Электроутюги бытовые. Технические условия
Заменяет

Страница 1

Страница 2

Страница 3

Страница 4

Страница 5

Страница 6

Страница 7

Страница 8

Страница 9

Страница 10

Страница 11

Страница 12

Страница 13

Страница 14

Страница 15

Страница 16

Страница 17

Страница 18

Страница 19

Страница 20

Страница 21

Страница 22

Страница 23

Страница 24

Страница 25

Страница 26
ГОСТ 307.1-95
МЕЖГОСУДАРСТВЕННЫЙ СТАНДАРТ
ЭЛЕКТРОУТЮГИ БЫТОВЫЕ
ТЕХНИЧЕСКИЕ УСЛОВИЯ
Издание официальное
БЗ 1-98
МЕЖГОСУДАРСТВЕННЫЙ СОВЕТ ПО СТАНДАРТИЗАЦИИ. МЕТРОЛОГИИ И СЕРТИФИКАЦИИ Минск
ГОСТ 307.1-95
Предисловие
1 РЛЗРЛБО’ГЛН И ВНЕСЕН Министерством машиностроения военно-промышленного комплекса и конверсии Украины
2 ПРИНЯТ Межгосударственным Советом по стандартизации, метрологии и сертификации 26 апреля 1995 г.
|
За принятие проголосовали: |
||||
|
3 Постановлением Государственного комитета Российской Федерации по стандартизации, метрологии и сертификации от 1 декабря 1997 г. № 390 межгосударственный стандарт ГОСТ 307.1 — 95 введен в действие непосредственно в качестве государственного стандарта Российской Федерации с I января 1998 г.
4 ВЗАМЕН ГОСТ 307-81 в части технических требований и методов испытаний
£> ИГ1К Издательство стандартов. 199S
Настоящий стандарт не может быть полностью или частично воспроизведен, тиражирован и распространен в качестве официального издания на территории Российской Федерации без разрешения Госстандарта России
II
ГОСТ 307.1-95
МЕЖГОСУДАРСТВЕННЫЙ С Т А Н Д А Р Т
ЭЛЕКТРОУТЮГИ БЫТОВЫЕ Технические условия
Domestic electric irons. Specifications
Дата введения 1998—01—01
Настоящий стандарт распространяется па утюги электрические бытовые (далее — утюги) бытового и аналогичного назначения, используемые для глажения тканей.
Настоящий стандарт не распространяется на утюги с самостабилизнрующимися нагревателями (позисторами).
Требования настоящего стандарта являются обязательными, кроме требований 2.3.4—2.3.10; 2.3.12; 2.3.13.2; 2.3.18; 2.3.19; 2.3.29.2, которые являются рекомендуемыми.
Термины, применяемые в настоящем стандарте, и их определения — по ГОСТ 15047 и приложению 1.
1 ТИНЫ И КОНСТРУКТИВНЫЕ ПРИЗНАКИ
1.1 Типы утюгов
1.1.1 Утюги изготовляют следующих типов:
1) УТ (в том числе дорожные) — утюг с терморегулятором;
2) УТУ — утюг с терморегулятором утяжеленный;
3) УГР — утюг с терморегулятором и разбрызгивателем;
4) УТП — утюг с терморегулятором и пароувлажнителем;
5) УТПР — утюг с терморегулятором, пароувлажнителем и разбрызгивателем.
Примечание — По согласованию с потребителем могут разрабатываться и изготовляться другие типы утюгов, полученные путем соединения отдельных конструктивных признаков, введенных ниже.
1.2 Конструктивные признаки утюгов
1.2.1 Обозначение типа утюга создается соединением обозначений отдельных конструктивных признаков утюга по их назначению.
1.2.1.1 По способу регулирования и (или) ограничения температуры:
1) У — утюг без терморегулятора и термовыключателя, пароувлажнителя и разбрызгивателя воды;
2) У* — утюге термовыключателем с автоматическим повторным включением (далее — с само-возвратом);
3) Уа — утюг с термовыключателем и неавтоматическим повторным включением (далее — без самовозврата);
4) У — утюг с термоограничителем и (или) реле перегрузки (реле максимального тока):
5) УТ — утюг с терморегулятором;
6) УТ0 — утюг с терморегулятором и термовыключателем без самовозврата;
7) УТ, — утюг с терморегулятором и электронной системой отключения утюга от сети.
1.2.1.2 По способности увлажнения глаженой ткани:
УН — утюг с пароувлажнителем.
И манне официальное
1
ГОСТ 307.1-95
1.2.1.3 По способу регулирования парообразования:
1) УП1 — угюг с капельным питанием водой (утюг с пароувлажннтелем. в котором пар можно включать и выкчючать с помощью управляющего клапана. Выделение пара наиболее часто прекращается при вертикальном положении подошвы);
2) УП. — утюг ««варочный* с пароувлажннтелем без регулирования выделения пара вплоть до опорожнения резервуара с водой.
1.2.1.4 По способности разбрызгивания воды на глаженой ткани:
УР — утюг с разбрызгивателем.
Примечания
1 В обозначение типа утюга после указания символа утюга «У» вносится обозначение, опрсоляюшес способ регулирования и (или) ограничения температуры согласно подпункту 1.2.1.1.
2 Для утюгов, совмещающих пароувлажнитель и разбрызгиватель, дополнительно указыаегся соответствующее обозначение »П» или «Р*.
3 Для утюгов массой более 2.0 кг в обозначение тина вводится символ массы согласно подт ипу 1.3.1.3.
1.3 Конструктивные разновидности утюгов
1.3.1 Утюги могут иметь следующие конструктивные разновидности:
1.3.1.1 По электрическому току питающей сети:
1) работающие от сети переменного тока;
2) работающие от сети переменного и постоянного тока.
1.3.1.2 По номинальному напряжению питающей сети — по ГОСТ 21128:
1) работающие от напряжения одной величины:
2) работающие от напряжений нескольких различных величин;
3) работающие на диапазоне напряжений:
4) работающие на двух или более диапазонах напряжений.
1.3.1.3 По массе:
1) легкие — до 1,6 кг — Л;
2) средние — свыше 1,6 до 2.0 кг — С;
3) утяжеленные — свыше 2.0 кг — У.
1.3.1.4 По виду пользования:
1) для общего пользования (утюги домашние) — с обозначением типов по 1.1;
2) утюги дорожные (туристические) — Д.
1.3.1.5 В зависимости от удобства пользования:
1) комфортного исполнения — К;
2) обычного исполнения (без указания символа).
2 ТЕХНИЧЕСКИЕ ТРЕБОВАНИЯ
2.1 Общие требования
2.1.1 Утюги должны изготовляться в соответствии с требованиями настоящего стандарта. ГОСТ 14087, ГОСТ 27570.0. Г ОСТ 27570.124 по образцам-эталонам — по ГОСТ 15.009. утвержденным в установленном порядке, и рабочим чертежам изготовителя. При поставках на экспорт утюги должны изготавливаться с учетом требований контракта государственных структур внешнеэкономических связей с другими государствами.
2.1.2 Рекомендуемые требования к утюгам по пунктам, указанным в вводной части, являются рекомендациями разработчику изделия при выборе конструктивного решения, материала или требований общего характера и проверке по настоящему стандарту могут не подлежать.
2.2 Основные параметры и размеры
2.2.1 Габаритные размеры утюга — согласно рабочим чертежам изготовителя.
2.2.2 Время нагрева подошвы утюга до температуры, превышающей температу ру окружающего воздуха на 180’С. при заданных номинальном напряжении, номинальной потребляемой мощности и массе должно быть не более указанного в таблице 1.
1
На территории Российской Федерации действует ГОСТ Р МЭК 335-2-3-95 (см. здесь и далее).
ГОСТ 307.1-95
|
Таблица I |
||||||||||||||||||||||||||||||||||
|
||||||||||||||||||||||||||||||||||
2.2.3 В условное обозначение утюга должны входить: тип, номинальная потребляемая мощность, масса (или символ массы), номинальное напряжение или диапазон номинальных напряжений, климатическое исполнение (если отличное от УХЛ 4 по ГОСТ 15150), комфортность (К), обозначение настоящего стандарта.
Примеры условного обозначения утюга при написании в технической документации и при заказе:
Примеры:
1) Тип УТ, мощностью 1000 Вт. массой 1,2 кг. обычного исполнения, напряжением 220 В:
Электроутюг УТ 1000-1,2.220 ГОСТ 307.1-95
2) Тип У’ГПР. мощностью 1000 Вт, массой 1,6 кг, комфортного исполнения, напряжением 220 В:
Электроутюг УГПР 1000-1,6.К.220 ГОСТ 307.1-95
3) Тип УТ0 — с терморегулятором и термовыключателем без самовозврата. мощностью 1000 Вт. массой 1,2 кг, комфортного исполнения, напряжением 220 В:
Электроутюг УГ„ /ООО-1.2.К.220 ГОСТ307.1-95.
2.3 Характеристики
2.3.1 Утюг должен работать от электрической сети однофазного переменного тока напряжением 220 В, частотой 50 Гц.
Допускается по заказу потребителя и на экспорт изготовлять утюги на другие значения номинального напряжения сети и частоты тока с соответствующими им значениями рабочих характеристик.
2.3.2 Утюг должен функционировать при отклонениях напряжения сети в пределах ±10 % от номинального значения.
2.3.3 Подошва утюга должна нагреваться равномерно. Разница между средним значением температуры нагрева подошвы и средним значением температуры одной из установленных точек подошвы не должна превышать 10 *С.
2.3.4 Темпе pars1 ра в центре подошвы утюга при установке указателя температуры терморегулятора напротив центров символов условий глажения, указывающих температуру нагрева в установившемся тепловом режиме, должна соответствовать приведенной в таблице 2.
|
Таблица 2 |
|||||||||||||||||||
|
|||||||||||||||||||
3
ГОСТ 307.1-95
Средняя максимальная температура в центре подошвы утюга при предельном положении указателя температуры терморегулятора в установившемся тепловом режиме за пять последовательных циклов должна быть не более 250 «С.
Примечание — Символы условий глажения наносят на указатель температуры терморегулятора.
2.3.5 Температура избыточного нагрева в самой горячей точке подошвы утюга после начального включения по отношению к среднему значению температур за пять последних циклов (из девяти циклов в режиме «включено — отключено») не должна превышать 30 С.
Циклическое колебание температуры в самой горячей точке подошвы не должно превышать 20 *С от среднего значения температуры подошвы утюга в установившемся тепловом режиме.
2.3.6 Снижение температуры подошвы утюга под нагрузкой (в центре подошвы) для утюга номинальной потребляемой мощностью свыше 400 Вт не должно превышать 10 «С.
Для утюгов мощностью менее 400 Вт снижение температуры под нагрузкой не регламентируется.
2.3.7 Стабильность работы терморегулятора определяется допускаемым отклонением ог заданного значения температуры не более чем на 10 %.
2.3.8 Время нагрева подошвы утюга до достижения способности парения для утюгов типа УТП или УТПР должно составлять не более указанного в 2.2.2, таблица 1.
2.3.9 Продолжительность и интенсивность парения утюгов типа УТП или УТПР должны обеспечиваться номинальной вместимостью резервуара на продолжительность парения не менее 15 мин и среднюю интенсивность парения 8 г/м ни.
Примечание — Номинальная вместимость резервуара для волы устанавливается изготовителем.
2.3.10 Обшая продолжительность парения и расход пара с использованием жесткой волы без очистки, если это предусмотрено конструкцией, указывается в эксплуатационной документации изготовителя.
2.3.11 Для утюгов с нанесенным на подошву политетрафторэтил е Iювым или другим аналогичным покрытием (датее — полимерным покрытием) должно обеспечиваться прочное соединение пленки с подошвой упога.
2.3.12 Утюги с разбрызгивателями воды (типов УТР и УТПР) должны обеспечивать увлажнение ткани разбрызгиванием на участке глажения площадью не менее 200 см2 в соответствии с рисунком 1 при трехкратном нажатии на механизм разбрызгивания.
|
Учасюк рашрыинвания |
||||||||||||||||
|
||||||||||||||||
|
Рисунок I |
||||||||||||||||
Граница увлажненного разбрызгиванием воды участка, наиболее удаленного от утюга, должна находиться на расстоянии не более 500 мм от передней части подошвы утюга. Центр описанного прямоугольника вокруг участка увлажнения должен находиться на линии заданного направления разбрызгивания. Отклонение края пятен увлажненного участка от продольной оси подошвы утюга должно быть в пределах ±50 мм.
2.3.13 Надежность утюгов определяется следующими единичными показателями по ГОСТ 17446.
2.3.13.1 Средняя наработка утюгов на отказ 7„, ч, не менее:
1) для утюгов типов УТ, УТУ…1400:
2) для утюгов типов УТР, УТП. УТПР …1200.
2.3.13.2 Средний срок службы утюгов (7^,) должен быть не менее 15 лет.
2.3.14 Конструкция утюгов должна быть ремонтопригодной и обеспечивать доступность к
4
ГОСТ 307.1-95
составным частям и их легкосъемностъ, а также обеспечивать минимальные затраты времени на обнаружение дефектов и их устранение при техническом обслуживании и ремонте.
Разборка и сборка должны осуществляться с помошью стандартного инструмента.
Среднее время восстановления работоспособного состояния утюгов Тв не должно превышать I ч.
2.3.15 Утюги должны выдерживать испытания на механическую прочность при транспортировании по ГОСТ 23216. условия (Л), (С) или (Ж) — в зависимости от условий транспортирования.
2.3.16 Утюги должны изготавливаться климатического исполнения УХЛ 4 по ГОСТ 15150 и удовлетворять требованиям стойкости изделий к воздействию климатических факторов внешней среды при эксплуатации — по ГОСТ 15543.1.
Примечание — По заказу потребителя допускается изготовление утюгов для эксплуатации и в друих микроклиматических районах (например, климатического исполнении О) при выполнеши соответствующих! этим районам требований по категории размещения изделия, климатическим факторам/Зезопасности, покрытиям и другим.
2.3.17 Поверхность подошвы утюга должна быть гладкой и полированной. Шероховатость подошвы утюга не должна быть более Ra = 0.63 мкм по ГОСТ 2789.
Шероховатость подошвы с полимерным покрытием не регламентируется.
2.3.18 Отклонение от прямолинейности подошвы утюга в продольном направлении не должно быть более 0.8 мм. в поперечном — не более 0,5 мм.
2.3.19 Подошва утюга должна обладать стойкостью к царапинам, возможным при эксплуатации, при твердости подошвы (без покрытия) по Брннеллю не менее 70 НВ (686,5 МПа).
2.3.20 Длина шнура питания для подключения утюга к сети должна быть не менее 2.0 м. Шнур должен иметь спрессованную неразборную вилку.
Примечание — Допускается по согласованию с потребителем применять шнур питания с разборной вилкой с присоединительными размерами по ГОСТ 7396.1.
2.3.21 Утюг должен иметь достаточную механическую прочность и быть сконструирован так, чтобы выдерживать эксплуатацию согласно требованиям ГОСТ 27570.12. раздел 21, что возможно при нормальной работе утюга.
2.3.22 Допускаемые радио- и телепомехи при работе утюга не должны превышать значений, установленных ГОСТ 23511.
2.3.23 Требования безопасности утюгов — по ГОСТ 27570.0 и ГОСТ 27570.12.
2.3.24 По классу зашиты от поражения электрическим током утюги должны соответствовать ГОСТ 27570.12, раздел 22.
2.3.25 По степени зашиты от влаги утюги должны соответствовать приборам обычного исполнения по ГОСТ 27570.12, раздел 15.
2.3.26 Утюг должен нормально работать в соответствии с заданной уставкой терморегулятора, термовыключателя, термоограничителя или другого устройства, срабатывающего при достижении утюгом заданной температуры нагрева, по ГОСТ 27570.0, раздел 18.
Для утюгов с номинальной потребляемой мощностью до 400 Вт и без терморегулирующих устройств повышение температуры свыше допускаемой должно ограничиваться потребляемой мощностью нагревательного элемента прибора, а в эксплуатационной документации изготовителя должны быть соответствующие указания по безопасности.
2.3.27 Утюг должен быть сконструирован гак, чтобы опасность возникновения пожара или механических повреждений, которые снижают безопасность и степень зашиты от поражения электрическим током в результате ненормальной работы или небрежной эксплуатации, была минимальной в соответствии с требованием ГОСТ 27570.12. раздел 19.
2.3.28 Утюги в период подготовки к работе и во время работы должны соответствовать требованиям по устойчивости и механической опасности ГОСТ 27570.12, раздел 20.
2.3.29 Утюги могут изготовляться обычного или комфортного исполнения.
2.3.29.1 Конструкция утюгов обычного исполнения должна иметь:
1) подошву с нагревательным элементом:
2) корпус, ручку;
3) шнур питания:
4) подставку или опору;
5) устройство для регулирования температу ры и (или) отключения утюга от сети при превышении заданного значения температур (терморегуляторы, термовыключатели, термоограничители, реле максимального тока и др.);
6) световую сигнализацию (сигнальная лампочка), указывающую на включение и работу’ нагревательного элемента утюга (для типов УТ и УТУ необязательна).
5
ГОСТ 307.1-95
2.3.29.2 Конструкция утюгов комфортного исполнения должна иметь:
1) встроенный электрический выключатель, обеспечивающий подачу напряжения на нагревательный элемент утюга только во время операции глажения или при подготовке к этой операции (нагрев утюга);
2) дополнительную зашнту от превышения температуры нагрева подошвы утюга — устройство автоматического отключения утюга от сети;
3) возможность перемещения шнура питания для глажения правой или левой рукой;
4) регулирование интенсивности парения и наличие форсированного подпаривання. Указатель уровня воды в резервуаре;
5) наличие световой (или другой) сигнализации, указывающей на условия прохождения процесса глажения (превышение температуры подошвы утюга);
6) подошву утюга с полимерным покрытием;
7) возможность производить глажение утюгом при использовании жесткой воды (для утюгов типов УТИ и УТПР).
Возможно наличие и других признаков комфортности, указанных в нормативных документах (НД) изготовителя.
2.3.30 Наружные поверхности утюга, кроме коррозионностойких, должны иметь зашитпо-де-коративные покрытия.
Покрытия должны быть достаточно прочными, ровными, стойкими к влаге и температурным воздействиям в процессе эксплуатации утюга.
2.3.31 Части из черных металлов, коррозия которых может привести к несоответствию утюга требованиям настоящего стандарта, должны иметь достаточную защиту от коррозии — по ГОСТ 27570.0, раздел 31.
2.4 Требования к сырью, материалам, комплектующим изделиям
2.4.1 Подошва утюга должна изготовляться из теплостойких материалов, соответствующих требованиям 2.3.4; 2.3.17; 2.3.18 и 2.3.19 настоящего стандарта.
Химический состав материала подошвы настоящим стандартом не регламентируется.
2.4.2 Требования к комплектующим изделиям — по ГОСТ 27570.0, раздел 24. с дополнениями, указанными ниже.
Для утюгов, поставляемых на экспорт, как правило, должны применяться комплектующие изделия экспортного исполнения. В случае использования комплектующих изделий, и потомленных для внутреннего рынки!, необходимо проводить 100 %-ный входной ко1гтроль на соответствие их стандартам или техническим условиям. Комплектующие изделия должны соответствовать по безопасности требованиям соответствующих стандартов (или другим нормативным документам на эти изделия).
2.4.3 Если маркировка комплектующих изделий содержит данные об их рабочих характеристиках. то условия использования этих комплектующих в утюге должны соответствовать этой маркировке.
2.4.4 Присоединение несъемного шнура питания к утюгу — по ГОСТ 27570.12. раздел 25.
2.4.5 Утюги могут иметь съемный или несъемный шнур питания по ГОСТ 7399.
2.4.6 Части и детали из неметаллических материалов, находящиеся в зоне повышенной температуры. должны иметь достаточну ю стойкость к воспламенению и распространению огня.
2.5 Комплектность
2.5.1 В комплект поставки должны входить: утюг, упаковочная коробка (потребительская тара), эксплуатационная документация и дополнительные принадлежности, входящие в комплект поставки утюга согласно эксплуатационной документации изготовителя.
2.5.2 Эксплуатационная документация должна соответствовать требованиям ГОСТ 26119. а при поставке на экспорт должна быть выполнена с учетом требований условий контракта государственных структур внешнеэкономических связей с другими государствами.
2.5.3 При поставке на экспорт комплектность должна соответствовать условиям контракта государственных структур внешнеэкономических связей с другими государствами.
2.6 Маркировка
2.6.1 Маркировка утюгов — по ГОСТ 27570.12, раздел 7, со следующими дополнениями:
1) обозначение символов температурных условий глажения и органов управления — по ГОСТ 24899 (для соответствующих типов утюгов):
2) надпись «MADE IN…**.
Допускается указывать марку утюга, например. «Турист».
* Указывается страна-изготовитель.
ГОСТ 307.1-95
2.6.2 На отдельных подставках или опорах, поставляемых с утюгом, должны быть указаны:
1) наименование или товарный знак изготовителя:
2) обозначение типа или модели утюга.
2.6.3 Условное обозначение и качество выполнения маркировки — по ГОСТ 27570.0. раздел 7, и ГОСТ 24899.
Маркировка должна быть выполнена методом, обеспечивающим ее четкое изображение. Цветовое решение, размеры и место нанесения маркировки — согласно указаниям в рабочих чертежах изготовителя.
2.6.4 На потребительской таре утюга указывают:
1) условное обозначение утюга;
2) поминальное напряжение. В:
3) символ рода тока:
4) номинальную частоту. Гц (при отличии от 50 Гц);
5) номинальную потребляемую мощность. Вт;
6) наименование изготовителя или его товарный знак:
7) обозначение настоящего стандарта;
год выпуска;
9) надпись «MADE IN…**.
2.6.5 Транспортная маркировка — по ГОСТ 14192 с дополнением, указанным ниже:
1) манипуляционные знаки М> 3 и № 11 — по ГОСТ 14192;
2) условное обозначение утюга;
3) обозначение настоящего стандарта.
Место и способ нанесения транспортной маркировки — по ГОСТ 14192.
2.6.6 Маркировка потребительской тары и транспортная маркировка при изготовлении утюгов на экспорт — в соответствии с требованиями контракта государственных структур внешнеэкономических связей с другими государствами.
2.7 Упаковка
2.7.1 Каждый утюг должен быть упакован в указанную потребительскую тару: коробки картонные по ГОСТ 12301 или ящики из гофрированного картона по ГОСТ 22852, пачки по ГОСТ 12303 или другую потребительскую тару.
Тип внутренней упаковки ВУ-11 в соответствии с требованиями ГОСТ 23216.
2.7.2 Утюги в потребительской таре должны быть упакованы в транспортную тару: ящики деревянные по ГОСТ 16511 или ящики дощатые по ГОСТ 10131, или ящики из гофрированного картона по ГОСТ 22852 или ГОСТ 13511. Масса одного упаковочного места — не более 30 кг. Допускается транспортировать утюги в потребительской таре непосредственно в грузовых контейнерах или на поддонах, а в черте города — в крытых автомашинах.
При этом должна быть обеспечена сохранность качества изделий и внешнего вида потребительской тары.
При транспортировании утюгов в потребительской таре допускается связывать их в пачки.
2.7.3 Упаковка утюгов, транспортируемых в районы Крайнего Севера и труднодоступные районы. — по ГОСТ 15846.
2.7.4 При железнодорожных перевозках мелкими партиями с перевалами и перегрузками в пути следования должны применяться плотные деревянные яшики по ГОСТ 16511. обтянутые поясами из стальной упаковочной ленты по ГОСТ 3560.
2.7.5 Пакетирование утюгов в транспортной таре — по правилам перевозки грузов, утвержденным соответствующими ведомствами. Выбор средств крепления грузов в пакетах — по ГОСТ 21650.
2.7.6 Упаковка сопроводительной документации — по ГОСТ 23216.
Упаковочный лист должен содержать перечень и сведения о количестве изделий, упакованных в одно грузовое место, и быть подписан упаковшиком или иметь оттиск его клейма.
3 ПРИЕМКА
3.1 Приемка утюгов должна проводиться в соответствии с требованиями ГОСТ 14087, раздел 3. и дополнительными требованиями, указанными ниже. В программу испытаний не включены и не подлежат проверке требования технологии, унификации, эргономики и эстетики, так как они контролируются на стадии разработки и согласования конструкторской документации.
* Указывается страна-изготовитсль.
7
ГОСТ 307.1-95
3.2 Утюги должны подвергаться следующим испытаниям:
1) приемо-сдаточным:
2) периодическим;
3) квалификационным;
4) типовым;
5) на надежность.
Примечание — Допускается применение методов испытаний, установленных настоящим стандартом, для проверок при проведении других вилов испытаний, не указанных в 3.2 (наример, приемочных).
3.3 Приемо-сдаточным испытаниям следует подвергать каждый утюг по программе, указанной в таблице 3.
|
Таблица 3 |
|||||||||||
|
|||||||||||
Утюг, не выдержавший приемо-сдаточных испытаний, подлежит возврату для устранения дефектов в установленном порядке, после чего утюг должен быть подвергнут повторной проверке в полном объеме приемо-сдаточных испытаний.
3.4 При поставке на экспорт утюг должен подвергаться приемо-сдаточным испытаниям в присутствии представителя экспертно-технической комиссии изготовителя.
3.5 Периодические испытания утюгов проводят не реже одного раза в три года.
Для испытания отбирают образцы, прошедшие приемо-сдаточные испытания. Объем выборки — не менее 3 шт. Для проверки стабильности работы терморегулятора отбирают дополнительные образцы. Выбор образцов для испытаний проводят в соответствии с ГОСТ 18321 методом отбора с применением случайных чисел.
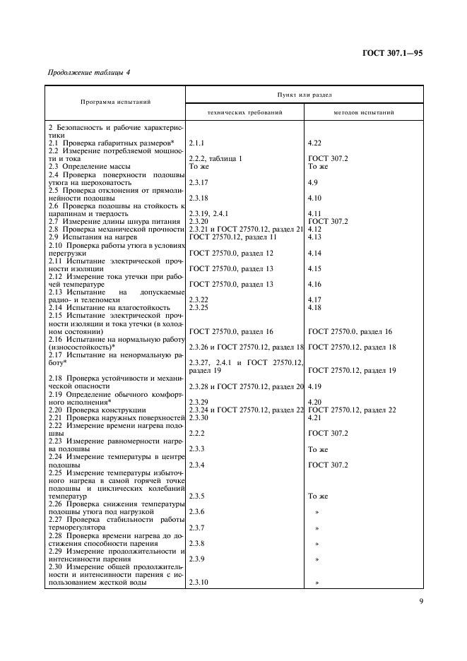
Программа проведения периодических испытаний приведена в таблице 4.
|
Таблица 4 |
||||||||||||||||||||||||||||||||||||||||||||||||||
|
||||||||||||||||||||||||||||||||||||||||||||||||||
ГОСТ 307.1-95
|
Продолжение таблицы 4 |
||||||||||||||||||||||||||||||||||||||||||||||||||||||||||||||||||||||||||||||||||||||||||||||||||||||||||||||||||||||||||||||||||||||||||||||||||||||||||||||||||||||||||||||||||||||
|
||||||||||||||||||||||||||||||||||||||||||||||||||||||||||||||||||||||||||||||||||||||||||||||||||||||||||||||||||||||||||||||||||||||||||||||||||||||||||||||||||||||||||||||||||||||
9
ГОСТ 307.1-95
|
Продолжение та&шцы 4 |
|||||||||
| |||||||||
