивления ТС, обусловленное самонагревом, не должно превышать 20 % допуска. В цепях постоянного тока для ТС номинальным сопротивлением 100 Ом рекомендуется использовать ток 1 мА или менее.
6.2 Схемы соединения внутренних проводов
Схемы соединения внутренних проводов должны соответствовать показанным на рисунке 1. Для ТС классов АА и А не допускается использование двухпроводной схемы. Маркировка выводов и клемм должна позволять однозначно идентифицировать схему соединения и число ЧЭ. Если провода идентифицируют цветом, то рекомендуется использовать цвета, указанные на рисунке 1 или близкие к ним. Допускаются также другие способы маркировки выводов.
Примечания
1 При изготовлении ТС с двухпроводной схемой следует обеспечить, чтобы сопротивление внутренних проводов ТС не превышало 0,1 % номинального сопротивления ТС при 0 °С.
2 Конструкция ТС должна позволять использовать его в цепях постоянного тока и переменного тока с частотой до 100 Гц.
|
Число ЧЭ |
Двухпроводная схема |
Трехпроводная схема |
Четырехпроводная схема |
|
1 |
|
|
|
|
2 |
|
|
|
Рисунок 1 — Схемы соединения внутренних проводов
6.3 Электрическое сопротивление изоляции термопреобразователей сопротивления
Значение электрического сопротивления изоляции ТС при различных температурах должно быть не менее значений, указанных в таблице 4. Измерения при комнатных температурах должны быть проведены при напряжении постоянного тока 100 В, при повышенных температурах — от 10 до 50 В.
Таблица 4 — Электрическое сопротивление изоляции термопреобразователей сопротивления
|
Диапазон температур, °С |
Электрическое сопротивление изоляции, МОм |
|
15 — 35 |
100 |
|
100 — 250 |
20 |
|
251 — 450 |
2 |
|
451 — 650 |
0,5 |
|
651 — 850 |
0,2 |
6.4 Термоэлектрический эффект
Термоэлектродвижущая сила (ТЭДС) на выводах ТС при максимальной температуре диапазона измерений и максимальном измерительном токе не должна приводить к выходу ТС из класса допуска при двух направлениях тока в измерительной цепи ТС.
6.5 Стабильность чувствительных элементов и термопреобразователей сопротивления
6.5.1 После выдержки ЧЭ при температуре верхнего предела рабочего диапазона температур в течение 1000 ч сопротивление ЧЭ при 0 °С должно оставаться в пределах допуска соответствующего класса.
6.5.2 После выдержки ТС при температуре верхнего предела рабочего диапазона температур в течение 250 ч сопротивление ТС при 0 °С должно оставаться в пределах допуска соответствующего класса. Сопротивление изоляции ТС должно соответствовать требованиям 6.3.
Примечания
1 Время проверки стабильности 250 ч устанавливают только для ТС, ЧЭ которых предварительно были испытаны на стабильность в течение 1000 ч.
2 Для ТС, предназначенных для длительного использования без поверки, и для ТС, устанавливаемых на особо важных объектах, требования к стабильности должны быть повышены, время температурной выдержки при верхнем пределе рабочего диапазона температур должно быть увеличено. Данные требования должны быть установлены техническими документами на ТС конкретных типов.
6.6 Устойчивость термопреобразователей сопротивления к циклическому изменению температуры
После 10 циклов изменения температуры ТС от верхнего до нижнего предела рабочего диапазона сопротивление при 0 °С должно оставаться в пределах допуска соответствующего класса.
Примечание — Для ТС, предназначенных для работы в условиях быстроизменяющейся температуры, и для ТС, устанавливаемых на особо важных объектах, требования к устойчивости к температурным циклам должны быть повышены, число циклов должно быть увеличено. Данные требования должны быть установлены техническими документами на ТС конкретных типов.
6.7 Гистерезис
Значения сопротивления ТС, измеренные в одной и той же температурной точке, соответствующей 1/2 рабочего диапазона в условиях нагрева и охлаждения ТС от верхнего до нижнего предела рабочего диапазона, должны оставаться в пределах допуска соответствующего класса.
6.8 Время термической реакции
Требования к времени термической реакции должны быть установлены техническими документами на ТС конкретных типов. Для нормирования времени термической реакции необходимо указать параметры среды (как правило, вода и воздух), задать процент полного изменения показаний ТС (рекомендуется 10 %, 50 %, 63,2 % или 90 %) и указать скорость потока (рекомендуется от 0,1 до 1 м/с в воде, более 3 м/с на воздухе).
6.9 Электрическая прочность изоляции
ТС должен без повреждений выдерживать в течение 1 мин синусоидальное переменное напряжение 250 В частотой 50 Гц. ТС для наземного и водного транспорта должен без повреждений выдерживать в течение 1 мин синусоидальное переменное напряжение 500 В частотой 50 Гц. В технических документах на ТС должен быть указан максимальный ток утечки.
6.10 Герметичность и прочность защитного корпуса
6.10.1 Защитный корпус ТС должен выдерживать испытание на герметичность и прочность пробным давлением, значение которого следует выбирать в соответствии с требованиями ГОСТ 356.
6.10.2 Целостность защитного корпуса термопреобразователя и герметичность сварных швов могут быть дополнительно проверены по методике, аналогичной приведенной в МЭК 1515 [3].
6.11 По устойчивости к воздействию температуры и влажности окружающей среды, к вибрациям, механическим воздействиям, по устойчивости в транспортной таре к воздействию тряски, температуры и повышенной влажности ТС должны соответствовать ГОСТ 12997 для заявленной группы исполнения. После испытаний должен быть проведен повторный контроль требований к сопротивлению термопреобразователя при температуре 0 °С и к сопротивлению изоляции.
6.12 Требования к взрыво- и искробезопасности должны соответствовать [4] и [5] и быть установлены техническими документами на ТС конкретных типов.
6.13 Требования к защите от воздействия агрессивных сред должны быть установлены техническими документами на ТС конкретных типов.
6.14 Длину монтажной части ТС рекомендуется выбирать из ряда: 10, 16, 20, 25, 32, 40, 50, 60, 80, 100, 120, 160, 200, 250, 320, 400, 500, 630, 800, 1000, 1250, 1600, 2000, 2500, 3150 мм. Предпочтительные диаметры металлического корпуса термопреобразователя — от 3 до 12 мм. Допуск для диаметра стального защитного корпуса — от ±0,1 до ±0,3 мм по [6].
6.15 Длина погружаемой части ТС для ТС без монтажных приспособлений должна быть установлена изготовителем и приведена в технических документах на ТС. Длина погружаемой части ТС с монтажными элементами равна длине монтажной части ТС.
6.16 Минимальная глубина погружения ТС при температуре 0 °С и наружной комнатной температуре должна быть установлена техническими документами на ТС. Дополнительно в соответствии с техническими документами на ТС может быть нормирована минимальная глубина погружения при различных температурах среды и скоростях потока.
6.17 Требования к надежности и критерии отказов по ГОСТ 27883 должны быть установлены техническими документами на ТС конкретных типов при номинальной температуре применения.
6.18 Влаго- и пылезащищенность защитного корпуса должны быть нормированы в соответствии с ГОСТ 14254. В технических документах должен быть приведен код IP термопреобразователя.
7 Виды испытаний и правила приемки
7.1 Испытания для целей утверждения типа термопреобразователей сопротивления
Испытания проводят в соответствии с правилами по метрологии ПР 50.2.009 [7] на нескольких, но не менее чем трех образцах ТС. Перечень обязательных испытаний приведен в таблице 5. Программа испытаний может быть дополнена испытаниями на соответствие техническим требованиям, специфическим для ТС конкретного типа.
7.2 Приемосдаточные испытания
Объем, состав и последовательность испытаний, вид контроля (сплошной, выборочный), правила приемки, перечень контролируемых характеристик должны быть установлены техническими документами на ТС. Перечень необходимых испытаний для каждого образца ТС, позволяющих классифицировать его как соотве






