Совместимость технических средств электромагнитная. Требования к ширине полосы радиочастот и внеполосным излучениям радиопередатчиков. Методы измерений и контроля
На нашем сайте можно бесплатно скачать Руководящий документ ГОСТ 30318-95 в удобном формате. Узнать актуальный статус документа «Совместимость технических средств электромагнитная. Требования к ширине полосы радиочастот и внеполосным излучениям радиопередатчиков. Методы измерений и контроля» на 2016 год.
Скрыть дополнительную информацию
Страница 1

Страница 2

Страница 3

Страница 4

Страница 5

Страница 6

Страница 7

Страница 8

Страница 9

Страница 10

Страница 11

Страница 12

Страница 13

Страница 14

Страница 15

Страница 16

Страница 17

Страница 18

Страница 19

Страница 20

Страница 21

Страница 22

Страница 23

Страница 24

Страница 25

Страница 26

Страница 27

Страница 28

Страница 29

Страница 30

Страница 31

Страница 32

Страница 33

Страница 34

Страница 35

Страница 36
ГОСТ 30318-95
ГОСТ Р 50016-92
МЕЖГОСУДАРСТВЕННЫЙ СТАНДАРТ
СОВМЕСТИМОСТЬ ТЕХНИЧЕСКИХ СРЕДСТВ
ЭЛЕКТРОМАГНИТНАЯ
ТРЕБОВАНИЯ К ШИРИНЕ ПОЛОСЫ
РАДИОЧАСТОТ И ВНЕПОЛОСНЫМ
ИЗЛУЧЕНИЯМ РАДИОПЕРЕДАТЧИКОВ
МЕТОДЫ ИЗМЕРЕНИЙ И КОНТРОЛЯ
Москва
Стандартинформ
2005
Предисловие
1. РАЗРАБОТАН И ВНЕСЕН Техническим комитетом по стандартизации в области электромагнитной совместимости технических средств (ТК 30)
2. ПРИНЯТ Межгосударственным советом по стандартизации, метрологии и сертификации 26 апреля 1995 г. в качестве межгосударственного стандарта ГОСТ 30318-95.
Постановлением Госстандарта России от 12 марта 1996 г. № 164 ГОСТ 30318-95 введен в действие в качестве государственного стандарта Российской Федерации с момента принятия указанного постановления и признан имеющим одинаковую силу с ГОСТ Р 50016-92 на территории Российской Федерации в связи с полной аутентичностью их содержания
За принятие проголосовали:
|
Наименование государства |
Наименование национального органа по стандартизации |
|
Азербайджанская Республика |
Азгосстандарт |
|
Республика Армения |
Армгосстандарт |
|
Республика Беларусь |
Госстандарт Беларуси |
|
Республика Казахстан |
Госстандарт Республики Казахстан |
|
Киргизская Республика |
Киргизстандарт |
|
Республика Молдова |
Молдовастандарт |
|
Российская Федерация |
Госстандарт России |
|
Республика Таджикистан |
Таджикгосстандарт |
|
Туркменистан |
Главная государственная инспекция Туркменистана |
|
Республика Узбекистан |
Узгосстандарт |
|
Украина |
Госстандарт Украины |
3. ВВЕДЕН ВПЕРВЫЕ
4. Стандарт соответствует Общесоюзным НОРМАМ 19-86, Регламенту радиосвязи
5. ССЫЛОЧНЫЕ НОРМАТИВНО-ТЕХНИЧЕСКИЕ ДОКУМЕНТЫ
|
Обозначение НТД, на который дана ссылка |
Номер пункта |
|
ГОСТ 22579-86 |
2.6.2 |
|
ГОСТ 23611-79 |
Вводная часть, приложение 1 |
|
ГОСТ 24375-80 |
Вводная часть, приложение 1 |
|
ГОСТ 26886-86 |
2.3.4 |
6. ПЕРЕИЗДАНИЕ, октябрь 2005 г.
МЕЖГОСУДАРСТВЕННЫЙ СТАНДАРТ
|
Совместимость технических средств электромагнитная ТРЕБОВАНИЯ К ШИРИНЕ ПОЛОСЫ РАДИОЧАСТОТ Методы измерений и контроля Electromagnetic compatibility of technical means. |
ГОСТ 30318-95 ГОСТ Р 50016-92 |
Дата введения 1996-07-01
Настоящий стандарт распространяется на действующие, выпускаемые, устанавливаемые и вновь разрабатываемые (модернизируемые) радиопередатчики народнохозяйственного применения и устанавливает следующие основные параметры ширины полосы радиочастот и внеполосных излучений радиопередатчиков: необходимую ширину полосы частот, контрольную ширину полосы частот, ширину полосы частот внеполосного радиоизлучения на уровне Х дБ в полосе частот от 10 кГц до 37,5 ГГц и методы их измерений и контроля.
Стандарт не распространяется на переносные радиопередатчики спасательных средств, радиопередатчики, используемые для передачи сигналов тревоги и бедствия, и радиопередатчики, работающие в полосе частот ниже 30 МГц с пиковой мощностью менее 1 Вт.
Настоящий стандарт является обязательным при стандартизации и сертификации технических средств в области ЭМС.
Термины, применяемые в настоящем стандарте, и их пояснения приведены в ГОСТ 23611, ГОСТ 24375 и приложении 1, условные обозначения величин и их единицы измерения — в приложении 2.
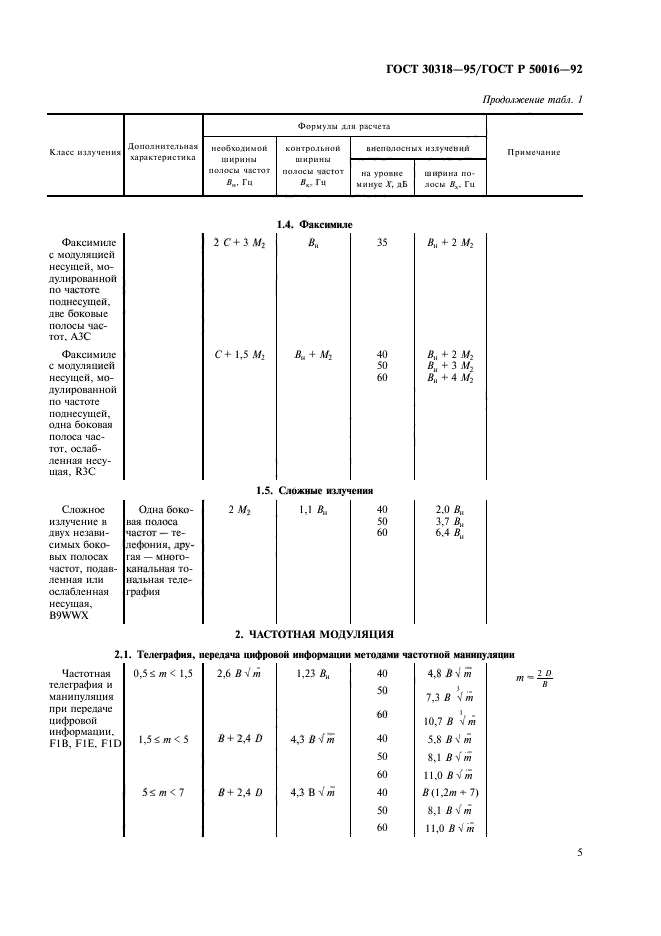
1. ТРЕБОВАНИЯ К ШИРИНЕ ПОЛОСЫ РАДИОЧАСТОТ И ВНЕПОЛОСНЫМ ИЗЛУЧЕНИЯМ РАДИОПЕРЕДАТЧИКОВ
1.1. Исходным параметром при нормировании ширины полосы радиочастот и внеполосных радиоизлучений является необходимая ширина полосы частот, которую вычисляют по формулам, приведенным в табл. 1. При расчете необходимой ширины полосы частот используют параметры модуляции, указанные в технических условиях (ТУ) на данный тип радиопередатчика.
1.2. Ширина полосы радиочастот нормируется на уровне минус 30 дБ относительно заданного (исходного) уровня 0 дБ. Полоса, соответствующая этому уровню, принята за контрольную ширину полосы частот, нормы на которую вычисляют по формулам, приведенным в табл. 1.
1.3. Внеполосные излучения нормируются по значениям полосы частот радиоизлучения на уровнях минус Х дБ относительно заданного (исходного) уровня 0 дБ. Уровни Х дБ указаны в табл. 1, а нормированные значения ширины полосы на этих уровнях вычисляют по формулам, приведенным в табл. 1.
Таблица 1
Формулы для расчета норм на ширину полосы радиочастот и внеполосные излучения
|
Класс излучения |
Дополнительная характеристика |
Формулы для расчета |
Примечание |
|||
|
необходимой ширины полосы частот Bн, Гц |
контрольной ширины полосы частот Bк, Гц |
внеполосных излучений |
||||
|
на уровне минус X, дБ |
ширина полосы Bx, Гц |
|||||
|
1. АМПЛИТУДНАЯ МОДУЛЯЦИЯ |
||||||
|
1.1. Сигнал с информацией в квантованной или цифровой форме |
||||||
|
Телеграфия, незатухающие колебания A1AAN, A1BBN |
Радиопередатчики фиксированной службы Радиопередатчики сухопутной и морской подвижных служб мощностью более 100 Вт |
KB, где К = 5 — для линий, подверженных замираниям; К = 3 — для линий без замираний |
ВH |
40 50 60 |
1,3Bн 1,6Bн 2,0Bн |
Значение коэффициента K устанавливают для различных типов радиопередатчиков в ТУ в зависимости от назначения радиопередатчика и диапазона используемых частот |
|
Радиопередатчики сухопутной и морской подвижных служб мощностью 100 Вт и менее |
5B |
1,4Bн |
40 |
2,6Bн |
||
|
Радиопередатчики воздушных судов воздушной подвижной службы |
5В |
1,4Bн |
40 50 60 |
2,6Bн 4,6Bн 8,2Bн |
1. Нормы распространяются на скорости манипуляции В £ 20 Бод. В случае B > 20 Бод вводят ограничения, согласованные с заказчиком. 2. Контроль осуществляют до уровня минус 40 дБ |
|
|
Тональная телеграфия, A2AAN, A2BBN |
— |
2М2 + 5В |
2М2 + 6,8В |
35 |
2M2 + 10,0В |
|
|
Тональная телеграфия, одна боковая полоса частот, полная несущая, H2BBN |
— |
М2 + 5В |
Bн |
40 50 60 |
1,25Bн 1,55Bн 2,0Bн |
За исключением радиопередатчиков воздушной и морской подвижных служб, требования к которым приведены в табл. 2 и 3 соответственно |
|
H2BFN |
Сигнал избирательного вызова с использованием последовательного одночастотного кодирования |
М2 |
Bн |
40 50 60 |
1,25Bн 1,55Bн 2,0Bн |
|
|
Тональная телеграфия, одна боковая полоса частот, несущая, J2BBN |
Вторичное уплотнение канала, образуемого передатчиком J3E, тональными посылками на поднесущей 1 или 1,6 кГц |
5В |
Bн |
40 50 60 |
1,3Bн 1,6Bн 2,0Bн |
|
|
5В |
1,36Вн |
40 |
2,6Bн |
Распространяется на радиопередатчики сухопутной подвижной службы мощностью 100 Вт и менее |
||
|
Многоканальная тональная телеграфия, одна боковая полоса частот, ослабленная несущая, R7BCF |
М2 |
1,2Вн |
40 50 60 |
2,1Bн 4,0Bн 6,9Bн |
||
|
Многоканальная тональная телеграфия, одна боковая полоса частот, подавленная несущая, J7BCF |
М2 — M1 |
1,2Вн |
40 50 60 |
2,1Bн 4,0Bн 6,9Bн |
||
|
1.2. Телефония |
||||||
|
Телефония, две боковые полосы частот, одноканальная, A3EJN |
Радиопередатчики фиксированной службы без предкоррекции АЧХ |
2М2 |
1,9Вн |
40 50 60 |
3,3Bн 6,0Bн 10,5Bн |
|
|
Радиопередатчики фиксированной службы с предкоррекцией АЧХ и передатчики подвижной службы |
2М2 |
2,5Вн |
40 50 60 |
4,5Bн 7,8Bн 13,8Bн |
||
|
Радиопередатчики воздушных судов воздушной подвижной службы |
2М2 |
2,5Вн |
40 50 60 |
4,5Bн 8,0Bн 14,0Bн |
||
|
Телефония, одна боковая полоса частот, полная несущая, H3EJN, ослабленная несущая, R3EJN |
Радиопередатчики фиксированной службы |
М2 |
1,15Вн |
35 40 50 60 |
1,25Bн 1,6Bн 2,9Bн 5,4Bн |
|
|
Радиопередатчики сухопутной подвижной службы мощностью более 100 Вт |
М2 |
1,2Bн |
40 50 60 |
2,1Bн 4,0Bн 6,9Bн |
||
|
Радиопередатчики сухопутной подвижной службы мощностью 100 Вт и менее |
М2 |
1,8Bн |
40 50 60 |
3,4Bн 6,0Bн 11,0Bн |
||
|
Телефония, одна боковая полоса частот, подавленная несущая, J3EJN |
Радиопередатчики фиксированной службы |
М2 — М1 |
1,15Bн |
35 40 50 60 |
1,25Bн 1,6Bн 2,9Bн 5,4Bн |
|
|
Радиопередатчики сухопутной подвижной службы мощностью более 100 Вт |
М2 — М1 |
1,2Bн |
40 50 60 |
2,2Bн 4,0Bн 6,9Bн |
||
|
Радиопередатчики сухопутной подвижной службы мощностью 100 Вт и менее |
М2 — М1 |
1,8Bн |
40 50 60 |
3,4Bн 6,0Bн 11,0Bн |
||
|
Телефония, передача на независимых полосах частот, ослабленная или подавленная несущая, B8EJN |
Телефония на двух независимых полосах частот |
2М2 |
1,05Bн |
35 40 50 60 |
1,15Bн 1,5Bн 2,7Bн 4,9Bн |
|
|
Телефония на четырех независимых полосах частот |
4М2 |
1,05Bн |
35 40 50 60 |
1,15Bн 1,5Bн 2,7Bн 4,9Bн |
||
|
1.3. Звуковое радиовещание |
||||||
|
Радиовещание, две боковые полосы частот, A3EGN |
2М2 |
1,2Bн |
40 45 50 60 |
1,35Bн 1,40Bн 1,9Bн 3,3Bн |
||
|
Радиовещание, одна боковая полоса частот, несущая, R3EGN |
М2 |
1,15Bн |
35 40 50 60 |
1,2Bн 1,4Bн 2,4Bн 4,4Bн |
||
|
1.4. Факсимиле |
||||||
|
Факсимиле с модуляцией несущей, модулированной по частоте поднесущей, две боковые полосы частот, А3С |
2С + 3М2 |
Bн |
35 |
Bн + 2М2 |
||
|
Факсимиле с модуляцией несущей, модулированной по частоте поднесущей, одна боковая полоса частот, ослабленная несущая, R3C |
С + 1,5 М2 |
Bн + М2 |
40 50 60 |
Bн + 2М2 Bн + 3М2 Bн + 4M2 |
||
|
1.5. Сложные излучения |
||||||
|
Сложное излучение в двух независимых боковых полосах частот, подавленная или ослабленная несущая, B9WWX |
Одна боковая полоса частот — телефония, другая — многоканальная тональная телеграфия |
2М2 |
1,1Bн |
40 50 60 |
2,0Bн 3,7Bн 6,4Bн |
|
|
2. ЧАСТОТНАЯ МОДУЛЯЦИЯ 2.1. Телеграфия, передача цифровой информации методами частотной манипуляции |
||||||
|
Частотная телеграфия и манипуляция при передаче цифровой информации, FIB, FIE, F1D |
0,5 £ m < 1,5 |
|
1,23Bн |
40 50 60 |
|
2D |
|
1,5 £ т < 5 |
B + 2,4D |
|
40 50 60 |
|
|
|
|
5 £ т < 7 |
B + 2,4D |
|
40 50 60 |
В(1,2т + 7)
|
||
|
7 £ т < 12 |
B + 2,4D |
В · (т + 7) |
40 50 60 |
В · (1,2т + 7)
|
||
|
12 £ m < 16 |
B + 2,4D |
В · (т + 7) |
40 50 60 |
В · (1,2т + 7) В · (1,2т + 15)
|
||
|
т > 16 |
B + 2,4D |
В · (т + 7) |
40 50 60 |
В · (1,2т + 7) В · (1,2т + 15) В · (1,3т + 23) |
||
|
Четырехчастотная двухканальная телеграфия, F7BDX |
Радиопередатчики фиксированной и подвижной служб |
1. Для синхронизированных каналов B + 2,2D |
Bн |
40 50 60 |
В · (4т + 13) В · (4,6т + 26) В · (5,1т + 47) |
|
|
Радиопередатчики воздушных судов воздушной подвижной службы 1,5 £ m < 10 |
2. Для несинхронизированных каналов 4В + + 2,2D, где В — наибольшая скорость телеграфирования в каналах |
Bн |
40 50 60 |
|
||
|
Частотная манипуляция поднесущих частот, F1BXF |
необходимая ширина полосы частот для класса излучения F1BXF |
Bн |
50 60 |
1,6Bн 3,0Bн |
||
|
Частотноманипулированная двумя и более частотами, несущая, F7D, F7E |
2В |
2,5Bн |
60 |
7,0Bн |
||
|
Частотная манипуляция двумя и более частотами, F8B, F9B |
2В |
2,5Bн |
60 |
7,0Bн |
||
|
Минимальная частотная манипуляция с фильтрацией сигнала в фильтре с Гауссовой формой АЧХ, F9E, F9D |
При нормированной полосе Гауссового формирующего фильтра (Bн Т) |
1,18* |
1,18Bн* |
40 50 60 |
1,54Bн* 1,84Bн 2,05Bн |
При условии, когда
|
|
1,0 |
1,14В |
|||||
|
0,7 |
1,1В |
|||||
|
0,5 |
1,07В |
|||||
|
0,3 |
0,93В |
|||||
|
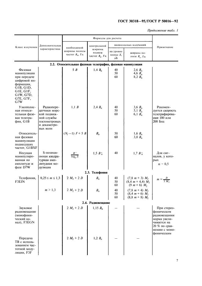
2.2. Относительная фазовая телеграфия, фазовая манипуляция |
||||||
|
Фазовая манипуляция при передаче цифровой информации, G1B, G1D, G1E, G1F, G1W, G7D, G7E, G7F, G7W |
5В |
1,4Bн |
40 50 60 |
2,6Bн 4,6Bн 8,2Bн |
||
|
Узкополосная относительная фазовая телеграфия, G1B |
Радиопередатчики морской подвижной службы гектометровых и декаметровых волн |
1,1В |
2,4Bн |
40 50 60 |
3,6Bн 5,1Bн 6,1Bн |
Рекомендуется скорость телеграфирования 100 или 200 Бод |
|
Относительная фазовая манипуляция поднесущих частот, G1BXF |
(Nf — 1)· F + 5В |
Bн |
50 60 |
1,6Bн 3,0Bн |
||
|
Несущая манипулированная по амплитуде и фазе D7W |
S-позиционная квадратурная амплитудная модуляция |
|
1,5Bн* |
40 |
1,7Bн* |
Для сигналов, у которых a ~ 0,5 |
|
2.3. Телефония |
||||||
|
Телефония, F3EJN |
0,25 £ m < 1,3 |
2M2 + 2D |
Bн |
40 50 60 |
(7,8т + 3) · М2 (8,4т + 4,4) · М2 (9т + 6) · М2 |
|
|
т > 1,3 |
2M2 + 2D |
Bн |
40 50 60 |
(7,8т + 4) · М2 (8,4т + 6) · М2 (8,8т + |
||
|
2.4. Радиовещание |
||||||
|
Звуковое радиовещание (монофонический канал), F3EGN |
2M2 + 2D |
1,15Bн |
— |
— |
При стереофоническом радиовещании норма увеличивается на 20 % по сравнению с монофоническим |
|
|
Передача ТВ с использованием частотной модуляции, F3F |
2M2 + 2D |
1,2Bн |
— |
— |
||
|
2.5. Факсимиле |
||||||
|
Факсимиле с частотной модуляцией несущей частоты фотосигналом в импульсной форме, F1C, F3C |
Передача черно-белого штрихового (текстового) изображения |
2М2 + 2,2D
|
1,2Bн |
40 50 60 |
1,6Bн 2,1Bн 2,7Bн |
|
|
Передача полутонового и цветного изображения |
2М2 + 2,2D |
1,2Bн |
40 |
|
||
|
50 |
|
|||||
|
60 |
|
|||||
|
2.6. Сложные излучения |
||||||
|
Частотно-модулированное (ЧМ) колебание радиорелейных линий с частотным разделением каналов (ЧРК), F8EJF |
С применением составных сигналов (аппаратура «Горизонт-М», ДТР-12, ТР-120) |
(n — 1)Fкор + 2М2 + 1,8D; для «Горизонт-М» n = 3; для ДТР-12, ТР-120 n = 3 (один передатчик), n = 6 (два передатчика); контроль осуществляют при работе одного передатчика (D определяют по табл. 4) |
(n + 1)Fкор + 1,54D |
— |
— |
При работе радиопередатчика в линейном режиме и установке фильтров в тракте |
|
(n + 1)Fкор + 1,06D |
— |
— |
При работе радиопередатчика в режиме насыщения |
|||
|
ЧМ колебание радиорелейной системы прямой видимости, модулированное сигналом системы передачи с ЧРК, F8EJF |
60 £ Nc £ 6000 |
2М2 + 2D (D определяют по табл. 4) |
0,3Bн |
— |
— |
Измерения и контроль Bк осуществляют на этапе госиспытаний |
|
Nc > 720 |
В системах с пилот-сигналом взамен М2 подставляют fps |
0,7Bн |
— |
— |
То же |
|
|
ЧМ колебание радиорелейной системы прямой видимости, модулированное сигналом ТВ и поднесущими звука, F8WWN |
2М2 + DразмТВ звука. В системах с пилот-сигналом взамен М2 подставляют fps |
0,7Bн |
-»- |
|||
|
3. ИМПУЛЬСНАЯ МОДУЛЯЦИЯ 3.1. Радиопередатчики средств радиоопределения |
||||||
|
Немодулированная несущая PONAN |
Выходной каскад радиопередатчика — магнетрон |
|
для t £ 0,5; 29,1a · ВH для t > 0,5 |
40 |
для t < 0,32; для 0,32 £ t < 1,6; 93,3 a · ВH для t ³ 1,6 |
ВH— в мегагерцах (МГц); t — в микросекундах (мкс) |
|
50 |
для t < 1; для 1 £ t < 5; 295a · ВH для t > 5 |
|||||
|
60 |
|
|||||
|
Выходной каскад радиопередатчика на ЭВП с сеточным управлением |
|
24,4a · ВH для a < 0,11; для 0,11 £ α £ 0,14 для a > 0,14 |
40 |
для a £ 0,045; для a > 0,045 |
||
|
50 |
|
|||||
|
60 |
|
|||||
|
Вновь разрабатываемые передатчики |
для a > 0,008;
для a £ 0,008 |
— |
40 |
ВH* |
||
|
50 |
|
|||||
|
60 |
10,0ВH* |
|||||
|
Импульсная передача с амплитудной модуляцией несущей, К1В |
Выходной каскад радиопередатчика на ЭВП с сеточным управлением |
|
4ВН |
40 50 60 |
5,5ВН 8,0ВН 15,0ВН |
Мmax — в мегагерцах (МГц); ВН (МГц); t — в микросекундах (мкс); |
|
Частотно-модулированная импульсная несущая, Q1B |
Выходной каскад радиопередатчика на клистроне или ЭВП с сеточным управлением |
2D |
|
40 |
для D3t < 10;
для D3t ³ 10 |
ВН (МГц); D (МГц); t (мкс) |
|
50 |
для D3t < 100; для D3t ³ 100 |
|||||
|
60 |
для D3t < 1000; для D3t ³ 1000 |
|||||
|
Вновь ра | ||||||


· М2





