Персональные электронные вычислительные машины. Интерфейсы видеомониторов. Общие требования
На нашем сайте можно бесплатно скачать Руководящий документ ГОСТ 28406-89 в удобном формате. Узнать актуальный статус документа «Персональные электронные вычислительные машины. Интерфейсы видеомониторов. Общие требования» на 2016 год.
Скрыть дополнительную информацию
Страница 1

Страница 2

Страница 3

Страница 4

Страница 5

Страница 6

Страница 7

Страница 8

Страница 9

Страница 10

Страница 11

Страница 12
ГОСТ 28406-89
МЕЖГОСУДАРСТВЕННЫЙ СТАНДАРТ
ПЕРСОНАЛЬНЫЕ ЭЛЕКТРОННЫЕ ВЫЧИСЛИТЕЛЬНЫЕ МАШИНЫ
ИНТЕРФЕЙСЫ ВИДЕОМОНИТОРОВ
ОБЩИЕ ТРЕБОВАНИЯ
Издание официальное
БЗ 10-2004
fl№1 Uocxm
ОШЦфПЖф0|Я1
УДК 681.3.06:006.354 Группа 1185
МЕЖГОСУДАРСТВЕННЫЙ СТАНДАРТ
Персональные электронные вычислительные машины ИНТЕРФЕЙСЫ ВИДЕОМОНИТОРОВ
ГОСТ
Общие требования
28406-89
Personal computers. Videomonitors interfaces.
General requirements
MKC 35.200 ОКСТУ 4002
Дата введения 01.01.91
Настоящий стандарт распространяется па интерфейсы, предназначенные для сопряжения видеомониторов, разрабатываемых по ГОСТ 27954*. с персональными электронными вычислительными машинами (ПЭВМ), разрабатываемыми по ГОСТ 27201.
Стандарт не распространяется на интерфейсы видеомониторов, технические задания (ТЗ) на разработку которых утверждены до 01.01.90. а также интерфейсы, предназначенные для сопряжения видеомониторов с ПЭВМ типа ПМ1 по ГОСТ 27201.
Стандарт устанавливает требования к физической реализации интерфейсов и определяет состав и назначение линий интерфейсов.
Термины и пояснения, применяемые в стандарте, приведены в приложении 1.
I. ТИПЫ
1.1. Интерфейсы видеомониторов по типу подразделяют на интерфейсы для подключения одноцветных видеомониторов к ПЭВМ и интерфейсы для подключения многоцветных видеомониторов к ПЭВМ.
1.2. По виду передаваемых видеосигналов интерфейсы подразделяют на аналоговые (А) и логические (Л).
2. СОСТАВ И НАЗНАЧЕНИЕ ЛИНИИ ИНТЕРФЕЙСОВ ВИДЕОМОНИТОРОВ
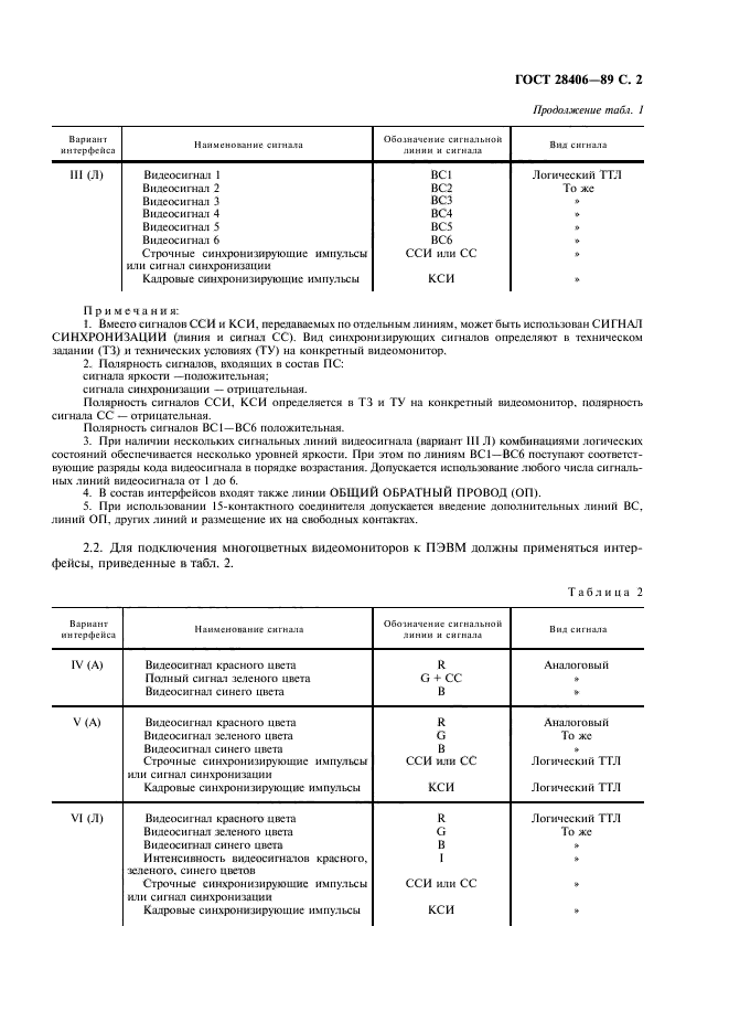
2.1. Для подключения одноцветных видеомониторов к ПЭВМ следует применять интерфейсы, приведенные в табл. 1.
|
Таблица 1 |
||||||||||||
|
||||||||||||
|
хНа территории Российской Федерации действуют ГОСТ Р 50948-2001. ГОСТ Р 50949-2001. |
Перепечатка воспрещена
И]данис официальное ★
£> Издательство стандартов, 1990 © Стандарт и нформ. 2005
ГОСТ 28406-89 С. 2
|
Продолжение табл. / |
||||||||||||||||||||||||||||||||||||
|
Примечания:
!. Вместо сигналов ССИ и КСИ. передаваемых по отдельным линиям, может быть использован СИ ГНАЛ СИНХРОНИЗАЦИИ (линии и сигнал СС). Вид синхронизирующих сигналов определяют в техническом задании (ТЗ) и технических условиях (ТУ) на конкретный видеомонитор.
2. Полярность сигналов, входящих в состав ПС:
сигнала яркости —положительная;
сигнала синхронизации — отрицательная.
Полярность сигналов ССИ. КСИ определяется в ТЗ и ТУ на конкретный видеомонитор, полярность сигнала СС — отрицательная.
Полярность сигналов ВС1—ВС6 положительная.
3. При наличии нескольких сигнальных линий видеосигнала (вариант III Л) комбинациями логических состояний обеспечивается несколько уровней яркости. При этом по линиям ВС1—ВС’6 поступают соответствующие разряды кода видеосигнала в порядке возрастания. Допускается использование любого числа сигнальных линий видеосигнала от 1 до 6.
4. В состав интерфейсов входят также линии ОБШИЙ ОБРАТНЫЙ ПРОВОД (ОП).
5. При использовании IS-контактного соединителя допускается введение дополнительных линий ВС, линий ОП. других линий и размещение их на свободных контактах.
2.2. Для подключения многоцветных видеомониторов к ПЭВМ должны применяться интерфейсы. приведенные в табл. 2.
|
Таблица 2 |
||||||||||||||||
|
С. 3 ГОСТ 28406-89
|
Продолжение таб.1. 2 |
||||||||||||||||||||||||||||||||||||||||
|
•Допускается отсутствие сигналов.
Г1 р и м с ч а н и я:
1. Вместо сигналов ОСИ и КСИ. передаваемых по отдельным линиям, может быть использован СИГНАЛ СИНХРОНИЗАЦИИ (линия и сигнал СС). Вид синхронизирующих сигналов определяется в ТЗ и ТУ на конкретный видеомонитор.
2. Полярность сигналов, входящих в состав G + СС:
сигнала яркости — положительная;
сигнала синхронизации — отрицательная.
Полярность сигналов ССИ, КСИ определяют в ТЗ и ТУ на конкретный видеомонитор, полярность сигнала СС — отрицательная.
Полярность сигналов R. G, В, I, Rl. GI, BI — положительная.
3. В состав интерфейсов входят также линии ОБЩИЙ ОБРАТНЫЙ ПРОВОД (ОП).
2.3. Варианты V(A) и Vll(Jl) интерфейсов рекомендуются для применения в новых разработках многоцветных видеомониторов. Применение других вариантов интерфейсов определяют в ТЗ на разработку изделий в установленном порядке.
2.4. Временные диаграммы интерфейсных сигналов приведены в приложении 2.
Длительность сигналов и их допускаемые отклонения устанавливают в ТЗ и ТУ на конкретный
видеомонитор.
3. ТРЕБОВАНИЯ К ФИЗИЧЕСКОЙ РЕАЛИЗАЦИИ ИНТЕРФЕЙСОВ ВИДЕОМОНИТОРОВ
3.1. В качестве соединителей следует использовать 9- или 15-контактные штыревые соединители. Назначение и схемы расположения контактов соединителей приведены в приложениях 3. 4. Наименование и условное обозначение соединителей приведены в приложении 5.
Допускается для видеомониторов высокой адресуемости применение коаксиальных соединителей.
3.2. Линия ОБЩИЙ ОБРАТНЫЙ ПРОВОД
3.2.1. Линия ОБЩИЙ ОБРАТНЫЙ ПРОВОД (ОП), обеспечивающая защит)’ передаваемых сигналов от помех, подсоединяется к точке, принятой в видеомониторе за нулевую и изолированную от металлического корпуса.
3.2.2. При наличии в интерфейсе нескольких обратных линий различных сигналов они должны быть соединены внутри видеомонитора.
3.2.3. При необходимости должна быть предусмотрена возможность соединения линии ОГ1 с клеммой защитного заземления (КОРПУС).
3.2.4. Число линий ОГ1 (линия ОП для всех сигнальных линий или отдельные линии ОП для каждой сигнальной линии) определяют в соответствии с конструкторской документацией на конкретный видеомонитор.
3.3. Интерфейс видеомонитора должен быть работоспособен при использовании кабеля длиной не более 2 м.
ГОСТ 28406-89 С. 4
3.4. Уровни сигналов транзисторно-транзисторной логики (ТТЛ) должны быть следующими: логический «0» — не более 0,4 В;
логическая «1* — от 2,4 до 5.0 В.
3.5. Токи, потребляемые видеомонитором по всем линиям, должны быть следующими: при логическом «0* — не более 20 мА;
при логической «I» — не более 15 мА.
3.6. Уровни аналоговых сигналов должны быть следующими:
размах полного сигнала, размах полного сигнала зеленого цвета — (1.0 ±0.1) В: размах видеосигнала, размах видеосигналов красного, зеленого, синего цветов, сигнала интенсивности видеосигналов — (0,70 ±0,07) В:
размах сигнала синхронизации в составе полного сигнала и полного сигнала зеленого цвета — (0,30 ± 0.03) В.
3.7. Длительность фронтов сигналов ССИ, КСИ, СС должна быть не более 50 не.
3.8. Входное сопроти&тение видеомонитора для аналоговых сигналов (одна сигнальная линия) должно быть:
для одноцветных видеомониторов — (75 ± 5) Ом; для многоцветных видеомониторов — (75,0 ± 1,5) Ом.
3.9. Требования электрической и механической безопасности интерфейсов — по ГОСТ 25861.
3.10. Соединение включенного или отключенного видеомонитора с включенной и отключенной ПЭВМ не должно приводить к отказу видеомонитора или ПЭВМ.
3.11. Короткое замыкание между сигнальными линиями, а также между сигнатьиой линией и линией ОП не должно приводить к отказу видеомонитора и ПЭВМ.
3.12. Дополнительные требования к интерфейсам должны быть установлены заказчиком в ТЗ и ТУ на конкретное изделие.
С. 5 ГОСТ 28406-89
ПРИЛОЖЕНИЕ / Справочное
ТЕРМИНЫ, ПРИМЕНЯЕМЫЕ В СТАНДАРТЕ, И ИХ ПОЯСНЕНИЯ
|
Таблица 3 |
||||||||||||||||||||||||
|
ГОСТ 28406-89 С. 6
ПРИЛОЖЕНИЕ 2
Рекомендуемое
ВРЕМЕННЫЕ ДИАГРАММЫ ИНТЕРФЕЙСНЫХ СИГНАЛОВ
I. Временные диаграммы сигналов ССИ. КСИ, передаваемые раздельно но линиям ОСИ, КСИ, и взаимное их расположение относительно видеосигнала приведены на черт. 1.
|
Видеосигнал |
Г- м |
||||
|
КСИ- |
L |
N |
|||
|
■ . |
|||||
Черт. I
2. Временные диаграммы сигнала СС и его расположение относительно видеосигнала приведены на черт. 2.
Видеосигнал
С С-
|
Видеосигнал |
||||||||||
|
Черт. 2
3. Временные диаграммы сигнала ПС, G + СС приведены на черг. 3. ПС,6-СС
Черт. 3
С. 7 ГОСТ 28406-89
4. Примеры временных соотношений сигналов ССИ. КСИ приведены в табл. 4.
|
Таблица 4 |
||||||||||||||||||||||||||||||||||||||||||||||||||||||||||||||||||||||
|
||||||||||||||||||||||||||||||||||||||||||||||||||||||||||||||||||||||
ГОСТ 28406-89 С. 8
ПРИЛОЖЕНИЕ 3 Обязательное
НАЗНАЧЕНИЕ КОНТАКТОВ 9-КОНТАКТНОГО СОЕДИНИТЕЛЯ
|
Таблица 5 |
|||||||||||||||||||||||||||||||||||||||||||||||||||||||||||||||||||||||||||||||||||||||||||||||||
|
|||||||||||||||||||||||||||||||||||||||||||||||||||||||||||||||||||||||||||||||||||||||||||||||||
Примечания:
1. Знак «/* — обозначает «или»; знак «—» — свободный контакт.
2. ОП(Я). ОП(С). ОП(В) —линия ОП видеосигналов красного, зеленого, синего;
«УПР» — управляющий сигнал (вводится при необходимости).
3. В видеомониторах и ПЭВМ устанавливают розетку с фиксацией.
4. На интерфейсном кабеле устанавливают вилку с фиксацией и кожухом.
5. Интерфейс III (Л) одноцветного видеомонитора соответствует интерфейсам многоцветных видеомониторов VI (Л), VII (Л). При этом порядок возрастания разрядов может соответствовать одной из последовательностей В. G. R; 1. В, G, R: Bl, Gl. RI. В. G. R.
Черт. 4
|
Схема расположения контактов соединителя |
С. 9 ГОСТ 28406-89
ПРИЛОЖЕНИЕ 4 Обязательное
НАЗНАЧЕНИЕ КОНТАКТОВ 15-КОНТАКТНОГО СОЕДИНИТЕЛЯ
|
Таблица 6 |
||||||||||||||||||||||||||||||||||||||||||||||||||||||||||||||||||||||||||||||||
|
||||||||||||||||||||||||||||||||||||||||||||||||||||||||||||||||||||||||||||||||
Примечая и я:
1. Знак «/» — обозначает «или*;
знак «—» — свободный контакт.
2. OH «УПР» — упраатяюший сигнал (вводится при необходимости). 3. В видеомониторах и ПЭВМ устанавливают розетку с фиксацией. 4. На интерфейсном кабеле устанаапиваюг вилку с фиксацией и кожухом. 5. Допускается введение других линий и размещение их на свободных контактах. 6. Схема расположения контактов 15-контактного соединителя представлена на черт. 5. Схема расположения контактов соединителя Черт. 5 ГОСТ 28406-89 С. 10 ПРИЛОЖЕНИЕ 5 Рекомендуемое НАИМЕНОВАНИЕ И УСЛОВНОЕ ОБОЗНАЧЕНИЕ СОЕДИНИТЕЛЕЙ Соединители СНП10! НЩ0.364.002 ТУ. Розетка приборная прямая СР-50—73 ФВ ВР0.364.008 ТУ. Вилка кабельная прямая СР—50—74 ПВ ВР0.364.008 ТУ. Вилка кабельная прямая СР—50—74 ФВ BPO.364.OOS ТУ. С. 11 ГОСТ 28406-89 ИНФОРМАЦИОН Н Ы Е ДАН Н Ы Е 1. РАЗРАБОТАН И ВНЕСЕН Министерством радиопромышленности СССР; Академией наук СССР 2. УТВЕРЖДЕН И ВВЕДЕН В ДЕЙСТВИЕ Постановлением Государственного комитета СССР по управлению качеством продукции и стандартам от 25.12.89 № 4078 3. ВВЕДЕН ВПЕРВЫЕ 4. ССЫЛОЧНЫЕ НОРМАТИВНО-ТЕХНИЧЕСКИЕ ДОКУМЕНТЫ Обозначение НТД, на который лаиа ссылка Помер пуикга ГОСТ 15971-90 Приложение 1 ГОСТ 21879-88 Приложение 1 ГОСТ 25861-83 3.9 ГОСТ 27201-87 Вводная часть ГОСТ 27954-88 Вволная часть НЩО.364.002 ТУ Приложение 5 ВР0.364.008 ТУ Приложение 5 5. ПЕРЕИЗДАНИЕ. Август 2005 г. Редактор .И.И. Максимова Технический редактор N.C. Гришанова Корректор В.II. Варепиова Компьютерная верока //Д. На.нтйкипой Сдано в набор 2S.0S.2005- Подписано и печать 14.09.2005. Формат 60 х Н41/*- Бумага офсетная. Гарнитура Таймс. Печать офсетная. Уел. печ.д. 1,40. Уч.-нил.0,95. Тира* SO акз. Зак. 685. С IS56. ФГУП «Стандартинформ*. 123995 Москва, Гранатный пер., 4. www.goxlinro.ru infiwlgo-ttinfo.ni Набрано во ФГУП «Станлартинформ» на ПЭВМ Отпечатано в филиале ФГУП -Сганлартинформ* — тип, •Московский печатник», 105062 Москва, Лялин пер., 6.
