Продукты лесохимические. Правила приемки, отбор проб
На нашем сайте можно бесплатно скачать Руководящий документ ГОСТ 29289-92 в удобном формате. Узнать актуальный статус документа «Продукты лесохимические. Правила приемки, отбор проб» на 2016 год.
Скрыть дополнительную информацию
Страница 1

Страница 2

Страница 3

Страница 4

Страница 5

Страница 6

Страница 7

Страница 8

Страница 9

Страница 10

Страница 11

Страница 12

Страница 13

Страница 14

Страница 15
ГОСТ 29289-92
МЕЖГОСУДАРСТВЕННЫЙ СТАНДАРТ
ПРОДУКТЫ ЛЕСОХИМИЧЕСКИЕ
ПРАВИЛА ПРИЕМКИ, ОТБОР ПРОБ
Издание официальное
ИПК ИЗДАТЕЛЬСТВО СТАНДАРТОВ Москва
|
УДК 634.086:S43.05:006.354 МЕЖГОСУДАРСТВЕННЫЙ |
Группа -149 СТАНДАРТ |
11 РОДУКТЫ Л ЕСОХИМИЧЕСКИ Е
Правила приемки, отбор проб
ГОСТ
29289-92
Wood chemical products.
Rules of acceptance, sampling
MKC 71.100.99 ОКП 2402.2409
Дата введения 01.01.93
Настоящий стандарт распространяется па лесохимические продукты и устанавливает правила их приемки, методы отбора, хранения и маркировки проб. Перечень основных групп лесохимических продуктов приведен в приложении I.
1. ПРАВИЛА ПРИЕМКИ
1.1. Приемку лесохимических продуктов (далее — продукта) производят партиями.
За партию принимают количество одного и того же продукта, одной марки или сорта, упакованного в одинаковую тару или неупакованного, сопровождаемого одним документом о качестве.
При транспортировании продукта в железнодорожных и автомобильных цистернах за партию принимают содержимое каждого транспортного средства.
Допускается принимать за партию продукцию в накопительной емкости по количеству не более вместимости одной цистерны на каждую накопительную емкость.
1.2. Документ о качестве должен содержать следующие данные:
наименование предприятия-изготовителя и его товарный знак или только товарный знак;
наименование продукта в соответствии с нормативно-техническим документом (НТД):
обозначение НТД. марку и (или) сорт;
номер партии;
дату изготовления;
массу брутто, нетто;
вид тары;
количество единиц упаковки в партии;
результаты проведенных анализов и подтверждение о соответствии качества продукта требованиям Н’ГД или только подтверждение о соответствии качества продукта требованиям НТД; штамп О ГК;
гарантийный срок хранения.
1.3. Ятя проверки состояния упаковки, правильности маркировки, проверки массы нетто и качества продукции от партии отбирают случайную выборку с учетом степени неоднородности продукта.
1.4. Степень неоднородности продукта (АГм) определяют в соответствии с приложением 2 и указывают в нормативно-технической документации на конкретный продукт.
1.5. Для продукта, упакованного в транспортную тару, объем выборки должен соответствовать указанному в табл. 1.
Издание официальное Перепечатка воспрещена
О Издательство стандартов. 1992 © ИПК Издательство стандартов, 2003
С. 2 ГОСТ 29289-92
|
Таблица I |
||||||||||||||||||||||||||||||||||||||||||||||||||||||||||||||||||||||||||||||||||||||||||||||||||||||||||||||||||||||||||||||||||||||||||
|
1.6. Для продукта, упакованного в потребительскую тару, объем выборки должен соответствовать указанному в табл. 2.
Т а б л и и а 2
|
Степень |
Количество |
Объем |
Объем |
Степень |
Количество |
Объем |
Объем |
|
неоднородно |
единиц |
выборки |
выборки |
неоднород |
единиц |
выборки |
иыборки |
|
сти продукта |
транспортной |
транспортной |
потребитель |
ности |
транспортной |
транспортной |
потребитель |
|
<*»> |
тары в |
тары от |
ской тары. |
продукта <А'#| |
тары в |
тары от |
ской тары. |
|
партии, шт. |
партии, шт. |
отбираемой от |
партии, шт. |
партии, шт. |
отбираемой от |
||
|
единицы |
единицы |
||||||
|
транспортной |
транспортной |
||||||
|
тары. шт. |
тары. шт. |
||||||
|
I- 2 |
1 |
1 |
4* |
4 |
4 |
3 |
5 |
|
2 |
2 |
2 |
5 |
5 |
3 |
||
|
3 |
2 |
2 |
6 |
5 |
3 |
||
|
4 |
2 |
2 |
7 |
5 |
3 |
||
|
Болес 4 |
4 |
1 |
8 и более |
8 |
2 |
||
|
3 |
1 |
I |
6* |
5 |
1 |
1 |
8* |
|
2 |
2 |
i |
2 |
2 |
8* |
||
|
3 |
3 |
3 |
3 |
2 |
10* |
||
|
4 |
4 |
2 |
4 |
4 |
5 |
||
|
5 |
5 |
2 |
5 |
5 |
5 |
||
|
Болес 5 |
5 |
2 |
6 |
5 |
5 |
||
|
4 |
1 |
1 |
10* |
7 |
5 |
5 |
|
|
2 |
2 |
5 |
8 и более |
8 |
3 |
||
|
3 |
3 |
5 |
• Если число единиц потребительской тары в единице транспортной тиры менее указанного в таблице, пробы отбирают от каждой упаковочной единицы.
ГОСТ 29289-92 С. 3
1.7. Массу нетто (объем) продукта, упакованного п потребительскую тару, проверяют с учетом предельного отклонения от номинальной массы нетто или номинального объема, которое должно быть указано в нормативно-технической документации на конкретный продукт. Правила проверки указаны в приложении 3.
1.8. Для неупакованного продукта, транспортируемого навалом в вагонах или полувагонах, объем выборки составляет 24 точечные пробы, отбираемые по X равномерно распределенных проб в начале, середине и конце погрузки (выгрузки) продукта.
1.9. Для контроля качества продукта, транспортируемого в железнодорожных и автомобильных цистернах, пробы отбирают от каждой цистерны.
1.10. Для контроля качества продукта у изготовителя из складских и накопительных емкостей при хранении и в процессе производства отбирают из каждой емкости.
1.11. Допустимость проведения периодического статистического контроля по отдельным показателям продукта должна быть указана в нормативно-технической документации на конкретный продукт.
При периодическом контроле по отдельным показателям в документе о качестве указывают результаты испытаний.
Для партий, в которых данный показатель не проверялся, в документе о качестве должно быть подтверждение о соответствии данного показателя требованиям нормативно-технической документации на продукт.
1.12. При получении неудовлетворительных результатов анализа хотя бы по одному из показателей качества проводят повторную проверку этого показателя на удвоенной выборке упакованного продукта или удвоенном объеме пробы при транспортировании в железнодорожных и автомобильных цистернах.
Результаты повторной проверки распространяют на всю партию.
2. ОТБОР ПРОБ
2.1. Аппаратура
Для отбора проб продуктов из всех видов тары, транспортных средств, накопительных и складских емкостей применяют пробоотборники, указанные в приложении 4.
Допускается применять пробоотборники других конструкций, обеспечивающие отбор проб в соответствии с правилами, предусмотренными настоящим стандартом.
Пробоотборники должны быть изготовлены из материала, устойчивого к действию продукта (стекла, латуни, нержавеющей стачи и других материалов), быть чистыми и сухими.
2.2. Методы отбора проб
Упаковочные единицы, отобранные для контроля качества, должны быть перед вскрытием тщательно очищены от загрязнений снаружи.
Пробы отбирают при температуре хранения продукта. Жидкие, порошкообразные и пастообразные продукты тщательно перемешивают.
Перемешивание осуществляют катанием, встряхиванием, вращением или с применением механических и ручных мешалок в зависимости от вида и конструкции тары или транспортного средства.
Продукты, высоковязкие при обычных температурах, а также застывающие или замерзающие при пониженных температурах жидкие и пастообразные продукты рекомендуется разогревать.
Режим разогрева должен быть указан в нормативно-технической документации на конкретный продукт с учетом его пожароопасных свойств и температурной устойчивости.
2.3. Отбор проб проводят по следующей схеме:
для упакованного продукта из каждой случайно выбранной упаковочной единицы отбирают точечную пробу; точечные пробы объединяют и получают обшую пробу, из которой методом сокращения получают среднюю пробу;
для неупакованного продукта из партии продукта отбирают точечные пробы; точечные пробы объединяют и получают общую пробу, из которой методом сокращения получают среднюю пробу;
для продуктов твердых, гранулированных, порошкообразных и в кусках среднюю пробу получают из обшей методом квартования; способ квартования и необходимость измельчения продукта перед квартованием указывают в нормативно-технической документации на конкретный продукт.
С. 4 ГОСТ 29289-92
2.4. Среднюю пробу жидких и пастообразных продуктов отбирают после тщательного перемешивания обшей пробы.
2.5. Массу (объем) средней пробы указывают в нормативно-технической документации на конкретный вид продукции.
2.6. Среднюю пробу делят на две равные части — лабораторную и контрольную пробы.
Лабораторную и контрольную пробы помешают в чистые сухие стеклянные банки или другую
тару, обеспечивающую ее сохранность, плотно закрывают. Тару снабжают этикетками с указанием наименования продукта, наименования предприятия-изготовителя, даты отбора пробы, номера партии, фамилии пробоотборщика.
Лабораторную пробу передают для проведения анализа. Контрольную пробу хранят в условиях, обеспечивающих сохранность качества продукта, и вскрывают непосредственно перед анализом. Срок хранения контрольной пробы при необходимости указывается в договорах на поставку; его продолжительность не должна превышать гарантийного срока хранения продукта.
2.7. Точечную пробу жидких или пастообразных продуктов nocie перемешивания по п. 2.2 берут из любой точки тары различных видов. Из железнодорожных и автомобильных цистерн, накопительных емкостей и складских резервуаров отбирают от трех уровней:
верхнего — до 250 мм ниже поверхности материала;
среднего — с середины высоты столба продукта;
нижнего — до 250 мм от дна емкости.
При наличии у емкостей сливного крана допускается точечную пробу из нижнего слоя продукта брать из крана.
Допускается точечные пробы жидких и пастообразных продуктов брать из накопительных и складских емкостей изготовителя или из цистерн во время слива и налива (в начале, середине и конце операции).
При наличии перемешивания продукта в емкости допускается отбирать среднюю пробу из крана, расположенного на любом уровне.
При необходимости допускается другой порядок отбора проб из цистерн, накопительных и складских емкостей с указанием его в нормативно-технической документации на конкретный продукт.
2.Х. Точечную пробу упакованных в тару твердых продуктов отбирают кусками из любой части (кроме слоя продукта, соприкасающегося со стенками упаковки) каждой отобранной упаковочной единицы.
Из транспортного средства (железнодорожных и автомобильных цистерн) точечные пробы отбирают после разогрева продукта до жидкого состояния.
2.9. Точечную пробу упакованных порошкообразных продуктов берут, погружая пробоотборник по вертикальной оси или диагонали.
2.10. Точечные пробы неупакованных продуктов в кусках берут из любых точек массы.
2.11. Объем или масса точечной пробы не должны быть менее необходимых для проведения контроля качества продукта в соответствии с требованиями нормативно-технического документа с параллельными определениями.
ГОСТ 29289-92 С. 5
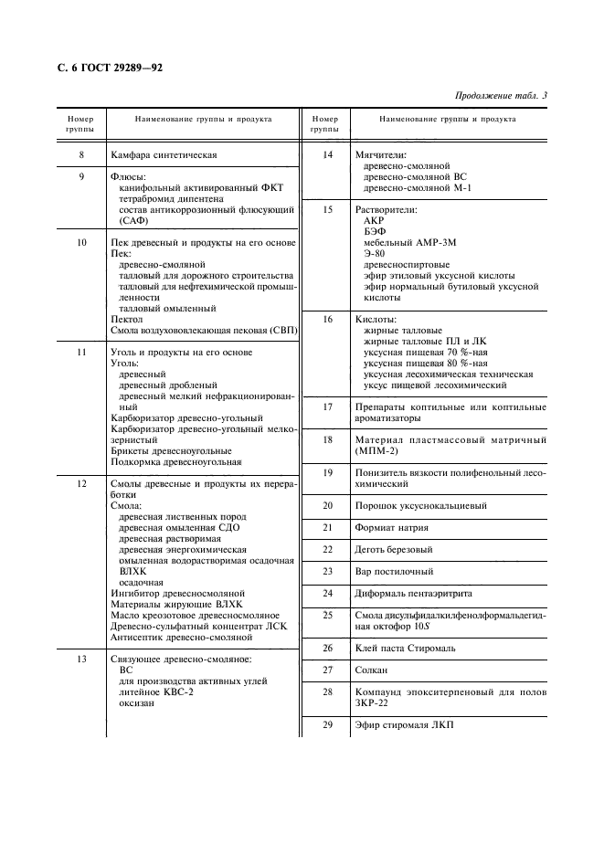
ПРИЛОЖЕНИЕ I Справочное
ГРУППЫ ЛЕСОХИМИЧЕСКИХ ПРОДУКТОВ В ЗАВИСИМОСТИ ОТ ИХ ХИМИЧЕСКОГО РОДСТВА
|
Т а 6 л и и а 3 |
|||||||||||||||||||||||||
|
С. 6 ГОСТ 29289-92
|
Продолжение таб. г. .? |
||||||||||||||||||||||||||||||||||||||||||||||||
|
ГОСТ 29289-92 С. 7
ПРИЛОЖЕНИЕ 2 Обязательное
ЭКСПЕРИМЕНТАЛЬНОЕ ОПРЕДЕЛЕНИЕ СТЕПЕНИ НЕОДНОРОДНОСТИ ПРОДУКТА
Продукт относят к той или другой степени неоднородности на основании данных о степени неоднородности продукта по каждому количественному показателю, предусмотренному нормативно-техническим документом (НТД).
Определение степени неоднородности продукта
1. От 5 партий отбирают по 5 точечных проб. Пробы отбирают в соответствии с рала. 2 настоящего стандарта. Общее число точечных проб 25.
2. Каждую точечную пробу анализируют по всем количественным показателям качества в соответствии с требованиями нормативно-технической документации на продукт. За результат анализа точечной пробы по каждому показателю принимают среднее арифметическое параллельных определений, число которых указано в нормативно-технической документации на продукт.
3. Для каждого показателя качества находят значение фактического расхождения между параллельными определениями в анализируемой точечной пробе ((, /) и вычисляют среднее значение этого расхождения для
всех проб ф:
4. Для каждой парши находят разность между максимальным и минимальным значением результата анализа пяти точечных проб по каждому показателю (/?) и среднее значение этой разности для продукта R :
5. По каждому показателю вычисляют степень неоднородности продукта ( А’„):
где а — коэффициент, зависящий от числа параллельных определений, равный 1,30; 0.69; 0,49 для 2, 3 и 4 параллельных определений соответственно; г — требуемая точность, с которой задана норма в нормативно-техническом документе.
Значение Ки округляют до целого числа: Ки равно 1, если число под корнем меньше или равно 0. или вычисленное значение меньше 0.5.
6. За степень неоднородности продукта А’, принимают максимальное из полученных значений Кп, как указано в табл. 4 настоящего приложения.
С. 8 ГОСТ 29289-92
|
Пример расчета степени неоднородности продукта (условный) |
|||||||||||||||||||||||||||||||||||||||||||||||||||||||||||||||||||||||||||||||||||||||||||||||||||||||||||||||||||||||||||||||||||||||||||||||||||||||||||||||||||||||||||||||||||||||||||||||||||||||||||||||||||||||||||||||||||||||||||||||||||||||||||||||||||||||||||||||||||||||||||||||||||||||||||||||||||||||||||||||||||||||||||||||||||||
|
|||||||||||||||||||||||||||||||||||||||||||||||||||||||||||||||||||||||||||||||||||||||||||||||||||||||||||||||||||||||||||||||||||||||||||||||||||||||||||||||||||||||||||||||||||||||||||||||||||||||||||||||||||||||||||||||||||||||||||||||||||||||||||||||||||||||||||||||||||||||||||||||||||||||||||||||||||||||||||||||||||||||||||||||||||||
Примечание. Степень неоднородности продукта А’_ в целом примем равной 5. т. к. ЭТО максимальное значение из .
Т а б л и и а 4
ГОСТ 29289-92 С. 9
ПРИЛОЖЕНИЕ 3 Рекомендуемое
ПРАВИЛА ПРОВЕРКИ СООТВЕТСТВИЯ МАССЫ НЕТТО (ОБЪЕМА) ПРОДУКЦИИ, УПАКОВАННОЙ В ПОТРЕБИТЕЛЬСКУЮ ТАРУ, ТРЕБОВАНИЯМ НОРМАТИВНО-ТЕХНИЧЕСКОЙ
ДОКУМЕНТАЦИИ (НТД)
1. Для проверки соответствия массы нетто (объема) требованиям НТД отбирают для продукции l-й или
2-й степени неоднородности не менее 6 единиц потребительской тары: для продукции 3-й, 4-й или S-й степе
ни неоднородности — в соответствии с табл. 2 настоящего стандарта. Проверки проводят с периодичностью, установленной на предприятии.
2. Для оценки результатов контроля строят график по данным, указанным в нормативно-технических документах на продукт:
тг( V) — номинальное значение массы нетто (кг или г) или обьема (см1 или дм1); т (к ) — значение верхней границы массы нетто (кг или г) или объема (см* или дм’): т ( ^)— значение нижней границы массы нетто (кг или г) или объема (см1 или дм1);
К — значение допустимого размаха массы нетто (объема), вычисленная по формулам
R *» (т — Л1 ) • К; (1)
V • и
Л-(К-К) К. (2)
где К — коэффициент, зависящий от обьема выборки, определяемый по табл. 5.
Т а б л и и а 5
|
Объем выборки. л |
6 |
7 |
8 |
9 |
10 |
11 |
12 |
13 |
14 |
IS |
16 |
|
к |
0.44 |
0,52 |
0.58 |
0,63 |
0,68 |
0.72 |
0,76 |
0.80 |
0.83 |
0.86 |
0.89 |
|
Продолжение там. 5 |
||||||||||||||||||||
|
На ОСИ ординат графика откладывают значения массы нетто (обьема): на оси абсцисс — значения размаха массы нетто (объема). Ось абсцисс проходит через точку «_(К) (черт. 1). Строят треугольник, соединяя точки т( У) и т( У) и Л.
3. Определяют массу нетто (объем) для каждой отобранной упаковочной единицы (т или У ) и вычисляют среднее значение
I «
«=75>,; (3)
¥ят^ (4)
г • 1
4. Находят фактический размах между минимальным и максимальным значениями магсы нетто (объема) в объеме выборки
(5)
С. 10 ГОСТ 29289-92
На график наносят значения Ш или У и Rt и нахолят точку пересечения прямых, исходящих из этих
точек.
Масса нетто (объем) потребительской тары соответствует требованиям НТД, если точка пересечения прямых, исходящих из in или V и лежит внутри или на границе треугольника.
5. При получении неудовлетворительных результатов от партии отбирают повторную выборку в количестве 24 упаковочных единиц. Для вычисления значения R коэффициент К берут из табл. 5 для объема выборки, равного 24. Определяют массу нетто (объем) для каждой отобранной единицы и вычисляют среднее значение in или V по формуле (3) или (4), фактический размах Rt но формуле (5) или (6) и наносят их на график, построенный по п. 2. настоящего приложения. Результаты контроля повторной выборки считают окончательными.
6. Примеры
Пример 1 (условный).
Требования заданы в виде: масса продукта во флаконе 450 г с допустимым отклонением 10 г. Степень неоднородности продукта равна 3. Партия состоит из 100 ящиков.
По табл. 2 находим объем выборки транспортной тары — 5 шт.
Число единиц потребительской тары, отбираемой от единицы транспортной тары. — 2 шт.
Таким образом следует проконтролировать массу нетто 10 флаконов.
Данные для построения графика будут следующие:
тьт 450 г. т = 460 г. т = 440 г.
Ц’ — (460-440) 0.68 — 13.6 г.
Строим график для оценки результатов контроля (черт. 2).
Получены следующие фактические результаты определения массы нетго продукта в отобранных флаконах: 456, 448. 449. 455. 450. 454. 451, 453. 452. 452 т.
Среднее значение массы нетто, г, в выборке равно:
_ I 4520
т — иг X. *’ = -утг
Размах массы нетго. г. в выборке равен
= «W — *«n«n = 456 — 448 = 8—
Подученные результаты наносят на график, точка пересечения прямых лежит внутри треугольника (черт. 2).
Следовательно, ггаргия продукта по показателю «масса нетто» соответствует предъявляемым требованиям.
Пример 2.
Продукт разлит в бутылки. Номинальное значение массы нетто — Черт. 2 430 г. Допустимое отклонение массы продукта от номинальной не должно
превышать 3 %. Партия состоит из 200 ящиков.
Степень неоднородности продукта равна 1. В этом случае для контроля массы нетго согласно п. 1 приложения 2 следует отобрать 6 бутылок.
Исходя из требований рассчитываем величины т . т , R:
+ 4^= 430 -2^= 442.9г;
«Ч = ‘«о
100
100
— = «0 + 22L* 430 — ii» = 417.1 г: “ ^ 100 100
Л, »(*„-«„) К = (442.9-417,1) 0.44 = 11.4 г.
Исходя из имеющихся данных строим график (черт. 3, внутренний треугольник).
Результаты определения массы нетто продукта в отобранных бутылках следующие: 430. 424. 439. 434, 429, 430 г.
ГОСТ 29289-92 С. 11
Среднее значение массы нетто, г, в выборке равно:
_ I ‘»6 25S6 …
т =r I™’ =-к-=431—
j -1
Размах массы негто. г. в выборке равен
Лф = *«« — «mm = 439 — 424 = 15.
Полученные результаты наносим на график, точка пересечения прямых (точка А) лежит вне внутреннего треугольника (черт. 3).
|
т |
Поэтому в соответствии с п. 5 настоящего приложения следует отобрать повторную выборку в количестве 24 бутылок.
Значение R . г, для повторной выборки вычисляют по формуле
У К = (442.0-417,1) 1.05 = 27.1.
Исходя из полученного значения Ry строим новый график (черт. 3. внешний треугольник).
Результата контроля повторной выборки представлены в табл. 6.
|
Т а б л и и а 6 |
||||||||||||||||||||||||||||||||||||||||||||||||||||||
|
||||||||||||||||||||||||||||||||||||||||||||||||||||||
|
Среднее |



