Поддоны плоские одноразового использования. Общие технические условия
На нашем сайте можно бесплатно скачать Руководящий документ ГОСТ 26381-84 в удобном формате. Узнать актуальный статус документа «Поддоны плоские одноразового использования. Общие технические условия» на 2016 год.
Скрыть дополнительную информацию
Страница 1

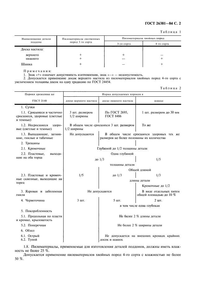
Страница 2

Страница 3

Страница 4

Страница 5

Страница 6

Страница 7

Страница 8
