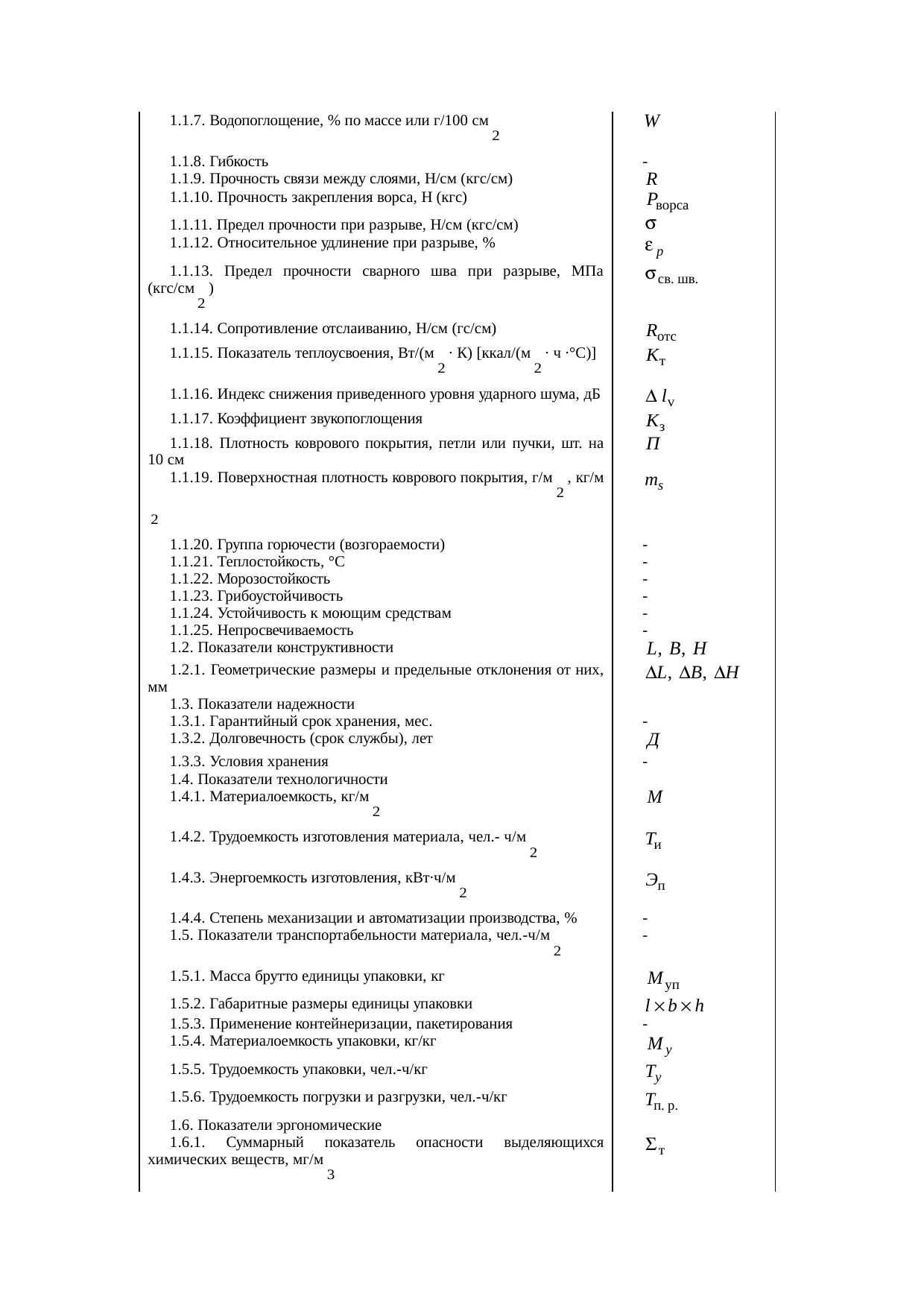
СПКП. Строительство. Материалы отделочные и изделия облицовочные полимерные. Номенклатура показателей
На нашем сайте можно бесплатно скачать ГОСТ 4.230-83 (1995) в удобном формате. Узнать актуальный статус ГОСТА «СПКП. Строительство. Материалы отделочные и изделия облицовочные полимерные. Номенклатура показателей» на 2016 год.
Скрыть дополнительную информацию

Страница 1

Страница 2

Страница 3

Страница 4

Страница 5

Страница 6

Страница 7

Страница 8
