Единая система конструкторской документации. Эксплуатационные документы
Заменяет

Страница 1

Страница 2

Страница 3

Страница 4

Страница 5

Страница 6

Страница 7

Страница 8

Страница 9

Страница 10

Страница 11

Страница 12

Страница 13

Страница 14

Страница 15

Страница 16

Страница 17

Страница 18

Страница 19

Страница 20

Страница 21

Страница 22

Страница 23

Страница 24

Страница 25

Страница 26

Страница 27

Страница 28

Страница 29

Страница 30

Страница 31

Страница 32

Страница 33

Страница 34

Страница 35
МЕЖГОСУДАРСТВЕННЫЙ СОВЕТ ПО СТАНДАРТИЗАЦИИ, МЕТРОЛОГИИ И
СЕРТИФИКАЦИИ
(МГС)
INTERSTATE COUNCIL FOR STANDARDIZATION, METROLOGY AND CERTIFICATION (ISC)
МЕЖГОСУДАРСТВЕННЫЙ
ГОСТ
2.601-
2013
СТАНДАРТ
Единая система конструкторской документации Эксплуатационные документы
Издание официальное
Москва
Стандартинформ
2013
ГОСТ 2.601-2013
(свойствами) и содержащий методы, позволяющие определенным образом обрабатывать данные
[ГОСТ 2.053-20 , статья 3.1.3]
Примечание — В эксплуатационных документах информационный объект представляет собой смысловую и/Или структурную единицу технической информации.
3.1.5 интерактивное электронное техническое руководство: Обобщенное
название для взаимосвязанной совокупности эксплуатационных документов, выполненных в форме интерактивного электронного документа по ГОСТ 2.051 и, как правило, содержащихся в одной общей базе данных эксплуатационной документации.
3.1.6 перечень действующих документов: Перечень электронных
эксплуатационных документов, получаемых из общей базы данных эксплуатационной документации*
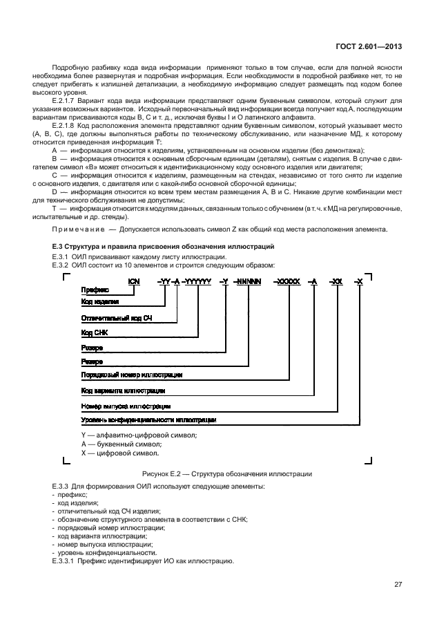
3.1.7 обозначение иллюстрации: Идентификатор (стандартизованный
структурированный адрес) иллюстрации в общей базе данных и^или поставляемой базе данных эксплуатационной документации.
3.1.8 стиль: Перечень связанных с информационным объектом правил,
регламентирующих отображение данных на устройстве вывода (шрифта, размера, цвета и т. Д).
3.1.9 электронная система отображения: Комплекс программно-технических
средств для воспроизведения данных, содержащихся в интерактивном электронном документе.
3.1.10 модуль данных: Совокупность взаимосвязанных технических сведений по эксплуатации изделия, относящихся к определенной тематике и не допускающих дальнейшего их дробления на составные части.
3.1.11 обозначение модуля данных: Идентификатор (стандартизованный
структурированный адрес) модуля данных в общей базе данных и/или поставляемой базе данных эксплуатационной документации.
ГОСТ 2601-2013
3.1.12 общая база данных эксплуатационной документации: Автоматизированная система хранения и управления модулями данных, входящими в состав эксплуатационной документации на изделие, позволяющая по запросу получить конкретный электронный или бумажный эксплуатационный документ*.
3.2 Сокращения
В настоящем стандарте применены следующие сокращения:
БД — база данных;
ЗИП-запасные части, инструменты и принадлежности;
ИО — информационный объект;
ИЭД — интерактивный электронный документ;
КД — конструкторский документ (документы, документация);
МД- модуль данных;
ЦЦ — нормативный документ;
ОБДЭ — общая база данных эксплуатационной документации;
ОИЛ — обозначение иллюстрации;
ОМД — обозначение модуля данных;
ПЗК- портативный защищенный компьютер;
СЕ -сбором ная единица;
СИ К — система нумерации и кодирования;
СЧ — составная часть;
ТЗ — техническое задание;
ЭВМ — электронно-вычислительная машина;
ЭД- эксплуатационный документ (документы);
ЭСО — электронная система отображения.
5
ГОСТ 2.601-2013
4 Общие требования
4.1 ЭД предназначены для эксплуатации изделий, ознакомления с их конструкцией, изучения правил эксплуатации (использования по назначению, технического обслуживания, текущего ремонта, хранения и транспортирования), отражения сведений, удостоверяющих гарантированные изготовителем значения основных параметров и характеристик (свойств) изделия, гарантий и сведений по его эксплуатации (длительность и условия работы, техническое обслуживание, ремонт и другие данные), а также сведений по его утилизации.
4.2 Сведения об изделии, помещаемые в ЭД, должны быть достаточными для обеспечения правильной и безопасной эксплуатации изделий в течение установленного срока службы. При необходимости в ЭД приводят указания о требуемом уровне подготовки обслуживающего персонала.
4.3 ЭД, поставляемые с изделием, должны полностью ему соответствовать.
4.4 При разработке ЭД следует использовать термины и определения в области эксплуатации, обслуживания и ремонта в соответствии с ГОСТ 25866 и ГОСТ 18322.
4.5 ЭД разрабатывают на основе:
— рабочей конструкторской документации — по ГОСТ 2.102;
— опыта эксплуатации аналогичных изделий;
— анализа эксплуатационной технологичности изделий данного типа и их составных частей;
— результатов исследования надежности изделий данного типа и аналогичных изделий;
— результатов научно-исследовательских работ, направленных на повышение канества эксплуатации изделий (при наличии).
4.6 Изложение текста ЭДи титульный лист выполняют в соответствии с требованиями настоящего стандарта и ГОСТ 2.105.
Схемы в ЭД выполняют в соответствии с требованиями ГОСТ 2.701.
4.7 Правила выполнения ЭД — по ГОСТ 2.610.
6
ГОСТ 2601-2013
4.8 ЭД могут быть выполнены как бумажные и/или как электронные КД. Документы одного вида и наименования независимо от формы выполнения, являются равноправными и взаимозаменяемыми.
4.9 Виды, комплектность и выполнение (электронное или бумажное) ЭД устанавливает разработчик, если это не оговорено в ТЗ. Для ЭД на изделия, разработанные по заказу Министерства обороны, это решение должно быть согласовано с заказчиком (представ ительств ом заказч ика).
4.10 Электронные ЭД могут быть выполнены в виде ИЭД — по ГОСТ 2.051. Как правило, такие ЭД выполняют при необходимости предоставления в интерактивном режиме эксплуатирующему персоналу:
-указаний, необходимых для правильной и безопасной эксплуатации изделия;
— сведений о конструкции, принципе действия, характеристиках (свойствах) изделия и его составных частей;
-сведений, относящихся к использованию изделия по назначению, оценке его технического состояния;
— сведений, относящихся ктехншескому обслуживанию, текущему ремонту, хранению, транспортированию и утилизации изделия.
4.11 При выполнении ЭД в виде ИЭД и передачи их заказчику (потребителю) следует, при необходимости, в состав поставки включать программно-технические средства, обеспечивающие визуализацию содержащейся в ЭД информации и интерактивное взаимодействие с пользователем.
4.12 ЭД, выполненные в виде ИЭД, в зависимости от механизма обработки содержательной части и программно-аппаратного обеспечения, применяемого для визуализации документации, подразделяют на следующие типы:
— структурированные, представляющие собой структурированную совокупность ИО с возможностями навигации по содержанию документа и поиска нужной информации;
— модульные, предусматривающие основанное на применении базы данных хранение всех технических сведений, структурированных в БД и оформленных в воде МД, из которой
7
ГОСТ 2.601-2013
по запросу пользователя можно сформировать требуемые ЭД для их просмотра на экране средствами ЭСО;
— интегрированные, предусматривающие хранение в БД всех технических сведений в виде МД, при зтом для формирования и визуализации средствами ЭСО требуемых ЭД или их структурных элементов используют принципы экспертных систем, а также интеграцию с программными средствами, не входящими в ИЭД*;
— Интернет-ориенгированные, предназначенные для размещения в глобальной сети Интернет и, как правило, представляющие собой набор сформированных ЭД или БД, содержащую совокупность МД и позволяющую формировать требуемые ЭД. Как правило, Интернет-ориенгированные ЭД представляют в форматах, определяемых [1] или [2]*.
4.13 В ЭД, поставляемых с изделием, должна содержаться следующая информация:
— наименование страны-изготовителя и предприятия-изготовителя;
— наименование и обозначение изделия;
— основное назначение, сведения об основных технических данных и потребительских свойствах изделия;
— правила и условия эффективного и безопасного использования, хранения, транспортирования и утилизации изделия;
— ресурс, срок службы и сведения о необходимых действиях потребителя по его истечении, а также информация о возможных последствиях при невыполнении указанных действий (сведения о необходимых действиях по истечении указанных ресурсов, сроков службы, а также возможных последствиях при невыполнении этих действий приводят, если изделие по истечении указанных ресурса и сроков может представлять опасность для жизни, здоровья потребителя (пользователя), причинять вред его имуществу или окружающей среде либо оно становится непригодным для использования по назначению. Перечень таких изделий составляют в установленном порадке);
— гарантии изготовителя (поставщика) (в установленном законодательством порадке);
— сведения о сертификации (при наличии);
— сведения о приемке;
S
ГОСТ 2601-2013
— юридический адрес изготовителя (поставщика) и/или продавца;
— сведения о цене и условиях приобретения изделия (приводит, при необходимости, изготовитель, поставщик либо продавец). Для изделий, разрабатываемых и/или поставляемых по заказам Министерства обороны, эти сведения и условия не приводят.
5 Виды и комплектность эксплуатационных документов
5.1 Воды эксплуатационных документ о в
5.1.1 К ЭД относят текстовые, графтеские и аудиовизуальные (мультимедийные) КД, которые в отдельности или в совокупности дают возможность ознакомления с изделием и определяют правила его эксплуатации.
5.1.2 ЭД подразделяют на виды, указанные в таблице 1. Таблица 1 — Виды эксплуатационных документов
|
Вид документа |
Определение |
|
Руководство по эксплуатации Инструкция по монтажу, пуску, регулированию и обкатке изделия |
Документ, содержащий сведения о конструкции, принципе действия, характеристиках (свойствах) изделия, его составных частях и указания, необходимые для правильной и безопасной эксплуатации изделия (использования по назначению, технического обслуживания, текущего ремонта, хранения и транспортирования) и оценок его технжеского состояния при определении необходимости отправки его в ремонт, а также сведения по утилизации изделия и его составных частей Документ, содержащий сведения, необходимые для монтажа, наладки, пуска, регулирования, обкатки и сдачи изделия и его составных частей в эксплуатацию на месте его применения |
9
ГОСТ 2.601-2013
Продолжение таблицы 1
Вид документа
Определение
|
Формуляр Паспорт Этикетка Каталог изделия Нормы расхода запасных частей Нормы материалов расхода |
Документ, содержащий сведения, удостоверяющие гарантии изготовителя, значения основных параметров и характеристик (свойств) изделия, сведения, отражающие техническое состояние данного изделия, сведения о сертификации и утилизации изделия, а также сведения, которые вносят в период его эксплуатации (длительность и условия работы, техническое обслуживание, ремонт и другие данные) Документ, содержащий сведения, удостоверяющие гарантии изготовителя, значения основных параметров и характеристик (свойств) изделия, а также сведения о сертиф икации и утилизации изделия Документ, содержащий гарантии изготовителя, значения основных параметров и характеристик (свойств) изделия, сведения о сертификации изделия Документ, содержащий перечень деталей, сборочных единиц, комплексов и комплектов изделия с иллюстрациями и сведения об их количестве, расположении в изделии, взаимозаменяемости, конструктивных особенностях, материалах и др. Документ, содержащий номенклатуру запасных частей изделия и их колтество, расходуемое на нормируемое колтество изделий за период их эксплуатации Документ, содержащий номенклатуру материалов и их колтество, расходуемое на нормированное количество изделий за период их эксплуатации |
10
ГОСТ 2.601-2013
|
Окончание таблицы 1 |
||||
|
5.2 Комплектность эксплуатационных документов
5.2.1 Номенклатуру ЭД, необходимую для обеспечения эксплуатации изделия, устанавливают в соответствии с таблицей 2.
11
ГОСТ 2.601-2013
Таблица 2 — Номенклатура эксплуатационных документов
Степень
обязатель
ности
разработ
ки
документа
Код
доку
мента
Наименование
документа
Дополнительное указание
РЭ
1 Руководство по эксплуатации
2 Инструкция по монтажу, пуску, регулированию и обкатке изделия
3 Формуляр
О
О
ИМ
ФО
РЭ может быть выполнено в виде интерактивного электронного технического руководства
ИМ составляют на монтаж, пуск, регулирование и обкатку изделия на месте его применения и в случае, если эти требования нецелесообразно или невозможно изложить в РЭ
Документ составляют на изделия, в период эксплуатации которых необходимо вносить сведения означениях основных параметров и характеристиках (свойствах) изделия, отражающих техншеское состояние данного изделия и^ипи данные о процессе эксплуатации (длительности и условиях работы, данные о проведении технического обслуживания, ремонта и другие данные). Электронный формуляр выполняют по ГОСТ 2.612
12
ГОСТ 2.601-2013
Продолжение таблицы 2
Степень
обязатель
ности
разработ
ки
документа
Код
доку
мента
Наименование
документа
Дополнительное указание
ПС
4 Паспорт
ЭТ
5 Этикетка
О
КИ
6 Каталог изделия
ПС составляют на изделия, для которых объем необходимых для эксплуатации
данных и основных показателей незначителен и в период эксплуатации которого нет необходимости вносить сведения о знамениях и^или подгверщении этих показателей
ЭТ составляют на изделия, для которых данные, необходимые для эксплуатации, не превышают пяти-шести основных
показателей, когда для подтверждения этих показателей нет необходимости составлять ФО (ПС) и технически их невозможно и/или нецелесообразно маркировать на изделии КИ составляют на изделия, для которых в течение времени эксплуатации
предусмотрены неоднократный ремонт и замены составных частей. Электронный
каталог изделия выполняют по ГОСТ 2.611 Примечания 1 Обилие правила выполнения КИ по ГОСТ 2.610.
13
ГОСТ 2.601-2013
Предисловие
Цели, основные принципы и основной порядок проведения работ по межгосударственной стандартизации установлены ГОСТ 1.0-92 «Межгосударственная система стандартизации. Основные положения» и ГОСТ 1.2-2009 «Межгосударственная система стандартизации. Стандарты межгосударственные, правила и рекомендации по межгосударственной стандартизации. Правила разработки, принятия, применения, обновления и отмены»
Сведения о стандарте
1 РАЗРАБОТАН Федеральным государственным унитарным предприятием «Всероссийский научно-исследовательский институт стандартизации и сертификации в машиностроении» (ВНИИНМАШ), Автономной некоммерческой организацией Научно-исследовательский центр CALS-технологий «Прикладная логистика» (АНО НИЦ CALS-технологий «Прикладная логистика»)
2 ВНЕСЕН Федеральным агентством по техническому регулированию и метрологии
3 ПРИНЯТ Межгосударственным советом по стандартизации, метрологии и сертиф икации (протокол № 58-П от 28 августа 2013 г.)
|
За принятие стандарта проголосовали: |
||||||||||||||||||||||||||||||
|
4 Приказом Федерального агентства по техническому регулированию и метрологии от 22 ноября 2013 г. № 1628-ст межгосударственный стандарт ГОСТ 2.601-2013 введен в действие в качестве национального стандарта Российской Федерации с 1 июня 2014 г.
5 ВЗАМЕН ГОСТ 2.601-2006
II
ГОСТ 2.601-2013
Продолжение таблицы 2
Степень
обязатель
ности
разработ
ки
документа
Код
доку
мента
Наименование
документа
Дополнительное указание
|
7 Нормы расхода запасных частей НЗЧ О 8 Нормы расхода материалов НМ ЗИ О 9 Ведомость ЗИП |
2 Правила выполнения электронного КИ по ГОСТ 2.611 О Под НЗЧ на период эксплуатации одного изделия понимают среднее ожидаемое за этот период количество замен составных частей из-за отказов и выработки ресурса Под НМ на период эксплуатации понимают среднее ожидаемое за этот период количество материалов ЗИ составляют на изделия, с которыми совместно поставляют прилагаемые к ним комплекты ЗИП, а также наборы ЗИП, поставляемые отдельно от изделия, для эксплуатации которых предназначается ЗИП (например, ЗИП одиночный, групповой, ремонтный и др.). Если количество наименований изделий и материалов незначительно, то ЗИ допускается не разрабатывать, а их номенклатуру перечисляют в формуляре или паспорте |
14
ГОСТ 2.601-2013
|
Окончание таблицы 2 |
||||||||||||||||||||||||||||||||||||||||||||||||||||||||||||||||||||||||||||||||||||
|
||||||||||||||||||||||||||||||||||||||||||||||||||||||||||||||||||||||||||||||||||||
15
ГОСТ 2.601-2013
5.2.2 В ЭД на изделие включают в необходимых объемах сведения об изделии в целом и составных частях, установленных на изделии к моменту поставки его заказчику (потребителю).
ЭД на составные части изделия допускается включать в состав ЭД на изделие по согласованию с заказчиком (при наличии), при этом в ЭД на изделие не повторяют содержание документов на его составные части.
Описание и правила эксплуатации составных частей, в том числе покупных изделий, должны быть, как правило, включены в соответствующие ЭД на изделие в качестве их самостоятельных разделов, подразделов и пунктов.
5.2.3 В ЭД дают ссылки только на документы, включенные в ведомость эксплуатационных документов для данного изделия
При указании сведений об изделии и/или материале, изготовленных по стандартам или техническим условиям, в ЭД указывают обозначение соответствующих стандартов или технических условий.
5.2.4 В зависимости от особенностей изделия, объема сведений по нему и условий э кс п лу ата ци и до пу с ка етс я:
— раздел ять документ на части в соответствии с ГОСТ 2.105;
— разрабатывать объединенные ЭД (допускается выпускать на изделие один ЭД).
Объединенному ЭД присваивают наименование и код вышестоящего документа,
приведенного в таблице 2.
Степень деления ЭД на части, разделы, подразделы и пункты определяет разработчик изделия в зависимости от объема помещаемых в ЭД сведений.
Допускается отдельные части, разделы и подразделы ЭД объединять или исключать, а также вводить новые.
5.2.5 На конструктивно простейшие изделия, объем сведений по которым незначителен, ЭД допускается не составлять, а необходимые сведения размещать (маркировать) на самом изделии или на фирменной табличке, прикрепляемой к нему.
16
ГОСТ 2601-2013
5.2.6 Специальные требования, относящиеся к использованию по назначению, техническому обслуживанию, текущему ремонту, хранению, транспортированию и утилизации, для удобства использования допускается оформлять в виде самостоятельных частей ЭД, приложений к ним или специальных инструкций. В качестве самостоятельных частей и приложений к документам, указанным в таблице 2, как правило, выполняют:
— памятки по обращению с изделием;
-специальные формуляры (например, формуляр шумности, по аварийно-спасательному обеспечению);
— ведомости (например, ведомости размещения ЗИП, имущества);
-нормировочные документы (например, нормы времени, трудоемкости выполнения
отдельных работ);
— сервисные книжки по обслуживанию изделия, гарантийные талоны;
— спецификации комплектов специального назначения.
В канестве специальных инструкций, как правило, выполняют:
— инструкции для отдельных специалистов обслуживающего персонала;
— инструкции по мерам безопасности;
-инструкции по проверке специальных контрольно-измерительных приборов и оборудования;
— инструкции по проведению специальных работ, проверок и испытаний изделий на промежуточных пунктах (базах, складах);
-инструкции по утилизации, инструкции по переводу изделия в категорию утилизируемого;
— инструкции по защите информации и др.
Для изделий, разрабатываемых по заказу Министерства обороны, номенклатура, структура и содержание приложений и специальных инструкций должны быть согласованы с заказчиком (представительством заказчика). Эти документы следует включать в ВЭ.
5.2.7 В Конестве ЭД или в составе их для изделий единичного производства допускается использовать КД, предусмотренные ГОСТ 2.102, перечень которых
17
ГОСТ 2.601-2013
согласовывают с заказчиком (представительством заказчика). Эти документы включают в
6 Общие требования низложению текста эксплуатационных документов
6.1 В тексте документа при изложении указаний о проведении работ применяют глаголы в повелительном наклонении, например, «Открыть люк…», «Нажать кнопку…» и т. п.
6.2 Описание порадка выполнения каких-либо работ дается в логической последовательности их выполнения.
Перечень работ допускается оформлять в воде таблицы.
6.3 Если информация относится только к изделиям определенных серий или заводских номеров, то перед изложением зтой информации после слова «ВНИМАНИЕ» приводят указание о распространении ее на соответствующие номера изделий (серии).
6.4 Общее построение ЭД следует выполнять в соответствии с требованиями ГОСТ 2.105. Для изделий с многоступенчатой системой деления на составные части рекомендуется ЭД оформлять с применением блочного принципа построения документов (см. приложение Б). В этом случае ЭД делят на структурные элементы, как правило, в соответствии с конструктивным делением изделия на составные части.
Для структурных элементов ЭД устанавливают систем/ нумерации и кодирования, которую, как правило, устанавливают в НД на конкретные виды (группы) изделий с учетом их сложности и конструктивных особенностей.
6.5 При разработке документов особое внимание должно быть обращено на изложение требований к соблюдению мер безопасности при эксплуатации и ремонте изделий. Текст с предупреждениями и требованиями мер предосторожности должен всегда выделяться и со всей очевидностью показывать пользователю, что речь идет о предостережении или предупреждении. Рекомендуется использовать соответствующий граф жеский символ или другой четко заметный знак.
18
ГОСТ 2601-2013
В тексте этим требованиям должны предшествовать пр еду предающие слова «ПРЕДОСТЕРЕЖЕНИЕ», «ВНИМАНИЕ», «ЗАПРЕЩАЕТСЯ».
Предупреждающие слова общего характера, распространяющиеся на весь документ, допускается выполнять предшествующими основному тексту документа. Например, если при выполнении каких-либо работ технического обслуживания присутствует одна и та же опасность, рекомендуется в тексте руководства (инструкции) поместить эти слова один раз в начале.
Слово «ПРЕДОСТЕРЕЖЕНИЕ» используют, когда нужно идентифицировать явную опасность для человека, выполняющего те или иные действия, или риск повреждения изделия.
Слово «ВНИМАНИЕ» используют, когда нужно привлечь внимание персонала к способам и приемам, которые следует точно выполнять во избежание ошибок при эксплуатации и ремонте изделия или когда требуется повышенная осторожность в обращении с изделием или материалами.
Слово «ЗАПРЕЩАЕТСЯ» используют, когда нарушение установленных ограничений или несоблюдение требований, касающихся использования материалов, способов и приемов обращения с изделием, может привести к нарушению мер безопасности.
Слова «ПРЕДОСТЕРЕЖЕНИЕ», «ВНИМАНИЕ» и «ЗАПРЕЩАЕТСЯ» и следующий за ними текст следует печатать прописными буквами. Допускается предупреждающие слова и текст с предостережением выделять цветом, а также совместно с предупреждающими словами использовать пиктограммы.
При группировании предупреждений первым должен стоять текст, касающийся безопасности персонала.
Примеры
1 ПРЕДОСТЕРЕЖЕНИЕ: РАСТВОР ФЕЗВЫЧАЙНО ОПАСЕН!
2 ВНИМАНИЕ: ПОСЛЕ СЛИВА Ш СЛА РУЛЯШ НЕ РАБОТА ТЫ
3 ЗАПРЕЩАЕТСЯ мыть двига тель бензином
19
ГОСТ 2.601-2013
Все необходимые пояснения к тексту (таблицам) помещают или перед, или под абзацами, к которым они относятся. Пояснения начинают со слова «Примечание» (пояснение к таблице разрешается давать в виде сноски).
Примеры пояснения, предшествующего тексту
1 Примечание — Пункты 5-8 выполнять, если установлены внешние баки.
2 Примечание — Если гарпунная пушка имеет механизм качания прицела, то перед выверкой уровня вертлюга необходимо совместить риски на хомутике механизма качания.
Пример пояснения, следующего под текстом
Примечание -Подробное описание работы клапана см. в АБВГ.ХХХХХХ.014РЭ
Для изделий, требующих особой осторожности при обращении с ними, на обложке формуляра (паспорта) должна быть нанесена предупреждающая надпись, например, «ВНИМАНИЕ! ОСОБАЯ ОСТОРОЖНОСТЬ», а в тексте формуляра (паспорта) должны быть даны необходимые пояснения.
6.6 Все надписи (обозначения) и условные знаки, располагаемые на изделии и на фирменных таблжках к изделию, должны быть приведены и описаны в документации.
6.7 Все встречающиеся в тексте примеры надписей на пультах, приборных досках и фирменных табличках, трафаретные наименования переключателей и их положений: команды, режимы работы, сигналы и т. п. должны быть выполнены в ЭД прописными буквами и заключены в кавьнки.
6.8 При издании ЭД на иностранном языке текст выполняют с учетом требований международных стандартов натехншескую документацию.
Для изделий, поставляемых на экспорт, ЭД комплектуют без листов утверждения.
6.9 При поставке изделий на экспорт непосредственно из эксплуатирующих организаций ЭД оформляют согласно настоящему стандарту, нормативным документам в этой области и дополнительным указаниям потребителя для этих организаций.
20
ГОСТ 2601-2013
6.10 Для обеспечения нагладности, облетения восприятия содержания излагаемого текста и его пояснения применяют различные табличные формы и граф веские иллюстрации.
6.11 Графические иллюстрации следует представлять в векторном (штриховом) виде. Допускается при согласии заказчика использовать тоновые иллюстрации (фотографии) при услов ии, что они удовл етв оряют требованиям по яс ной в изуализации деталей.
6.12 В графических иллюстрациях следует использовать следующие типы векторных изображений:
— аксонометрические изображения (проекции) по ГОСТ 2.317. Наиболее наглядный трехмерный вид представления деталей, агрегатов, узлов (см. рисунок Б.1, приложение Б);
— перспективные изображения. Обычно используют только для очень больших агрегатов. Перспективные изображения также допускается использовать для схем размещения;
— ортогональные изображения. Используют в случае, если этот тип иллюстрации дает наглядное представление. В тех случаях, когда детали или порадок разборки могут быть однозначно идентифицированы с помощью вида сверху, такое представление также может быть использовано в качестве иллюстрации. Эта форма рекомендуется для монтажных и электрических схем и т. д.;
— диаграммы/схемы. Эти типы изображения используют для пояснения работы систем (например, гидравлической) или схем (например, электршеской и т. д.);
— графики. Эти типы представления предназначены для показа отношений между различными параметрами;
— чертежи.
6.13 Во всех иллюстрациях следует соблюдать однообразие графического исполнения, оформления и принятых условных обозначений. Общие требования к выполнению элементов иллюстраций приведены в приложении В.
6.14 При выполнении иллюстраций соблюдают следующие общие правила:
21
ГОСТ 2.601-2013
— иллюстрации должны быть расположены как можно ближе к соответствующим частям текста, а количество иллюстраций должно быть достаточным для правильного понимания текста;
— иллюстрации должны быть представлены в виде и масштабе, наиболее благоприятном для восприятия, а, в случае необходимости, для наглядности должны быть использованы схема размещения и/ил и указатели направления;
— иллюстрации должны быть достаточно наглядными и простыми и должны иметь только необходимую информацию, непосредственно относящуюся к тексту. Следует избегать дубл иров ания иллюстраций;
— следует избегать включения в иллюстрации несущественных деталей, таких как невидимые полости или детали, обозначаемые пунктирными линиями, лишние элементы, которые не поясняются в тексте. Точное представление подробностей, типа резьбы на винтах или вид головки болта могут б
