Канаты из полимерных материалов и комбинированные. Технические условия
Заменяет

Страница 1

Страница 2

Страница 3

Страница 4

Страница 5

Страница 6

Страница 7

Страница 8

Страница 9

Страница 10

Страница 11

Страница 12

Страница 13

Страница 14

Страница 15

Страница 16

Страница 17

Страница 18

Страница 19

Страница 20

Страница 21

Страница 22

Страница 23

Страница 24

Страница 25

Страница 26

Страница 27

Страница 28

Страница 29

Страница 30

Страница 31

Страница 32

Страница 33

Страница 34

Страница 35

Страница 36

Страница 37

Страница 38

Страница 39

Страница 40

Страница 41

Страница 42
ГОСТ 30055-93
МЕЖГОСУДАРСТВЕННЫЙ СТАНДАРТ
КАНАТЫ ИЗ ПОЛИМЕРНЫХ МАТЕРИАЛОВ
И КОМБИНИРОВАННЫЕ
ТЕХНИЧЕСКИЕ УСЛОВИЯ
МЕЖГОСУДАРСТВЕННЫЙ СОВЕТ
ПО СТАНДАРТИЗАЦИИ, МЕТРОЛОГИИ И СЕРТИФИКАЦИИ
Минск
Предисловие
1 РАЗРАБОТАН Центральным научно-исследовательским институтом комплексной автоматизации легкой промышленности
ВНЕСЕН Техническим секретариатом Межгосударственного совета по стандартизации, метрологии и сертификации
2 ПРИНЯТ Межгосударственным советом по стандартизации, метрологии и сертификации 20 октября 1993 г.
За принятие стандарта проголосовали:
|
Наименование государства |
Наименование национального органа по стандартизации |
|
Республика Беларусь |
Белстандарт |
|
Республика Молдова |
Молдовастандарт |
|
Республика Казахстан |
Госстандарт Республики Казахстан |
|
Российская Федерация |
Госстандарт России |
|
Республика Азербайджан |
Азгосстандарт |
|
Республика Туркменистан |
Главгосинспекция Туркменистана |
|
Украина |
Госстандарт Украины |
3 ВЗАМЕН ГОСТ 483-75, ГОСТ 1088-71, ГОСТ 10-293-77 и ГОСТ 11914-86, ОСТ 17-507-75, ТУ 17-003-76
4 ПЕРЕИЗДАНИЕ. Август 2003 г.
СОДЕРЖАНИЕ
|
1 Область применения. 1 2 Нормативные ссылки. 2 3 Определения. 2 4 Классификация, основные параметры и размеры.. 2 5 Характеристики. 4 6 Правила приемки. 13 7 Методы испытаний. 14 8 Транспортирование и хранение. 15 9 Указания по эксплуатации. 15 10 Гарантии изготовителя. 15 Приложение А. Принцип классификации канатов по группам.. 15 Приложение Б. Значения КИП для канатов тросовой свивки. 16 Приложение В. Значения КИП для канатов кабельтовой свивки. 18 |
ГОСТ 30055-93
МЕЖГОСУДАРСТВЕННЫЙ СТАНДАРТ
|
КАНАТЫ ИЗ ПОЛИМЕРНЫХ МАТЕРИАЛОВ И КОМБИНИРОВАННЫЕ Технические условия Polymeric and combined ropes. |
Дата введения 1995-01-01
1 Область применения
Настоящий стандарт распространяется на канаты из однородных полимерных материалов, а также комбинированные канаты из разных полимерных материалов и комбинированные канаты с использованием стальной проволоки и полимерных материалов, предназначенные для различных отраслей народного хозяйства.
Обязательные требования к качеству продукции, обеспечивающие ее безопасность для жизни и здоровья населения, изложены в 5.8, 5.9, 5.11, 5.13 — 5.17, 5.19.
2 Нормативные ссылки
В настоящем стандарте использованы ссылки на следующие стандарты и нормативные документы:
ГОСТ 7372-79 Проволока стальная канатная. Технические условия
ГОСТ 9993-74 Пенька короткая. Технические условия
ГОСТ 10379-76 Пенька трепаная. Технические условия
ГОСТ 10681-75 Материалы текстильные. Климатические условия для кондиционирования и испытания проб и методы их определения
ГОСТ 15037-69 Смазка для пропитки органических сердечников стальных канатов. Технические условия
ГОСТ 21903-76 Материалы лакокрасочные. Методы определения условной светостойкости
ГОСТ 24662-94 Нить полиэфирная техническая. Технические условия
ГОСТ 25552-82 Изделия крученые и плетеные. Методы испытания
ГОСТ 27628-88 Изделия крученые и плетеные. Упаковка, маркировка, транспортирование и хранение
ОСТ 17-96-86 Пряжа хлопчатобумажная и смешанная суровая кардная и гребенная одиночная для ткацкого производства. Технические условия
ОСТ 17-155-87 Пряжа хлопчатобумажная кардная одиночная кольцевого способа прядения и крученая для технических целей. Технические условия
ОСТ 17-776-78 Пенька чесаная
ТУ 6-06-С22-89 Нить полиэфирная для технических изделий
ТУ 6-12-5763340-111-78 Нить полипропиленовая фибриллированная
ТУ 17-05-022-91 Сизаль импортный
OCT 17-362-85 Пряжа хлопчатобумажная и смешанная суровая кардная одиночная с пневмомеханических прядильных машин для ткацкого производства
ТУ 6-13-2-99 Нить полиамидная для рыбной промышленности
ТУ 6-13-105-96 Нить полипропиленовая пленочная фибриллированная техническая
ТУ 2272-016-05766624-94 Нить полипропиленовая пленочная фибриллированная техническая
(Измененная редакция, Изм. № 1).
3 Определения
3.1 полимеры: Соединения с высокой молекулярной массой, молекулы которых состоят из большого числа повторяющихся группировок. По происхождению полимеры делятся на природные и синтетические.
Основные типы полимерных материалов — пластмассы, резины, волокна текстильные.
3.2 канаты тросовой свивки: Трехпрядные, четырехпрядные и шестипрядные крученые канаты, свитые в направлении Z из прядей, скрученных вместе с направлением кручения S.
3.3 канаты кабельтовой свивки: Крученые канаты, в которых в качестве прядей используют канаты тросовой свивки. Канаты кабельтовой свивки имеют направление кручения S.
3.4 канаты плетеные восьмипрядные: Канаты, образованные из четырех прядей с направлением кручения Z и четырех прядей с направлением кручения S, переплетенных попарно.
3.5 канаты комбинированные: Канаты из разных материалов. Комбинированные канаты с использованием стальной проволоки:
— «пенька-сталь» — вырабатываются трех-, четырех- и шестипрядными;
— «сизаль-сталь» — и «полипропилен-сталь» — вырабатываются четырех- и шестипрядными.
Комбинированные канаты с использованием сизалевого волокна и химических нитей: «сизаль-полипропилен» и «сизаль-полиамид».
Комбинированные плетеные восьмипрядные канаты из химических нитей: «полиамид-полипропилен».
4 Классификация, основные параметры и размеры
4.1 Канаты в зависимости от вида применяемого сырья и ориентировочных размеров (диаметра и длины окружности) подразделяют на типы, которые приведены в таблице 1.
Таблица 1 — Типы канатов
|
Вид сырья и отделки канатов |
Вид конструкции |
Диаметр (длина окружности) ориентировочный, мм |
|
Пеньковые |
Тросовой свивки |
10 — 112 (30 — 350) |
|
Пеньковые пропитанные |
То же |
10 — 112 (30 — 350) |
|
Пеньковые |
Кабельтовой свивки |
25 — 65 (-) |
|
Сизалевые |
Тросовой свивки |
6 — 96 (20 — 300) |
|
Хлопчатобумажные |
То же |
29 — 64 (90 — 200) |
|
Полиамидные |
» |
8 — 96 (25 — 300) |
|
Полиамидные термофиксированные |
» |
8 — 64 (25 — 200) |
|
Полипропиленовые |
» |
8 — 64 (25 — 200) |
|
Полиэфирные |
» |
8 — 29 (25 — 90) |
|
Сизаль-полиамид |
» |
13 — 40 (40 — 125) |
|
Сизаль-полипропилен |
» |
13 — 40 (40 — 125) |
|
Пенька-сталь |
» |
8 — 32 (-) |
|
Сизаль-сталь |
» |
14 — 27 (-) |
|
Полипропилен-сталь |
» |
14 — 29 (-) |
|
Полиамидные |
Плетеные восьмипрядные |
48 — 104 (150 — 325) |
|
Полипропиленовые |
То же |
56 — 104 (100 — 325) |
|
Полиамид-полипропилен |
» |
56 — 72 (75 — 225) |
4.2 Канаты тросовой, кабельтовой свивки и плетеные в зависимости от разрывной нагрузки подразделяют на группы А, Б, В, Г; канаты комбинированные — на группы А, Б, В.
Принцип классификации канатов на группы приведен в приложении А.
4.3 Для канатов устанавливают условные обозначения в зависимости от вида сырья, конструкции, отделки:
— по виду исходного сырья:
П — пеньковый,
С — сизалевый,
ПА — полиамидный,
ПЭ — полиэфирный;
ПП — полипропиленовый,
X — хлопчатобумажный;
П-Ст — пенька-сталь,
С-Ст — сизаль-сталь,
СПА — сизаль-полиамид,
СПП — сизаль-полипропилен,
ПП-Ст — полипропилен-сталь,
ПА-ПП — полиамид-полипропилен;
— по виду конструкции:
Т — тросовой свивки,
К — кабельтовой свивки,
Пл8 — плетеный восьмипрядный;
— по виду отделки:
Пр — пропитанный,
Тер — термофиксированный.
4.3.1. В условном обозначении канатов буквы и цифры означают:
— первые буквы — тип каната, который согласно таблице 1 включает в себя наименование каната по виду исходного сырья, конструкции и отделки;
— цифры — диаметр (длина окружности) каната, диаметр проволоки (для комбинированных канатов с использованием стальной проволоки) и линейная плотность каната;
— группу каната;
— обозначение настоящего стандарта.
4.3.2 Примеры условного обозначения канатов приведены в таблице 2.
Таблица 2
|
Наименование каната |
Условное обозначение каната |
|
Пеньковый тросовой свивки диаметром 40 мм окружностью 125 мм линейной плотностью 1220 ктекс группы А |
ПТ 40 (125) мм 1220 ктекс А ГОСТ 30055 |
|
Пеньковый кабельтовой свивки диаметром 40 мм линейной плотностью 1215 ктекс группы В |
ПК 40 мм 1215 ктекс В ГОСТ 30055 |
|
Пеньковый пропитанный тросовой свивки диаметром 40 мм окружностью 125 мм линейной плотностью 1430 ктекс группы А |
ПТпр 40 (125) мм 1430 ктекс А ГОСТ 30055 |
|
Сизалевый тросовой свивки диаметром 40 мм окружностью 125 мм линейной плотностью 1040 ктекс группы А |
СТ 40 (125) мм 1040 ктекс А ГОСТ 30055 |
|
Хлопчатобумажный тросовой свивки диаметром 40 мм окружностью 125 мм линейной плотностью 1070 ктекс группы В |
XT 40 (125) мм 1070 ктекс В ГОСТ 30055 |
|
Полиамидный тросовой свивки диаметром 40 мм окружностью 125 мм линейной плотностью 990 ктекс группы А |
ПАТ 40 (125) мм 990 ктекс А ГОСТ 30055 |
|
Полиамидный термофиксированный тросовой свивки диаметром 40 мм окружностью 125 мм линейной плотностью 990 ктекс группы А |
ПАТТер 40 (125) мм 990 ктекс А ГОСТ 30055 |
|
Полиамидный плетеный восьмипрядный диаметром 48 мм окружностью 150 мм линейной плотностью 1420 ктекс, группы А |
ПА Пл8 48 (150) мм 1420 ктекс А ГОСТ 30055 |
|
Полипропиленовый тросовой свивки диаметром 16 мм окружностью 50 мм линейной плотностью 110 ктекс группы А ГОСТ |
ППТ 16 (50) мм 110 ктекс А ГОСТ 30055 |
|
Полипропиленовый плетеный восьмипрядный диаметром 104 мм окружностью 325 мм линейной плотностью 4900 ктекс группы А |
ПП Пл8 104 (325) мм 4900 ктекс А ГОСТ 30055 |
|
Полиэфирный тросовой свивки диаметром 16 мм окружностью 50 мм линейной плотностью 195 ктекс, группы А ГОСТ |
ПЭТ 16 (50) мм 195 ктекс А ГОСТ 30055 |
|
Пенька-сталь тросовой свивки диаметром 22 мм линейной плотностью 590 ктекс из проволоки диаметром 0,8 мм группы А |
П-Ст Т 22 мм 0,8 мм 590 ктекс А ГОСТ 30055 |
|
Сизаль-сталь тросовой свивки диаметром 17 мм из проволоки диаметром 0,6 мм линейной плотностью 288 ктекс групы А |
С-Ст Т 17 мм 0,6 мм 288 ктекс А ГОСТ 30055 |
|
Полипропилен-сталь тросовой свивки диаметром 29 мм из проволоки диаметром 0,9 мм линейной плотностью 773 ктекс группы А |
ПП-Ст 29 мм 0,9 мм 773 ктекс А ГОСТ 30055 |
|
Сизаль-полиамид тросовой свивки диаметром 40 мм окружностью 125 мм линейной плотностью 1053 ктекс группы А |
СПА 40 (125) мм 1053 ктекс А ГОСТ 30055 |
|
Сизаль-полипропилен тросовой свивки диаметром 40 мм окружностью 125 мм, линейной плотностью 1053 ктекс группы А |
СПП 40 (125) мм 1053 ктекс А ГОСТ 30055 |
|
Примечание — В условном обозначении для непропитанных и нетермофиксированных канатов вид отделки не указывают. |
|
5 Характеристики
5.1 Сырье для изготовления канатов должно отвечать требованиям, указанным в таблице 3.
Таблица 3
|
Вид сырья |
Нормативно-техническая документация |
|
Волокно пеньковое: |
|
|
трепаное длинное |
ГОСТ 10379 |
|
чесаное длинное |
ОСТ 17-776 |
|
короткое |
ГОСТ 9993 |
|
Волокно сизалевое длинное |
ТУ 17-05-022 |
|
Хлопчатобумажная пряжа |
ОСТ 17-96, ОСТ 17-155, ОСТ 17-362 |
|
Нити полиамидные технические (комплексные) термостабилизированные и нетермостабилизированные |
ТУ 6-13-2 |
|
Нити полипропиленовые пленочные фибриллированные |
ТУ 6-12-57 63340-111, ТУ 6-13-105, ТУ 2272-016-05766624 |
|
Нити полиэфирные технические (комплексные) |
ГОСТ 24662, ТУ 6-06-С22 |
|
Проволока стальная канатная |
ГОСТ 7372 |
|
Примечание — Допускается использование нитей, изготовленных по другой нормативно-технической документации, при условии соблюдения остальных требований настоящего стандарта. |
|
(Измененная редакция, Изм. № 1).
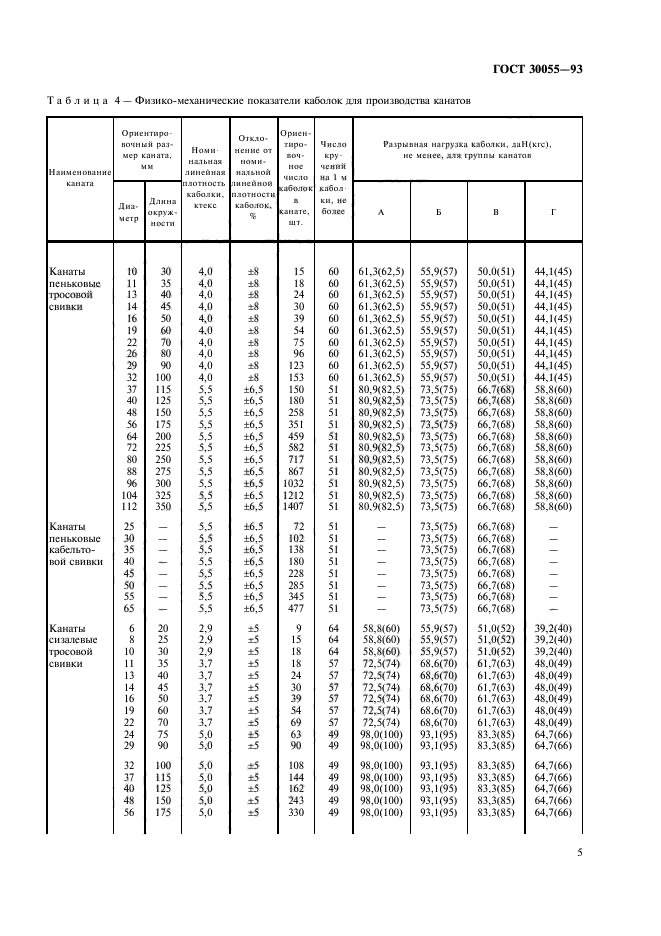
5.2. Физико-механические показатели каболок для производства крученых и плетеных канатов должны соответствовать требованиям таблицы 4; физико-механические показатели каболок для производства комбинированных канатов — таблицам 5 и 6.
Таблица 4 — Физико-механические показатели каболок для производства канатов
|
Наименование каната |
Ориентировочный размер каната, мм |
Номинальная линейная плотность каболки, ктекс |
Отклонение от номинальной линейной плотности каболок, % |
Ориентировочное число каболок в канате, шт. |
Число кручений на 1 м каболки, не более |
Разрывная нагрузка каболки, даН (кгс), не менее, для группы канатов |
||||
|
Диаметр |
Длина окружности |
А |
Б |
В |
Г |
|||||
|
Канаты пеньковые тросовой свивки |
10 |
30 |
4,0 |
± 8 |
15 |
60 |
61,3 (62,5) |
55,9 (57) |
50,0 (51) |
44,1 (45) |
|
11 |
35 |
4,0 |
± 8 |
18 |
60 |
61,3 (62,5) |
55,9 (57) |
50,0 (51) |
44,1 (45) |
|
|
13 |
40 |
4,0 |
± 8 |
24 |
60 |
61,3 (62,5) |
55,9 (57) |
50,0 (51) |
44,1 (45) |
|
|
14 |
45 |
4,0 |
± 8 |
30 |
60 |
61,3 (62,5) |
55,9 (57) |
50,0 (51) |
44,1 (45) |
|
|
16 |
50 |
4,0 |
± 8 |
39 |
60 |
61,3 (62,5) |
55,9 (57) |
50,0 (51) |
44,1 (45) |
|
|
19 |
60 |
4,0 |
± 8 |
54 |
60 |
61,3 (62,5) |
55,9 (57) |
50,0 (51) |
44,1 (45) |
|
|
22 |
70 |
4,0 |
± 8 |
75 |
60 |
61,3 (62,5) |
55,9 (57) |
50,0 (51) |
44,1 (45) |
|
|
26 |
80 |
4,0 |
± 8 |
96 |
60 |
61,3 (62,5) |
55,9 (57) |
50,0 (51) |
44,1 (45) |
|
|
29 |
90 |
4,0 |
± 8 |
123 |
60 |
61,3 (62,5) |
55,9 (57) |
50,0 (51) |
44,1 (45) |
|
|
32 |
100 |
4,0 |
± 8 |
153 |
60 |
61,3 (62,5) |
55,9 (57) |
50,0 (51) |
44,1 (45) |
|
|
37 |
115 |
5,5 |
± 6,5 |
150 |
51 |
80,9 (82,5) |
73,5 (75) |
66,7 (68) |
58,8 (60) |
|
|
40 |
125 |
5,5 |
± 6,5 |
180 |
51 |
80,9 (82,5) |
73,5 (75) |
66,7 (68) |
58,8 (60) |
|
|
48 |
150 |
5,5 |
± 6,5 |
258 |
51 |
80,9 (82,5) |
73,5 (75) |
66,7 (68) |
58,8 (60) |
|
|
56 |
175 |
5,5 |
± 6,5 |
351 |
51 |
80,9 (82,5) |
73,5 (75) |
66,7 (68) |
58,8 (60) |
|
|
64 |
200 |
5,5 |
± 6,5 |
459 |
51 |
80,9 (82,5) |
73,5 (75) |
66,7 (68) |
58,8 (60) |
|
|
72 |
225 |
5,5 |
± 6,5 |
582 |
51 |
80,9 (82,5) |
73,5 (75) |
66,7 (68) |
58,8 (60) |
|
|
80 |
250 |
5,5 |
± 6,5 |
717 |
51 |
80,9 (82,5) |
73,5 (75) |
66,7 (68) |
58,8 (60) |
|
|
88 |
275 |
5,5 |
± 6,5 |
867 |
51 |
80,9 (82,5) |
73,5 (75) |
66,7 (68) |
58,8 (60) |
|
|
96 |
300 |
5,5 |
± 6,5 |
1032 |
51 |
80,9 (82,5) |
73,5 (75) |
66,7 (68) |
58,8 (60) |
|
|
104 |
325 |
5,5 |
± 6,5 |
1212 |
51 |
80,9 (82,5) |
73,5 (75) |
66,7 (68) |
58,8 (60) |
|
|
112 |
350 |
5,5 |
± 6,5 |
1407 |
51 |
80,9 (82,5) |
73,5 (75) |
66,7 (68) |
58,8 (60) |
|
|
Канаты пеньковые кабельтовой свивки |
25 |
— |
5,5 |
± 6,5 |
72 |
51 |
— |
73,5 (75) |
66,7 (68) |
— |
|
30 |
— |
5,5 |
± 6,5 |
102 |
51 |
— |
73,5 (75) |
66,7 (68) |
— |
|
|
35 |
— |
5,5 |
± 6,5 |
138 |
51 |
— |
73,5 (75) |
66,7 (68) |
— |
|
|
40 |
— |
5,5 |
± 6,5 |
180 |
51 |
— |
73,5 (75) |
66,7 (68) |
— |
|
|
45 |
— |
5,5 |
± 6,5 |
228 |
51 |
— |
73,5 (75) |
66,7 (68) |
— |
|
|
50 |
— |
5,5 |
± 6,5 |
285 |
51 |
— |
73,5 (75) |
66,7 (68) |
— |
|
|
55 |
— |
5,5 |
± 6,5 |
345 |
51 |
— |
73,5 (75) |
66,7 (68) |
— |
|
|
65 |
— |
5,5 |
± 6,5 |
477 |
51 |
— |
73,5 (75) |
66,7 (68) |
— |
|
|
Канаты сизалевые тросовой свивки |
6 |
20 |
2,9 |
± 5 |
9 |
64 |
58,8 (60) |
55,9 (57) |
51,0 (52) |
39,2 (40) |
|
8 |
25 |
2,9 |
± 5 |
15 |
64 |
58,8 (60) |
55,9 (57) |
51,0 (52) |
39,2 (40) |
|
|
10 |
30 |
2,9 |
± 5 |
18 |
64 |
58,8 (60) |
55,9 (57) |
51,0 (52) |
39,2 (40) |
|
|
11 |
35 |
3,7 |
± 5 |
18 |
57 |
72,5 (74) |
68,6 (70) |
61,7 (63) |
48,0 (49) |
|
|
13 |
40 |
3,7 |
± 5 |
24 |
57 |
72,5 (74) |
68,6 (70) |
61,7 (63) |
48,0 (49) |
|
|
14 |
45 |
3,7 |
± 5 |
30 |
57 |
72,5 (74) |
68,6 (70) |
61,7 (63) |
48,0 (49) |
|
|
16 |
50 |
3,7 |
± 5 |
39 |
57 |
72,5 (74) |
68,6 (70) |
61,7 (63) |
48,0 (49) |
|
|
19 |
60 |
3,7 |
± 5 |
54 |
57 |
72,5 (74) |
68,6 (70) |
61,7 (63) |
48,0 (49) |
|
|
22 |
70 |
3,7 |
± 5 |
69 |
57 |
72,5 (74) |
68,6 (70) |
61,7 (63) |
48,0 (49) |
|
|
24 |
75 |
5,0 |
± 5 |
63 |
49 |
98,0 (100) |
93,1 (95) |
83,3 (85) |
64,7 (66) |
|
|
29 |
90 |
5,0 |
± 5 |
90 |
49 |
98,0 (100) |
93,1 (95) |
83,3 (85) |
64,7 (66) |
|
|
32 |
100 |
5,0 |
± 5 |
108 |
49 |
98,0 (100) |
93,1 (95) |
83,3 (85) |
64,7 (66) |
|
|
37 |
115 |
5,0 |
± 5 |
144 |
49 |
98,0 (100) |
93,1 (95) |
83,3 (85) |
64,7 (66) |
|
|
40 |
125 |
5,0 |
± 5 |
162 |
49 |
98,0 (100) |
93,1 (95) |
83,3 (85) |
64,7 (66) |
|
|
48 |
150 |
5,0 |
± 5 |
243 |
49 |
98,0 (100) |
93,1 (95) |
83,3 (85) |
64,7 (66) |
|
|
56 |
175 |
5,0 |
± 5 |
330 |
49 |
98,0 (100) |
93,1 (95) |
83,3 (85) |
64,7 (66) |
|
|
Канаты сизалевые тросовой свивки |
64 |
200 |
5,0 |
± 5 |
444 |
49 |
98,0 (100) |
93,1 (95) |
83,3 (85) |
64,7 (66) |
|
72 |
225 |
5,0 |
± 5 |
549 |
49 |
98,0 (100) |
93,1 (95) |
83,3 (85) |
64,7 (66) |
|
|
80 |
250 |
5,0 |
± 5 |
678 |
49 |
98,0 (100) |
93,1 (95) |
83,3 (85) |
64,7 (66) |
|
|
88 |
275 |
5,0 |
± 5 |
822 |
49 |
98,0 (100) |
93,1 (95) |
83,3 (85) |
64,7 (66) |
|
|
96 |
300 |
5,0 |
± 5 |
978 |
49 |
98,0 (100) |
93,1 (95) |
83,3 (85) |
64,7 (66) |
|
|
104 |
325 |
5,0 |
± 5 |
1149 |
49 |
98,0 (100) |
93,1 (95) |
83,3 (85) |
64,7 (66) |
|
|
112 |
350 |
5,0 |
± 5 |
1332 |
49 |
98,0 (100) |
93,1 (95) |
83,3 (85) |
64,7 (66) |
|
|
Канаты хлопчато-бумажные тросовой свивки |
29 |
90 |
8,6 |
± 6 |
54 |
20 |
80,4 (82) |
74,8 (76,3) |
60,3 (61,5) |
— |
|
37 |
115 |
8,6 |
± 6 |
69 |
20 |
80,4 (82) |
74,8 (76,3) |
60,3 (61,5) |
— |
|
|
40 |
125 |
8,6 |
± 6 |
90 |
20 |
80,4 (82) |
74,8 (76,3) |
60,3 (61,5) |
— |
|
|
45 |
140 |
8,6 |
± 6 |
114 |
20 |
80,4 (82) |
74,8 (76,3) |
60,3 (61,5) |
— |
|
|
48 |
150 |
8,6 |
± 6 |
141 |
20 |
80,4 (82) |
74,8 (76,3) |
60,3 (61,5) |
— |
|
|
56 |
175 |
8,6 |
± 6 |
171 |
20 |
80,4 (82) |
74,8 (76,3) |
60,3 (61,5) |
— |
|
|
64 |
200 |
8,6 |
± 6 |
210 |
20 |
80,4 (82) |
74,8 (76,3) |
60,3 (61,5) |
— |
|
|
Канаты полиамидные тросовой свивки |
8 |
25 |
3,0 |
± 8 |
12 |
52 |
157,8 (161) |
147,0 (150) |
— |
137,2 (140) |
|
10 |
30 |
3,0 |
± 8 |
15 |
52 |
157,8 (161) |
147,0 (150) |
— |
137,2 (140) |
|
|
11 |
35 |
3,0 |
± 8 |
21 |
52 |
157,8 (161) |
147,0 (150) |
— |
137,2 (140) |
|
|
13 |
40 |
4,0 |
± 5 |
21 |
45 |
220,5 (225) |
196,0 (200) |
— |
166,6 (170) |
|
|
16 |
50 |
4,0 |
± 5 |
33 |
45 |
220,5 (225) |
196,0 (200) |
— |
166,6 (170) |
|
|
19 |
60 |
4,0 |
± 5 |
45 |
45 |
220,5 (225) |
196,0 (200) |
— |
166,6 (170) |
|
|
22 |
70 |
4,0 |
± 5 |
63 |
45 |
220,5 (225) |
196,0 (200) |
— |
166,6 (170) |
|
|
26 |
80 |
4,0 |
± 5 |
87 |
45 |
220,5 (225) |
196,0 (200) |
— |
166,6 (170) |
|
|
29 |
90 |
5,0 |
± 5 |
72 |
40 |
338,1 (345) |
291,1 (297) |
— |
264,6 (270) |
|
|
32 |
100 |
5,0 |
± 5 |
87 |
40 |
338,1 (345) |
291,1 (297) |
— |
264,6 (270) |
|
|
37 |
115 |
5,0 |
± 5 |
117 |
40 |
338,1 (345) |
291,1 (297) |
— |
264,6 (270) |
|
|
40 |
125 |
5,0 |
± 5 |
138 |
40 |
338,1 (345) |
291,1 (297) |
— |
264,6 (270) |
|
|
48 |
150 |
5,0 |
± 5 |
198 |
40 |
338,1 (345) |
291,1 (297) |
— |
264,6 (270) |
|
|
56 |
175 |
5,0 |
± 5 |
267 |
40 |
338,1 (345) |
291,1 (297) |
— |
264,6 (270) |
|
|
64 |
200 |
5,0 |
± 5 |
348 |
40 |
338,1 (345) |
291,1 (297) |
— |
264,6 (270) |
|
|
72 |
225 |
5,0 |
± 5 |
441 |
40 |
338,1 (345) |
291,1 (297) |
— |
264,6 (270) |
|
|
80 |
250 |
5,0 |
± 5 |
543 |
40 |
338,1 (345) |
291,1 (297) |
— |
264,6 (270) |
|
|
88 |
275 |
5,0 |
± 5 |
657 |
40 |
338,1 (345) |
291,1 (297) |
— |
264,6 (270) |
|
|
96 |
300 |
5,0 |
± 5 |
783 |
40 |
338,1 (345) |
291,1 (297) |
— |
264,6 (270) |
|
|
Канаты полипропиленовые тросовой свивки |
8 |
25 |
2,4 |
± 8 |
12 |
39 |
68,6 (70) |
61,7 (63) |
55,9 (57) |
— |
|
10 |
30 |
2,4 |
± 8 |
15 |
39 |
68,6 (70) |
61,7 (63) |
55,9 (57) |
— |
|
|
11 |
35 |
2,4 |
± 8 |
18 |
39 |
68,6 (70) |
61,7 (63) |
55,9 (57) |
— |
|
|
13 |
40 |
3,6 |
± 5 |
21 |
31 |
98,0 (100) |
88,2 (90) |
78,4 (80) |
— |
|
|
16 |
50 |
3,6 |
± 5 |
30 |
31 |
98,0 (100) |
88,2 (90) |
78,4 (80) |
— |
|
|
19 |
60 |
3,6 |
± 5 |
45 |
31 |
98,0 (100) |
88,2 (90) |
78,4 (80) |
— |
|
|
22 |
70 |
3,6 |
± 5 |
60 |
31 |
98,0 (100) |
88,2 (90) |
78,4 (80) |
— |
|
|
26 |
80 |
3,6 |
| |||||||
