ГОСТ 27575-87

Костюмы мужские для защиты от общих производственных загрязнений и механических воздействий. Технические условия

Страница 1

Страница 1

Страница 2

Страница 2

Страница 3

Страница 3

Страница 4

Страница 4

Страница 5

Страница 5

Страница 6

Страница 6

Страница 7

Страница 7

Страница 8

Страница 8

Страница 9

Страница 9

Страница 10

Страница 10

Страница 11

Страница 11

ГОСТ 27575-87

МЕЖГОСУДАРСТВЕННЫЙ СТАНДАРТ

КОСТЮМЫ МУЖСКИЕ ДЛЯ ЗАЩИТЫ ОТ ОБЩИХ ПРОИЗВОДСТВЕННЫХ ЗАГРЯЗНЕНИЙ И МЕХАНИЧЕСКИХ ВОЗДЕЙСТВИЙ

ТЕХНИЧЕСКИЕ УСЛОВИЯ

Издание официальное

ИПК ИЗДАТЕЛЬСТВО СТАНДАРТОВ Москва

УДК 687.157:006.354    Группа    М38

МЕЖГОСУДАРСТВЕННЫЙ СТАНДАРТ

КОСТЮМЫ МУЖСКИЕ ДЛЯ ЗАЩИТЫ ОТ ОБЩИХ ПРОИЗВОДСТВЕННЫХ ЗАГРЯЗНЕНИЙ И МЕХАНИЧЕСКИХ ВОЗДЕЙСТВИЙ

ГОСТ

27575-87

Технические условия

Men’s suits for general industrial contamination and mechanical action protection. Specifications

ОКГ1 85 7211

Дата введения 01.01.90

Настоящий стандарт распространяется па мужские костюмы, состоящие из куртки и брюк или полукомбинезона, предназначенные п качестве специальной одежды для зашиты работающих от общих производственных загрязнений и механических воздействий в различных отраслях промышленности.

I. ТЕХНИЧЕСКИЕ ТРЕБОВАНИЯ

1.1.    Костюмы должны изготовляться в соответствии с требованиями настоящего стандарта, промышленными методами изготовления специальной одежды, Единой промышленной коллекцией моделей мужских костюмов для зашиты от общих производственных загрязнений и механических воздействий, образцом-эталоном н техническим описанием модели, утвержденными в установленном порядке.

1.2.    Основные параметры и размеры

1.2.1. Размеры костюмов должны соответствовать росту и обхвату груди типовой фигуры человека, указанным в табл. 1 и 2.

Т а б л и u а 1

Puiucp. см

Рост типовой фигуры

•IC.1 опеки

Интерпол роста человека

158. 164

Or 155 до 167 в ключ.

170. 176

Св. 16? » 179 .

182. 188

. 179 » 191

Таблица 2

Ратср, см

06.vn.ii груди типовой фшури человека

Интервал обхвата (рули человека

88. 92

От 86 до 94 включ.

96. 100

Св. 94 1 102 *

104. 108

. 102 * 110 *

112. 116

* 110 * 118 *

120. 124

» 118 » 126 *


Примечание к табл. 1, 2. Костюмы размеров. меньших 88, 92 см по обхвату ipy-ди и 158. 164 см по росту типовой фигуры и свыше 120, 124 см по обхвату груди и 182. 188 см по росту шпоной фигуры, должны и иотоачягься по требованию потребителя.

1.2.2. Измерения готовых костюмов должны соответствовать указанным в табл. 3 и на черт. 1—4.

1

   ©    Издательство    стандартов.    1987

© ИНК Издательство стандартов, 2002

С. 2 ГОСТ 27575-87

Т а б л и и а 3

см

V

Z

Обхпаг груди типоиой фигуры человека

X

& *2 5 V

х а

Наименование ишерсиим

Рост

типовой

фигуры

человека

88.

92

96.

100

104.

108

112.

116

120.

124

So | * 2 £ & о

li

Куртка (черт. I, 2)

/

Длина спинки: без пояса

158. 164 170, 176 182. 188

72.0

76.0

80.0

72.0

76.0

80.0

72.0

76.0

80.0

72.0

76.0

80.0

72.0

76.0

80.0

± 1.0

с притачным поясом

158. 164 170, 176 182. 188

64.0

68.0 72.0

64.0

68.0 72,0

64.0

68.0 72,0

64.0

68.0 72,0

64.0

68.0 72,0

± 1,0

2

Ширина куртки на уровне глубины проймы (ширина борта 3,0 см)

60.0

64,0

68.0

72,0

76,0

± 1,0

3

Длина рукава и плечевого шва (от шва втачивания воротника до низа рукава)

158. 164 170, 176 182. 188

77,0

81,2

85.4

77,8

82,0

86,2

78,6

82,8

87,0

79,4

83,6

87,8

80,2

84.4

88,6

± 1,0

4

Джна воротника

45.0

47,0

49.0

51,0

53,0

± 1,0

5

Ширина куртки внизу: без пояса (ширина борта 3,0см(

56.0

60.0

64.0

68,0

72,0

± 1,0

с притачным поясом (ширина борта 3,0 см)

54.0

58.0

62,0

66.0

70,0

± 1,0

Брюки и полукомбинезон (черг. 3. 4)

/

Длина по боковому шву

158. 164

94.0

94.0

94.0

94,0

94,0

170. 176

103.0

103,0

103.0

103.0

103,0

± 1.0

182. 188

112,0

112,0

112,0

112,0

112.0

2

Дшна по шаговому шву

158. 164

71.2

70,2

69,2

68,2

67,2

170, 176

78,0

77,0

76,0

75.0

74.0

± 1.0

182. 188

84.8

83,8

82.8

81.8

80,8

3

Ширина по линии талии

41.0

45,0

49.0

53.0

57,0

± 1,0

4

Ширина на уровне среднего

_

33.5

35,5

37.5

39,5

41,5

± 1,0

шва

Примечание. По требованию потребителя и по согласованию с ЦК соответствующего профсоюза допускается изменять значение измерений 3:

в куртках — для рукава покроя реглан увеличивать или уменьшать не более чем на 2.0 см; в брюках и полукомбинезонах уменьшать не более чем на 2.0 см.

ГОСТ 27575-87 С. 3

С. 4 ГОСТ 27575-87


Черт. 2

ГОСТ 27575-87 С. 5

-11—

*ПГ|

\\

С. 6 ГОСТ 27575-87

ГОСТ 27575-87 С. 7

1.3. Характеристики

1.3.1.    Конструкция костюмов лол ж на соответствовать действующим базовых» конструкциям мужской специальной одежды.

1.3.2.    Изготовление костюмов по моделям, не предусмотренным Единой промышленной коллекцией мужских костюмов, допускается по требованию потребителя и по согласованию с ЦК соответствующего профсоюза.

1.3.3.    В зависимости от условий производства и по согласованию изготовителя с потребителем костюмы изготовляют:

с различным видом, размерами, количеством и местом расположения усилительных накладок и вентиляционных отверстий и без них;

в комплекте с дополнительным поясом брюк из основной ткани;

в комплекте с головным убором;

отдельными предметами.

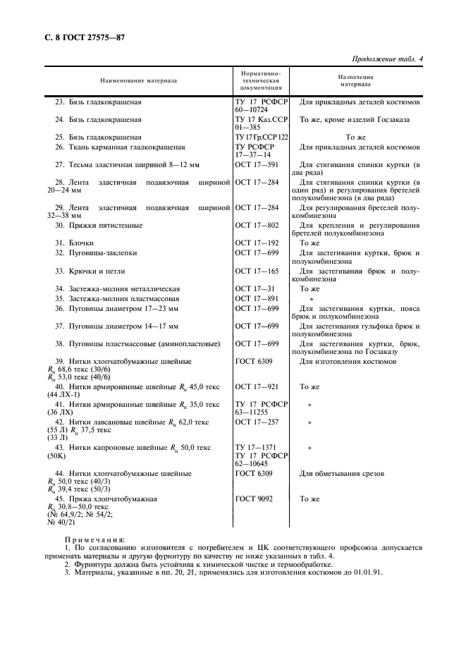
1.3.4.    Костюмы должны изготовляться из материалов, указанных в табл. 4.

Таблица 4

Нанмемопанис материала

Нормативно*

техническая

документации

Назначение

материала

I. Ткань с капроновым волокном гладкокрашеная с отделкой

ГОСТ 11209

Для изготовления

ВО № 3

костюмов

2. Ткань меланжевая (из смеси крашеного хлопка с капроновым

ГОСТ 11209

То же

волокном) с отделкой ВО № 5

3. Ткань костюмная гладкокрашеная с отделками ВО. ВО-У.

ГОСТ 11209

*

3 № 6

4. Ткань хлопкополиэфирная «Дозор» гладкокрашеная с

ГОСТ 11209

отделкой ВО № 14

5. Ткань хлопчатобумажная «Страдниекс* Nil 15

ГОСТ 11209

6. Ткань костюмная гладкокрашеная. 3 № 18

ГОСТ 11209

*

7. Ткань костюмная хлопколавсановая меланжевая мерсеризо

ГОСТ 21790

»

ванная № I

8. Ткань костюмная хлонкополиэфирная меланжевая мерсери

ГОСТ 21790

»

зованная № 30

9. Трико «Колос» хлопкополиэфирное меланжевое № 40

ГОСТ 21790

*

10. Ткань хлопчатобумажная мерсеризованная «Восход»,

ТУ 17 Каз.СС’Р

»

арг. 3238

01-433

И. Саржа гладкокрашеная мерсеризованная с малоусадочной

ТУ 17 РСФСР

»

отделкой, арт. 3224

66-6073

12. Саржа хлопчатобумажная одежная гладкокрашеная, арт. 3227

ТУ 17 РСФСР 60—10415

*

13. Ткань хюичатобумажная гладкокрашеная, арт. 3703

ТУ 17 РСФСР

52-10888

V

14. Саржа плашевая мерсеризованная с малоусадочной

ТУ 17 РСФСР

»

отделкой, арт. 3202

60-8552

15. Ткань лавсановискозная с маслонефтеводооггалкиваюшей

ТУ 17 УССР

*

пропиткой для специальной одежды, арг. 86057

3689

16. Ткань впекознополиэфирная с масловодооггалкиваюшей

ТУ 17 РСФСР

отделкой для специальной одежды, арт. 86067, 86074

62-11045

17. Ткань хлопчатобумажная, арт. 3019

ТУ 17 Лагв.ССР 1042

18. Молескин гладкокрашеный, 3 № 19

ГОСТ 11209

*

19. Ткань костюмная гладкокрашеная с отделкой ВО № 4

ГОСТ 11209

20. Ткань хлопкополиэфирная гладкокрашеная. 3 № 21

ГОСТ 11209

*

21. Ткань костюмная гладкокрашеная с ВО и без ВО пропитки.

ТУ 17 РСФСР

*

арт. 3199

66-10449

22. Бязь гладкокрашеная

ГОСТ 29298

Для прикладных деталей костюмов

С. 8 ГОСТ 27575-87

Продолжение табл. 4

Наименование материала

Нормативно-техническая документа ими

Назначение

материала

23. Бязь гладкокрашеная

ТУ 17 РСФСР 60—10724

Для прикладных деталей костюмов

24. Бязь гладкокрашеная

ТУ 17 Каз.ССР 01-385

То же, кроме изделий Госзаказа

25. Бязь гладкокрашеная

ТУ 17Гр.ССР122

То же

26. Ткань карманная гладкокрашеная

ТУ РСФСР 17-37-14

Для прикладных деталей костюмов

27. Тесьма эластичная шириной 8—12 мм

ОСТ 17-591

Для стягивания спинки куртки (в два ряда)

28. Лента эластичная подвязочная шириной 20—24 мм

ОСТ 17-284

Для стягивания спинки куртки (в один ряд) и регулирования бретелей полукомбинезона (в два ряда)

29. Лента эластичная подвязочная шириной 32-38 мм

ОСТ 17-284

Для регулирования бретелей полукомбинезона

30. Пряжки пятистенные

ОСТ 17-802

Для крепления и регулирования бретелей полукомбинезона

31. Блочки

ОСТ 17-192

То же

32. Пуговипы-заклепки

ОСТ 17-699

Для застегивания куртки, брюк и полукомбинезона

33. Крючки и петли

ОСТ 17-165

Для застегивания брюк и полукомбинезона

34. Застежка-молния металлическая

ОСТ 17-31

Тоже

35. Застежка-молния пластмассовая

ОСТ 17-891

*

36. Пуговицы диаметром 17—23 мм

ОСТ 17-699

Для застегивания куртки, пояса брюк и полукомбинезона

37. Пуговицы диаметром 14—17 мм

ОСТ 17-699

Для застегивания гульфика брюк и полукомбинезона

38. Пуговицы пластмассовые (аминопластовые)

ОСТ 17-699

Для застегивания куртки, брюк, полукомбинезона но Госзаказу

39. Нитки хлопчатобумажные швейные

ГОСТ 6309

Для изготовления костюмов

JL 68.6 текс <30/6) Ru 53.0 текс (40/6)

40. Нитки армированные швейные Ru 45,0 текс

ОСТ 17-921

То же

(44ЛХ-1)

41. Нитки армированные швейные RH 35.0 текс (36 ЛХ)

ТУ 17 РСФСР 63-11255

42. Нитки лавсановые швейные R 62.0 зеке

ОСТ 17-257

(55 Л) Я 37,5 текс (33 Л)

43. Нитки капроновые швейные /?( 50.0 текс (50К>

ТУ 17-1371 ТУ 17 РСФСР 62-10645

*

44. Нитки хлопчатобумажные швейные

ГОСТ 6309

Для обметывания срезов

Ru 50.0 текс (40/3) Rlt 39.4 текс (50/3)

45. Пряжа хлопчатобумажная

ГОСТ 9092

То же

R 30.8—50,0 текс (№ 64.9/2; N* 54/2; № 40/2)

Примечания:

1.    По согласованию изготовителя с потребителем и ЦК соответствующего профсоюза допускается применять материалы и другую фурнитуру по качеству не ниже указанных в табл. 4.

2.    Фурнитура должна быть устойчива к химической чистке и термообработке.

3.    Материалы, указанные в пп. 20. 21. применялись для изгото&зения костюмов до 01.01.91.

ГОСТ 27575-87 С. 9

1.3.5.    При изготовлении костюмов допускается применять для вешалки и обработки верхних срезов карманов основной материал или тесьму; для обработки подкладки пояса брюк или полукомбинезона — основной материал или корсажную ленту.

1.3.6.    Классификация и виды стежков, строчек и швов, применяемых для изготовления костюмов, — по ГОСТ 12807.

Требования к стежкам, строчкам и швам — по ГОСТ 29122.

1.3.7.    Определение сортности готовых костюмов — по ГОСТ 12.4.031.

1.4.    Маркировка

Маркировка костюмов — по ГОСТ 10581. ГОСТ 12.4.115 костюмов, изготовляемых по Госзаказу, — по ГОСТ 19159.

1.5.    Упаковка

Упаковка костюмов — по ГОСТ 10581. костюмов, изготовляемых по Госзаказу, — по ГОСТ 19159.

2. ПРИЕМКА

Правила приемки костюмов — по ГОСТ 23948.

3. МЕТОДЫ КОНТРОЛЯ

Методы контроля качества костюмов — по ГОСТ 4103.

4. ТРАНСПОРТИРОВАНИЕ И ХРАНЕНИЕ

Транспортирование и хранение костюмов — по ГОСТ 10581 костюмов, изготовляемых по Госзаказ)’, — по ГОСТ 19159.

5. УКАЗАНИЯ ИО ЭКСПЛУАТАЦИИ

Химическая чистка костюмов — по ГОСТ 12.4.169.

С. 10 ГОСТ 27575-87

И НФОРМАЦИОН Н Ы Е ДАН Н Ы Е

1. РАЗРАБОТАН И ВНЕСЕН Министерством легкой промышленности СССР

2. УТВЕРЖДЕН И ВВЕДЕН В ДЕЙСТВИЕ Постановлением Государственного комитета СССР но стандартам от 29.12.87 N° 5088

3.    ВЗАМЕН ГОСТ 12.4.109-82

4. ССЫЛОЧНЫЕ НОРМАТИВНО-ТЕХНИЧЕСКИЕ ДОКУМЕНТЫ

Обозначение НТД. на который дана ссылка

Номер пумк|а. раздела

Обозначение НТД. на которып дана ссылка

Номер пункта, раздела

ГОСТ 12.4.031-84

1.3.7

ОСТ 17-699-83

1.3.4

ГОСТ 12.4.115-82

1.4

ОСТ 17-891-86

1.3.4

ГОСТ 12.4.169-85

Разд. 5

ОСТ 17-921-82

1.3.4

ГОСТ 4103-82

Разд. 3

ТУ 17-1371-84

1.3.4

ГОСТ 6309-93

1.3.4

ТУ 17 60-9764-80

1.3.4

ГОСТ 9092-81

1.3.4

ТУ РСФСР 17-37-14-89

1.3.4

ГОСТ 10581-91

1.4. 1.5, Разд. 4

ТУ 17 РСФСР 45-9758-80

1.3.4

ГОСТ N209-85

1.3.4

ТУ 17 РСФСР 52-10888-85

1.3.4

ГОСТ 12807-88

1.3.6

ТУ 17 РСФСР 60-8552-81

1.3.4

ГОСТ 19159-85

1.4. 1.5. Разд. 4

ТУ 17 РСФСР 60-10415-82

1.3.4

ГОСТ 21790-93

1.3.4

ТУ 17 РСФСР 60-10724-84

1.3.4

ГОСТ 23948-80

Разд. 2

ТУ 17 РСФСР 62-10645-83

1.3.4

ГОСТ 29122-91

1.3.6

ТУ 17 РСФСР 62-10876-84

1.3.4

ГОСТ 29298-92

1.3.4

ТУ 17 РСФСР 62-11045-85

1.3.4

ОСТ 17-31-83

1.3.4

ТУ 17 РСФСР 63-11255-86

1.3.4

ОСТ 17-165-79

1.3.4

ТУ 17 РСФСР 66-6073-81

1.3.4

ОСТ 17-192-78

1.3.4

ТУ 17 РСФСР 66-11049-85

1.3.4

ОСТ 17-257-84

1.3.4

ТУ 17 РСФСР 8021-75

1.3.4

ОСТ 17-284-73

1.3.4

ТУ 17 УССР 3689-83

1.3.4

ОСТ 17-591-86

1.3.4

ТУ 17 Каз.ССР 01-385-80

1.3.4

ОСТ 17-598-81

1.3.4

ТУ 17 Каз.ССР 01-433-84

1.3.4

ОСТ 17-602-81

1.3.4

ТУ 17 Гр.ССР 122-83

1.3.4

5.    Ограничение срока действия снято по протоколу № 4—93 Межгосударственного Совета но стандартизации, метрологии и сертификации (ИУС 4—94)

6.    ПЕРЕИЗДАНИЕ. Апрель 2002 г.

Редактор М. И. Максимова Технический редактор О.И. Власова Коррекюр В.И. Варснцова Компьютерная верстка Л.Л. Крупной

Над. лии. Si 02354 от 14.07.2000. Слано и набор 0S.04.2002. Подписано в печать 03.06.2002. Уел. печ. л. 1.40.

Уч.-над. л. 1.02. Тираж 11S ЭКГ С 6028. Зав. 471.

ИПК Излательстпо стандартов, 107076 Москва. Ко.толешый пер.. 14. h(tp://«ww.Mandarils.ni    e-mail:    inloOxtandarcU.ni

Набрано и Издательстве на ПЭВМ Филиал ИПК Издательство стандартов — шп. «Московский иечагник*, 103062 Москва. Лилии пер.. 6.

Плр Nr 080102

Понравилась статья? Поделиться с друзьями:
Стройсоветы