Единая система конструкторской документации. Эксплуатационные документы

Страница 1

Страница 2

Страница 3

Страница 4

Страница 5

Страница 6

Страница 7

Страница 8

Страница 9

Страница 10

Страница 11

Страница 12

Страница 13

Страница 14

Страница 15

Страница 16

Страница 17

Страница 18

Страница 19

Страница 20

Страница 21

Страница 22

Страница 23

Страница 24

Страница 25

Страница 26

Страница 27

Страница 28

Страница 29

Страница 30

Страница 31

Страница 32

Страница 33

Страница 34

Страница 35
МЕЖГОСУДАРСТВЕННЫЙ СОВЕТ ПО СТАНДАРТИЗАЦИИ, МЕТРОЛОГИИ И СЕРТИФИКАЦИИ
(МГС)
INTERSTATE COUNCIL FOR STANDARDIZATION, METROLOGY AND CERTIFICATION
(ISC)
ГОСТ
МЕЖГОСУДАРСТВЕННЫЙ
стандарт 2.601 —
2006
Единая система конструкторской документации ЭКСПЛУАТАЦИОННЫЕ ДОКУМЕНТЫ
Издание официальное
сч
1^
5
<Б
о
о
сч
со
ш
Москва
Стандартинформ
2006
Предисловие
Цели, основные принципы и основной порядок проведения работ по межгосударственной стандартизации установлены ГОСТ 1.0-92 «Межгосударственная система стандартизации. Основные положения» и ГОСТ 1.2-97 «Межгосударственная система стандартизации. Стандарты межгосударственные, правила и рекомендации по межгосударственной стандартизации. Порядок разработки, принятия, применения, обновления, отмены»
Сведения о стандарте
1 РАЗРАБОТАН Федеральным государственным унитарным предприятием Всероссийским научно-исследовательским институтом стандартизации и сертификации в машиностроении (ВНИИНМАШ), Автономной некоммерческой организацией Научно-исследовательским центром CALS-технологий «Прикладная логистика» (АНО НИЦ CALS-технологий «Прикладная логистика»)
2 ВНЕСЕН Федеральным агентством по техническому регулированию и метрологии
3 ПРИНЯТ Межгосударственным советом по стандартизации, метрологии и сертификации (протокол № 23 от 28 февраля 2006 г.)
За принятие проголосовали:
|
Краткое наименование страны по МК (ИСО 3166) 004—97 |
Код страны по МК (ИСО 3166) 004—97 |
Сокращенное наименование национального органа по стандартизации |
|
Азербайджан |
AZ |
Азстандарт |
|
Армения |
AM |
Минторгэкономразвития |
|
Беларусь |
BY |
Госстандарт Республики Беларусь |
|
Казахстан |
KZ |
Госстандарт Республики Казахстан |
|
Кыргызстан |
KG |
Кыргызстандарт |
|
Молдова |
MD |
Молдова-Стандарт |
|
Российская Федерация |
RU |
Федеральное агентство по техническому регули |
|
рованию и метрологии |
||
|
Таджикистан |
TJ |
Таджикстандарт |
|
Туркменистан |
TM |
Главгосслужба «Туркменстандартлары» |
|
Узбекистан |
UZ |
Узстандарт |
|
Украина |
UA |
Госпотребстандарт Украины |
4 Приказом Федерального агентства по техническому регулированию и метрологии от 22 июня 2006 г. № 118-ст межгосударственный стандарт ГОСТ2.601—2006 введен в действие в качестве национального стандарта Российской Федерации с 1 сентября 2006 г.
5 ВЗАМЕН ГОСТ2.601—95
Информация о введении в действие (прекращении действия) настоящего стандарта публикуется в указателе «Национальные стандарты».
Информация об изменениях к настоящему стандарту публикуется в указателе (каталоге) «Национальные стандарты», а текст изменений — в информационных указателях «Национальные стандарты». В случае пересмотра или отмены настоящего стандарта соответствующая информация будет опубликована в информационном указателе «Национальные стандарты»
©Стандартинформ, 2006
В Российской Федерации настоящий стандарт не может быть полностью или частично воспроизведен, тиражирован и распространен в качестве официального издания без разрешения Федерального агентства по техническому регулированию и метрологии
Содержание
1 Область применения……………………………………………1
2 Нормативные ссылки…………………………………………..1
3 Термины, определения и сокращения………………………………….2
3.1 Термины и определения……………………………………….2
3.2 Сокращения……………………………………………..3
4 Общие требования…………………………………………….3
5 Виды и комплектность эксплуатационных документов…………………………4
5.1 Виды эксплуатационных документов………………………………..4
5.2 Комплектность эксплуатационных документов…………………………..5
6 Общие требования к изложению текста эксплуатационных документов……………….8
7 Порядок записи сведений о драгоценных материалах и цветных металлах…………….12
8 Правила комплектования и оформления……………………………….12
8.1 Общие требования к комплектованию и оформлению……………………..12
8.2 Правила комплектования и оформления эксплуатационных документов в бумажной
форме…………………………………………………..12
8.3 Правила комплектования и оформления эксплуатационных документов в электронной
форме…………………………………………………..13
Приложение А (рекомендуемое) Общие требования к элементам иллюстраций………….15
Приложение Б (справочное) Пример указания требований для выполнения иллюстраций……19
Приложение В (рекомендуемое) Оформление эксплуатационной документации на изделия
с многоступенчатой системой деления на составные части…………….20
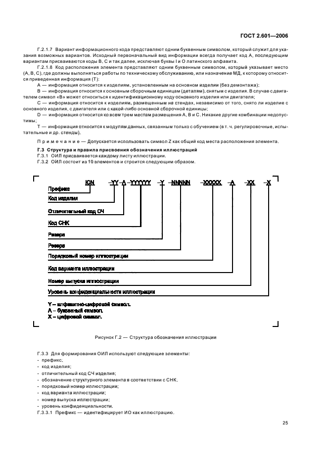
Приложение Г (рекомендуемое) Правила присвоения обозначения модулей данных и иллюстраций …………………………………………..24
Г.1 Общие положения………………………………………….24
Г.2 Структура и правила присвоения обозначения модулей данных………………..24
Г.3 Структура и правила присвоения обозначения иллюстраций………………….25
Приложение Д (рекомендуемое) Примеры оформления эксплуатационных документов……..28
Приложение Е (справочное) Комментарии к пунктам стандарта…………………..30
Библиография………………………………………………..31
МЕЖГОСУДАРСТВЕННЫЙ СТАНДАРТ
Единая система конструкторской документации
ЭКСПЛУАТАЦИОННЫЕ ДОКУМЕНТЫ
Unified system for design documentation. Exploitative documents
Дата введения — 2006—09—01
1 Область применения
Настоящий стандарт устанавливает виды, комплектность и общие требования к выполнению эксплуатационных документов (далее — ЭД).
На основе настоящего стандарта допускается, при необходимости, разрабатывать стандарты, устанавливающие виды, комплектность и общие требования к выполнению ЭД на изделия конкретных видов техники с учетом их специфики.
2 Нормативные ссылки
В настоящем стандарте использованы ссылки на следующие межгосударственные стандарты: ГОСТ 2.051-2006 Единая система конструкторской документации. Электронные документы. Общие положения
ГОСТ 2.102-68 Единая система конструкторской документации. Виды и комплектность конструкторских документов
ГОСТ 2.104-2006 Единая система конструкторской документации. Основные надписи ГОСТ 2.105-95 Единая система конструкторской документации. Общие требования ктекстовым документам
ГОСТ 2.201-80 Единая система конструкторской документации. Обозначения изделий и конструкторских документов
ГОСТ 2.301-68 Единая система конструкторской документации. Форматы ГОСТ 2.304-81 Единая система конструкторской документации. Шрифты чертежные ГОСТ 2.503-90 Единая система конструкторской документации. Правила внесения изменений ГОСТ 2.605-68 Единая система конструкторской документации. Плакаты учебно-технические. Общие технические требования
ГОСТ 2.608-78 Единая система конструкторской документации. Порядок записи сведений о драгоценных материалах в эксплуатационных документах
ГОСТ 2.610-2006 Единая система конструкторской документации. Правила выполнения эксплуатационных документов
ГОСТ 2.701-84 Единая система конструкторской документации. Схемы. Виды и типы. Общие требования к выполнению
ГОСТ 5773-90 Издания книжные и журнальные. Форматы
ГОСТ 1639-93 Лом и отходы цветных металлов и сплавов. Общие технические условия ГОСТ 18322-78 Система технического обслуживания и ремонта техники. Термины и определения
ГОСТ 22240-76 Обложки и крышки переплетные. Типы
Примечание — При пользовании настоящим стандартом целесообразно проверить действие ссылочных стандартов по указателю «Национальные стандарты», составленному по состоянию на 1 января текущего года, и по соответствующим информационным указателям, опубликованным в текущем году. Если ссылочный стандарт заменен (изменен), то при пользовании настоящим стандартом следует руководствоваться замененным (измененным) стандартом. Если ссылочный стандарт отменен без замены, то положение, в котором дана ссылка на него, применяется в части, не затрагивающей эту ссылку.
3 Термины, определения и сокращения
3.1 Термины и определения
В настоящем стандарте применены следующие термины с соответствующими определениями:
3.1.1 эксплуатационный документ: Конструкторский документ, который в отдельности или в совокупности с другими документами определяет правила эксплуатации изделия и (или) отражает сведения, удостоверяющие гарантированные изготовителем значения основных параметров и характеристик (свойств) изделия, гарантии и сведения по егоэксплуатации в течение установленного срока службы.
3.1.2 эксплуатация изделия: Стадия жизненного цикла изделия с момента принятия его потребителем от предприятия-изготовителя или ремонтного предприятия доотправки в ремонт или списания12).
3.1.3 техническое состояние изделия: Совокупность подверженных изменению свойств изделия, в определенный момент времени характеризуемая степенью соответствия фактических значений показателей и/или качественных признаков, установленных в эксплуатационных и/или нормативных документах.
3.1.4 сведения о процессе эксплуатации: Длительность и условия работы, проведение технического обслуживания, ремонта и другие данные.
3.1.5
информационный объект: Совокупность данных, обладающая атрибутами (свойствами) и методами, позволяющими определенным образом обрабатывать данные.
[ГОСТ 2.053-2006, статья 3.1.5]
Примечание — В эксплуатационных документах информационный объект представляет собой смысловую и/или структурную единицу технической информации.
3.1.6 интерактивное электронное техническое руководство: Обобщенное название для взаимосвязанной совокупности эксплуатационных документов, выполненных в форме интерактивного электронного документа по ГОСТ 2.051 и, как правило, содержащихся в одной общей базе данных эксплуатационной документации.
3.1.7 перечень действующих документов: Перечень электронных эксплуатационных документов, получаемых из общей базы данных эксплуатационной документации*.
3.1.8 обозначение иллюстрации: Идентификатор иллюстрации в общей базе данных и/или поставляемой базе данных эксплуатационной документации.
3.1.9 стиль: Перечень связанных с информационным объектом правил, регламентирующих отображение данных на устройстве вывода (шрифта, размера, цвета и т. д.).
3.1.10 электронная система отображения: Комплекс программно-технических средств для воспроизведения данных, содержащихся в интерактивном электронном документе.
3.1.11 модуль данных: Совокупность взаимосвязанных технических сведений по эксплуатации изделия, относящихся к определенной тематике и не допускающих дальнейшего их дробления на составные части.
3.1.12 код модуля данных: Стандартизованный структурированный адрес, который используется для включения модулей данных в общей БД эксплуатационной документации изделия, поиска и получения доступа к ним.
3.1.13 общая база данных эксплуатационной документации: Автоматизированная система хранения и управления модулями данных, входящими в состав эксплуатационной документации на изделие, позволяющая по запросу получить в электронной или бумажной форме конкретный эксплуатационный документ.*
3.2 Сокращения
В настоящем стандарте применены следующие сокращения:
АС — автоматизированная система;
БД — база данных;
ДЭ — электронный конструкторский документ;
ЗИП — запасные части, инструменты и принадлежности;
ИО — информационный объект;
ИЭД — интерактивный электронный документ;
КД — конструкторская документация;
МД — модуль данных;
НД — нормативный документ;
ОИЛ — обозначение иллюстрации;
ОМД — обозначение модуля данных;
ПЗК — портативный защищенный компьютер;
ОБДЭ — общая база данных эксплуатационной документации;
СНК — система нумерации и кодирования;
СЕ — сборочная единица;
СЧ — составная часть;
ЭВМ — электронно-вычислительная машина;
ЭД — эксплуатационные документы;
ЭСО — электронная система отображения;
ЭЦП — электронная цифровая подпись.
4 Общие требования
4.1 ЭД предназначены для эксплуатации изделий, ознакомления с их конструкцией, изучения правил эксплуатации (использования по назначению, технического обслуживания, текущего ремонта, хранения и транспортирования), отражения сведений, удостоверяющих гарантированные изготовителем значения основных параметров и характеристик (свойств) изделия, гарантий и сведений по его эксплуатации за весь период (длительность и условия работы, техническое обслуживание, ремонт и другие данные), а также сведений по его утилизации.
4.2 Сведения об изделии, помещаемые в ЭД, должны быть достаточными для обеспечения правильной и безопасной эксплуатации изделий в течение установленного срока службы. При необходимости в ЭД приводят указания о требуемом уровне подготовки обслуживающего персонала.
4.3 ЭД, поставляемые с изделием, должны полностью ему соответствовать.
4.4 При разработке ЭД следует использовать термины и определения в области обслуживания и ремонта в соответствии с ГОСТ 18322.
4.5 ЭД разрабатывают на основе:
— рабочей конструкторской документации по ГОСТ 2.102;
— опыта эксплуатации аналогичных изделий;
— анализа эксплуатационной технологичности изделий и их составных частей;
— результатов исследования надежности изделий данного типа и аналогичных изделий;
— результатов научно-исследовательских работ, направленных на повышение качества эксплуатации изделий (при наличии).
4.6 Изложение текста ЭД и титульный лист выполняют в соответствии с требованиями настоящего стандарта и ГОСТ 2.105.
Схемы в ЭД выполняют в соответствии с требованиями ГОСТ 2.701.
4.7 Правила выполнения ЭД — по ГОСТ2.610.
4.8 ЭД могут быть выполнены в бумажной и/или электронной форме. Документы одного вида и наименования, независимо от формы выполнения, являются равноправными и взаимозаменяемыми.
4.9 Виды, комплектность и форму выполнения ЭД устанавливает разработчик, если это не оговорено в техническом задании. Для ЭД на изделия, разработанные по заказу Министерства обороны, это решение должно быть согласовано с заказчиком (представительством заказчика).
4.10 ЭД в электронной форме могут быть выполнены в виде ИЭД по ГОСТ 2.051. Как правило, такие ЭД выполняют при необходимости предоставления в интерактивном режиме эксплуатирующему персоналу:
— указаний, необходимых для правильной и безопасной эксплуатации изделия;
— сведений о конструкции, принципе действия, характеристиках (свойствах) изделия и его составных частей;
— сведений, относящихся к использованию изделия по назначению, оценке его технического состояния;
— сведений, относящихся к техническому обслуживанию, текущему ремонту, хранению, транспортированию и утилизации изделия.
4.11 При выполнении ЭД в виде ИЭД и передачи их заказчику (потребителю) следует, при необходимости, в состав поставки включать программно-технические средства, обеспечивающие визуализацию содержащейся в ЭД информации и интерактивное взаимодействие с пользователем.
4.12 ЭД, выполненные в виде ИЭД, в зависимости от механизма обработки содержательной части и программно-аппаратного обеспечения, применяемого для визуализации документации, подразделяют на следующие типы:
— структурированные, представляющие собой структурированную совокупность ИО с возможностями навигации по содержанию документа и поиска нужной информации;
— модульные, предусматривающие основанное на применении базы данных хранение всехтехни-ческих сведений, структурированных в БД и оформленных в виде МД, из которой по запросу пользователя можно сформировать требуемые ЭД для их просмотра на экране средствами ЭСО;
— интегрированные, предусматривающие хранение в БД всех технических сведений в виде МД, при этом для формирования и визуализации средствами ЭСО требуемых ЭД или их структурных элементов используют принципы экспертных систем, а также интеграцию с программными средствами, не входящими в ИЭД;*
— Интернет-ориентированные, предназначенные для размещения в глобальной сети Интернет и, как правило, представляющие собой набор сформированных ЭД или БД, содержащую совокупность МД и позволяющую формировать требуемые ЭД. Как правило, Интернет-ориентированные ЭД представляют в форматах, определяемых [1] или [2].
4.13 В ЭД, поставляемой с изделием, должна содержаться следующая информация:
— наименование страны-изготовителя и предприятия-изготовителя;
— наименование и обозначение стандарта или технических условий;
— основное назначение, сведения об основных технических данных и потребительских свойствах изделия;
— правила и условия эффективного и безопасного использования, хранения, транспортирования и утилизации изделия;
— ресурс, срокслужбы и сведения о необходимыхдействиях потребителя по его истечении, а также информация о возможных последствиях при невыполнении указанных действий (сведения о необходимыхдействиях по истечении указанных ресурсов, сроков службы, а также возможных последствиях при невыполнении этих действий приводят, если изделие по истечении указанных ресурса и сроков может представлять опасность для жизни, здоровья потребителя (пользователя), причинять вред его имуществу или окружающей среде либо оно становится непригодным для использования по назначению. Перечень таких изделий составляют в установленном порядке);
— гарантии изготовителя (поставщика) (в установленном законодательством порядке);
— сведения о сертификации (при наличии);
— сведения о приемке;
— юридический адрес изготовителя (поставщика) и (или) продавца;
— сведения о цене и условиях приобретения изделия (приводит, при необходимости, изготовитель (поставщик) либо продавец). Для изделий, разрабатываемых и (или) поставляемых по заказам Министерства обороны, эти сведения и условия не приводят.
5 Виды и комплектность эксплуатационных документов
5.1 Виды эксплуатационных документов
5.1.1 К эксплуатационным документам относят текстовые, графические и мультимедийные конструкторские документы, которые в отдельности или в совокупности дают возможность ознакомления с изделием и определяют правила его эксплуатации.
5.1.2 ЭД подразделяют на виды, указанные в таблице 1.
|
Таблица 1 — Виды эксплуатационных документов |
||||
|
5.2 Комплектность эксплуатационных документов
5.2.1 Номенклатуру ЭД, необходимую для обеспечения эксплуатации изделия, устанавливают в соответствии с таблицей 2.
|
Таблица 2 — Номенклатура эксплуатационных документов |
||||||||||||||||||||||||||||||||||||||||||||||||
|
|
Окончание таблицы 2 |
||||||||||||
|
||||||||||||
5.2.2 В ЭД на изделие включают в необходимых объемах сведения об изделии в целом и составных частях, установленных на изделии к моменту поставки его заказчику (потребителю).
ЭД на составные части изделия допускается включать в состав ЭД на изделие по согласованию с заказчиком (при наличии), при этом в ЭД на изделие не повторяют содержание документов на его составные части.
Описание и правила эксплуатации составныхчастей, в том числе покупных изделий, должны быть, как правило, включены в соответствующие ЭД на изделие в качестве их самостоятельных разделов, подразделов и пунктов.
5.2.3 В ЭД дают ссылки только на документы, включенные в ведомость эксплуатационных документов для данного изделия.
Приуказаниисведенийобизделиии(или) материале, изготовленных по стандартам или техническим условиям, в ЭД указывают обозначение соответствующих стандартов или технических условий.
5.2.4 В зависимости от особенностей изделия, объема сведений по нему и условий эксплуатации допускается:
— разделять документ на части в соответствии с ГОСТ 2.105;
— разрабатывать объединенные ЭД (допускается выпускать на изделие один ЭД).
Объединенному ЭД присваивают наименование и код вышестоящего документа, приведенного в
таблице 2.
Степень деления ЭД на части, разделы, подразделы и пункты определяет разработчик изделия в зависимости от объема помещаемых в ЭД сведений.
Допускается отдельные части, разделы и подразделы ЭД объединять или исключать, а также вводить новые.
5.2.5 На конструктивно простейшие изделия, объем сведений по которым незначителен, ЭД допускается не составлять, а необходимые сведения размещать (маркировать) на самом изделии или на фирменной табличке, прикрепляемой к нему.
5.2.6 Специальные требования, относящиеся к использованию по назначению, техническому обслуживанию, текущему ремонту, хранению, транспортированию и утилизации, для удобства использования допускается оформлять в виде самостоятельных частей ЭД, приложений к ним или специальных инструкций. В качестве самостоятельных частей и приложений к документам, указанным в таблице 2, как правило, выполняют:
— памятки по обращению с изделием;
— специальные формуляры (например, формуляр шумности, по аварийно-спасательному обеспечению);
— ведомости (например, ведомости размещения ЗИП, имущества);
— нормировочные документы (например, нормы времени, трудоемкости выполнения отдельных работ);
— сервисные книжки по обслуживанию изделия, гарантийные талоны;
— спецификации комплектов специального назначения.
В качестве специальных инструкций, как правило, выполняют:
— инструкции для отдельных специалистов обслуживающего персонала;
— инструкции по мерам безопасности;
— инструкции по проверке специальных контрольно-измерительных приборов и оборудования;
— инструкции по проведению специальных работ, проверок и испытаний изделий на промежуточных пунктах (базах, складах);
— инструкции по утилизации, инструкции по переводу изделия в категорию утилизируемого;
— инструкции по защите информации и др.
Для изделий, разрабатываемых по заказу Министерства обороны, номенклатура, структура и содержание приложений и специальных инструкций должны быть согласованы с заказчиком (представительством заказчика). Эти документы следует включать в ВЭ.
5.2.7 В качестве ЭД или в составе ихдля изделий единичного производства допускается использовать конструкторские документы, предусмотренные ГОСТ 2.102, перечень которых согласовывают с заказчиком. Эти документы включают в ВЭ.
6 Общие требования к изложению текста эксплуатационных документов
6.1 В тексте документа при изложении указаний о проведении работ применяют глаголы в повелительном наклонении, например, «Открыть люк…», «Нажать кнопку…» и т. п.
6.2 Описание порядка выполнения каких-либо работ дается в логической последовательности их выполнения.
Перечень работ допускается оформлять в виде таблицы.
6.3 Если информация относится только к изделиям определенных серий или заводских номеров, то перед изложением этой информации после слова «ВНИМАНИЕ» приводят указание о распространении ее на соответствующие номера изделий (серии).
6.4 Общее построение ЭД следует выполнять в соответствии с требованиями ГОСТ 2.105. Для изделий с многоступенчатой системой деления на составные части рекомендуется ЭД оформлять с применением блочного принципа построения документов (см. приложение В). В этом случае ЭД делят на структурные элементы, как правило, в соответствии с конструктивным делением изделия на составные части*.
Для структурных элементов ЭД устанавливают систему нумерации и кодирования, которую, как правило, устанавливают в нормативных документах на конкретные виды (группы) изделий с учетом их сложности и конструктивных особенностей.
6.5 При разработке документов особое внимание должно быть обращено на изложение требований к соблюдению мер безопасности при эксплуатации и ремонте изделий. Текст с предупреждениями и требованиями мер предосторожности должен всегда выделяться и со всей очевидностью показывать пользователю, что речь идет о предостережении или предупреждении. Рекомендуется использовать соответствующий графический символ или другой четко заметный знак.
В тексте этим требованиям должны предшествовать предупреждающие слова «ПРЕДОСТЕРЕЖЕНИЕ», «ВНИМАНИЕ», «ЗАПРЕЩАЕТСЯ».
Предупреждающие слова общего характера, распространяющиеся на весь документ, допускается выполнять предшествующими основному тексту документа. Например, если при выполнении каких-либо работ технического обслуживания присутствует одна и та же опасность, рекомендуется в тексте руководства (инструкции) поместить эти слова один раз в начале.
Слово «ПРЕДОСТЕРЕЖЕНИЕ» используют, когда нужно идентифицировать явную опасность для человека, выполняющего те или иные действия, или риск повреждения изделия.
Слово «ВНИМАНИЕ» используют, когда нужно привлечь внимание персонала к способам и приемам, которые следует точно выполнять во избежание ошибок при эксплуатации и ремонте изделия или в случае, когда требуется повышенная осторожность в обращении с изделием или материалами.
Слово «ЗАПРЕЩАЕТСЯ» используют, когда нарушение установленныхограничений или несоблюдение требований, касающихся использования материалов, способов и приемов обращения с изделием, может привести к нарушению мер безопасности.
Предупреждающие слова общего характера, распространяющиеся на весь документ, допускается выполнять предшествующими основному тексту документа. Например, если при выполнении как
