Основные нормы взаимозаменяемости. Единая система допусков и посадок. Поля допусков деталей из пластмасс
Заменяет

Страница 1

Страница 2

Страница 3

Страница 4

Страница 5

Страница 6

Страница 7

Страница 8

Страница 9

Страница 10

Страница 11

Страница 12
ГОСУДАРСТВЕННЫЙ СТАНДАРТ СОЮЗА ССР
ОСНОВНЫЕ НОРМЫ ВЗАИМОЗАМЕНЯЕМОСТИ
ЕДИНАЯ СИСТЕМА ДОПУСКОВ И ПОСАДОК
ПОЛЯ ДОПУСКОВ ДЕТАЛЕЙ ИЗ ПЛАСТМАСС
ГОСТ 25349-88
(СТ СЭВ 179-87)
ГОСУДАРСТВЕННЫЙ КОМИТЕТ СССР ПО СТАНДАРТАМ
Москва
ГОСУДАРСТВЕННЫЙ СТАНДАРТ СОЮЗА ССР
|
Основные нормы взаимозаменяемости ЕДИНАЯ СИСТЕМА ДОПУСКОВ И ПОСАДОК Поля допусков деталей из пластмасс Basic norms of interchangeability. |
ГОСТ (CT CЭB 179-87) |
Дата введения 01.07.1990
Настоящий стандарт устанавливает поля допусков и предельные отклонения для гладких сопрягаемых и несопрягаемых элементов деталей из пластмасс с номинальными размерами до 3150 мм.
Основные положения Единой системы допусков и посадок (ЕСДП), термины, числовые значения допусков и основных отклонений, правила образования полей допусков и посадок, обозначения — по ГОСТ 25346-82.
Допуски и предельные отклонения, установленные в настоящем стандарте, относятся к размерам деталей при температуре 20 °С и относительной влажности окружающего воздуха 50 %.
1. Поля допусков деталей из пластмасс должны соответствовать указанным в табл. 1 и 2 для номинальных размеров до 500 мм и в табл. 3 и 4 — для номинальных размеров св. 500 до 3150 мм.
Примечание. Поля допусков, приведенные в табл. 1 — 4, являются ограничительным отбором из совокупности полей допусков по ГОСТ 25347-82, а также включают поля допусков, не предусмотренные ГОСТ 25347-82, но образованные по ГОСТ 25346-82.
2. В обоснованных случаях, для обеспечения требований к изделиям из пластмасс, допускается применять другие поля допусков по ГОСТ 25347-82, не приведенные в табл. 1 — 4 настоящего стандарта, а также дополнительные поля допусков, предусмотренные в приложении 1.
Таблица 1
Поля допусков валов для номинальных размеров до 500 мм
|
Квалитет |
Основные отклонения |
|||||||||||||||
|
a |
b |
с |
d |
е |
f |
h |
js |
k |
u |
x |
у |
z |
za |
zb |
zc |
|
|
8 |
— |
— |
с8 |
d8 |
е8 |
f8 |
h8 |
js8* |
k8** |
u8 |
x8 |
— |
z8 |
— |
— |
— |
|
9 |
— |
— |
— |
d9 |
е9 |
f9 |
h9 |
js9* |
k9** |
— |
— |
— |
— |
— |
— |
— |
|
10 |
— |
— |
— |
d10 |
— |
— |
h10 |
js10* |
k10** |
— |
x10** |
y10** |
z10** |
za10** |
zb10** |
zc10** |
|
11 |
a11 |
b11 |
e11 |
d11 |
— |
— |
h11 |
js11* |
k11** |
— |
— |
— |
— |
— |
— |
zc11** |
|
12 |
— |
b12 |
— |
— |
— |
— |
h12 |
js12* |
— |
— |
— |
— |
— |
— |
— |
— |
|
13 |
— |
— |
— |
— |
— |
h13 |
js13* |
— |
— |
— |
— |
— |
— |
— |
— |
|
|
14 |
— |
— |
— |
— |
— |
— |
h14* |
js14* |
— |
— |
— |
— |
— |
— |
— |
— |
|
15 |
— |
— |
— |
— |
— |
— |
h15* |
js15* |
— |
— |
— |
— |
— |
— |
— |
— |
|
16 |
— |
— |
— |
— |
— |
— |
h16* |
js16* |
— |
— |
— |
— |
— |
— |
— |
— |
|
17 |
— |
— |
— |
— |
— |
— |
h17* |
js17* |
— |
— |
— |
— |
— |
— |
— |
— |
|
18 |
— |
— |
— |
— |
— |
— |
h18* |
js18* |
— |
— |
— |
— |
— |
— |
— |
— |
* Поля допусков, не рекомендуемые для посадок.
** Поля допусков, не предусмотренные ГОСТ 25347-82.
Таблица 2
Поля допусков отверстий для номинальных размеров до 500 мм
|
Квалитет |
Основные отклонения |
|||||||||||||||
|
А |
в |
с |
D |
Е |
F |
н |
JS |
N |
U |
X |
Y |
z |
ZA |
ZB |
ZC |
|
|
8 |
— |
— |
— |
D8 |
Е8 |
F8 |
Н8 |
JS8* |
N8 |
U8 |
— |
— |
— |
— |
— |
— |
|
9 |
— |
— |
— |
D9 |
Е9 |
F9 |
Н9 |
JS9* |
N9 |
— |
— |
— |
— |
— |
— |
— |
|
10 |
— |
— |
— |
D10 |
— |
— |
Н10 |
JS10* |
N10** |
— |
X10** |
Y10** |
Z10** |
ZA10** |
ZB10** |
ZC10** |
|
11 |
A11 |
В11 |
С11 |
D11 |
— |
— |
Н11 |
JS11* |
N11** |
— |
— |
— |
— |
— |
— |
ZC11** |
|
12 |
— |
В12 |
— |
— |
— |
— |
Н12 |
JS12* |
— |
— |
— |
— |
— |
— |
— |
— |
|
13 |
— |
— |
— |
— |
— |
— |
Н13 |
JS13* |
— |
— |
— |
— |
— |
— |
— |
— |
|
14 |
— |
— |
— |
— |
— |
Н14* |
JS14* |
— |
— |
— |
— |
— |
— |
— |
— |
|
|
15 |
— |
— |
— |
— |
— |
— |
H15* |
JS15* |
— |
— |
— |
— |
— |
— |
— |
— |
|
16 |
— |
— |
— |
— |
— |
— |
H16* |
JS16* |
— |
— |
— |
— |
— |
— |
— |
— |
|
17 |
— |
— |
— |
— |
— |
— |
H17* |
JS17* |
— |
— |
— |
— |
— |
— |
— |
— |
|
18 |
— |
— |
— |
— |
— |
— |
Н18* |
JS18* |
— |
— |
— |
— |
— |
— |
— |
— |
* Поля допусков, не рекомендуемые для посадок.
** Поля допусков, не предусмотренные ГОСТ 25347-82.
Таблица 3
Поля допусков валов для номинальных размеров св. 500 до 3150 мм
|
Квалитет |
Основные отклонения |
||||||
|
с |
cd |
d |
e |
f |
H |
js |
|
|
8 |
— |
— |
— |
— |
— |
h8 |
js8* |
|
9 |
— |
— |
d9 |
e9 |
f9 |
h9 |
js9* |
|
10 |
— |
— |
d10 |
— |
— |
h10 |
js10* |
|
11 |
c11 |
cd11 |
d11 |
— |
— |
h11 |
js11* |
|
12 |
с12** |
— |
— |
— |
— |
h12 |
js12* |
|
13 |
— |
— |
— |
— |
h13 |
js13* |
|
|
14 |
— |
— |
— |
— |
h14* |
js14* |
|
|
15 |
— |
— |
— |
— |
— |
h15* |
js15* |
|
16 |
— |
— |
h16* |
js16* |
|||
|
17 |
— |
— |
— |
— |
— |
h17* |
js17* |
|
18 |
— |
— |
— |
— |
— |
h18* |
js18* |
* Поля допусков, не рекомендуемые для посадок.
** Поле допуска, не предусмотренное ГОСТ 25347-82.
Таблица 4
Поля допусков отверстий для номинальных размеров св. 500 до 3150 мм
|
Квалитет |
Основные отклонения |
|||||||
|
С |
CD |
D |
E |
F |
H |
JS |
||
|
8 |
— |
— |
— |
— |
— |
H8 |
JS8* |
|
|
9 |
— |
— |
D9 |
Е9 |
F9 |
H9 |
JS9* |
|
|
10 |
— |
— |
D10 |
— |
— |
H10 |
JS10* |
|
|
11 |
С11 |
CD11 |
D11 |
— |
— |
H11 |
JS11* |
|
|
12 |
С12** |
— |
— |
— |
— |
H12 |
JS12* |
|
|
13 |
— |
— |
— |
— |
— |
H13 |
JS13* |
|
|
14 |
— |
— |
— |
— |
— |
H14* |
JS14* |
|
|
15 |
— |
— |
— |
— |
— |
H15* |
JS15* |
|
|
16 |
— |
— |
— |
— |
— |
H16* |
JS16* |
|
|
17 |
— |
— |
— |
— |
— |
H17* |
JS17* |
|
|
18 |
— |
— |
— |
— |
— |
H18* |
JS18* |
|
* Поля допусков, не рекомендуемые для посадок.
** Поле допуска, не предусмотренное ГОСТ 25347-82.
3. Предельные отклонения валов и отверстий — по ГОСТ 25347-82; предельные отклонения для полей допусков, не предусмотренных в ГОСТ 25347-82, приведены в табл. 5 и 6 для номинальных размеров до 500 мм и в табл. 7 — для номинальных размеров св. 500 до 3150 мм.
Таблица 5
Предельные отклонения валов для номинальных размеров до 500 мм
|
Интервалы размеров, мм |
Поле допуска |
||||||||||
|
k8 |
k9 |
k10 |
x10 |
y10 |
z10 |
za10 |
zb10 |
zc10 |
k11 |
zc11 |
|
|
Предельные отклонения, мкм |
|||||||||||
|
До 3 |
+ 14 0 |
+ 5 0 |
+ 40 0 |
— |
— |
+ 66 + 26 |
— |
+ 80 + 40 |
+ 100 + 60 |
+ 60 0 |
+ 120 + 60 |
|
Св. 3 до 6 |
+ 18 0 |
+ 0 0 |
+ 48 0 |
— |
— |
+ 83 + 35 |
— |
+ 98 + 50 |
+ 128 + 80 |
+ 75 0 |
+ 155 + 80 |
|
Св. 6 до 10 |
+ 22 0 |
+ 6 0 + 3 0 |
+ 58 0 |
— |
— |
+ 100 + 42 |
— |
+ 125 + 67 |
+ 155 + 97 |
+ 90 0 |
+ 187 + 97 |
|
Св. 10 до 14 |
+ 27 0 |
+ 70 0 |
— |
— |
+ 20 + 50 |
— |
+ 160 + 90 |
+ 200 + 130 |
+ 110 0 |
+ 240 + 130 |
|
|
Св. 14 до 18 |
— |
— |
+ 130 + 60 |
— |
+ 178 + 108 |
+ 220 + 150 |
+ 260 + 150 |
||||
|
Св. 18 до 24 |
+ 33 0 |
+ 2 0 |
+ 84 0 |
— |
+ 147 + 63 |
+ 157 + 73 |
+ 182 + 98 |
+ 220 + 136 |
+ 272 + 188 |
+ 130 0 |
+ 18 + 88 |
|
Св. 24 до 30 |
— |
+ 159 + 75 |
+ 72 + 88 |
+ 202 + 118 |
+ 244 + 160 |
+ 302 + 218 |
+ 348 + 218 |
||||
|
Св. 30 до 40 |
+ 39 0 |
+ 2 0 |
+ 100 0 |
+ 180 + 80 |
+ 194 + 94 |
+ 212 + 112 |
+ 248 + 148 |
+ 300 + 200 |
+ 374 + 274 |
+ 160 0 |
+ 434 + 274 |
|
Св. 40 до 50 |
+ 197 + 97 |
+ 214 + 114 |
+ 236 + 136 |
+ 280 + 180 |
+ 342 + 242 |
+ 425 + 325 |
+ 485 + 325 |
||||
|
Св. 50 до 65 |
+ 46 0 |
+ 4 0 |
+ 20 0 |
+ 242 + 122 |
+ 264 + 144 |
+ 292 + 172 |
+ 346 + 226 |
+ 420 + 300 |
+ 525 + 405 |
+ 90 0 |
+ 595 + 405 |
|
Св. 65 до 80 |
+ 266 + 146 |
+ 294 + 174 |
+ 330 + 10 |
+ 394 + 274 |
+ 480 + 360 |
+ 600 + 480 |
+ 670 + 80 |
||||
|
Св. 80 до 100 |
+ 54 0 |
+ 7 0 |
+ 40 0 |
+ 318 + 178 |
+ 354 + 214 |
+ 398 + 258 |
+ 475 + 335 |
+ 585 + 445 |
+ 725 + 585 |
+ 220 0 |
+ 805 + 585 |
|
Св. 100 до 120 |
+ 54 0 |
+ 7 0 |
+ 140 0 |
+ 350 + 210 |
+ 394 + 54 |
+ 450 + 310 |
+ 540 + 400 |
+ 665 + 525 |
+ 830 + 690 |
+ 20 0 |
+ 910 + 690 |
|
Св. 120 до 140 |
+ 63 0 |
+ 00 0 |
+ 160 0 |
+ 408 + 48 |
+ 460 + 300 |
+ 525 + 365 |
+ 630 + 470 |
+ 780 + 620 |
+ 960 + 800 |
+ 250 0 |
+ 1050 + 800 |
|
Св. 140 до 160 |
+ 440 + 280 |
+ 500 + 340 |
+ 575 + 415 |
+ 695 + 535 |
+ 860 + 700 |
+ 1060 + 900 |
+ 1150 + 900 |
||||
|
Св. 160 до 180 |
+ 470 + 310 |
+ 540 + 380 |
+ 625 + 465 |
+ 760 + 600 |
+ 940 + 780 |
+ 1160 + 1000 |
+ 1250 + 000 |
||||
|
Св. 180 до 200 |
+ 2 0 |
+ 15 0 |
+ 850 |
+ 535 + 50 |
+ 610 + 425 |
+ 705 + 520 |
+ 855 + 670 |
+ 1065 + 880 |
+ 1335 + 1150 |
+ 290 0 |
+ 1440 + 1150 |
|
Св. 200 до 225 |
+ 570 + 385 |
+ 655 + 470 |
+ 760 + 575 |
+ 925 + 740 |
+ 1145 + 960 |
+ 1435 + 1250 |
+ 1540 + 1250 |
||||
|
Св. 225 до 250 |
+ 610 + 425 |
+ 705 + 520 |
+ 825 + 640 |
+ 005 + 820 |
+ 1235 + 1050 |
+ 1535 + 1350 |
+ 1640 + 1350 |
||||
|
Св. 250 до 280 |
+ 1 0 |
+ 30 0 |
+ 210 0 |
+ 685 + 475 |
+ 790 + 580 |
+ 920 + 710 |
+ 1130 + 920 |
+ 1410 + 1200 |
+ 1760 + 1550 |
+ 320 0 |
+ 1870 + 1550 |
|
Св. 280 до 315 |
+ 735 + 525 |
+ 860 + 650 |
+ 1000 + 790 |
+ 1210 + 1000 |
+ 1510 + 1300 |
+ 1910 + 1700 |
+ 2020 + 1700 |
||||
|
Св. 315 до 355 |
+ 9 0 |
+ 40 0 |
+ 230 0 |
+ 820 + 590 |
+ 960 + 730 |
+ 1130 + 900 |
+ 1380 + 1150 |
+ 1730 + 1500 |
+ 2130 + 1900 |
+ 360 0 |
+ 2260 + 1900 |
|
Св. 355 до 400 |
+ 890 + 660 |
+ 1050 + 820 |
+ 1230 + 1000 |
+ 1530 + 1300 |
+ 880 + 1650 |
+ 2330 + 2100 |
+ 2460 + 100 |
||||
|
Св. 400 до 450 |
+ 7 0 |
+ 155 0 |
+ 250 0 |
+ 990 + 740 |
+ 1170 + 920 |
+ 1350 + 1100 |
+ 1700 + 1450 |
+ 2100 + 1850 |
+ 2650 + 2400 |
+ 400 0 |
+ 2800 + 2400 |
|
Св. 450 до 500 |
+ 1070 + 820 |
+ 1250 + 1000 |
+ 1500 + 1250 |
+ 1850 + 1600 |
+ 2350 + 2100 |
+ 2850 + 2600 |
+ 3000 + 2600 |
||||
Таблица 6
Предельные отклонения отверстий для номинальных размеров до 500 мм
|
Интервалы размеров, мм |
Поле допуска |
|||||||||||||||||
|
N10 |
Х10 |
Y10 |
Z10 |
ZA10 |
ZB10 |
ZC10 |
N11 |
ZC11 |
||||||||||
|
Предельные отклонения, мкм |
||||||||||||||||||
|
До 3 |
— 4 — 44 |
— |
— |
— 26 — 66 |
— |
— 40 — 80 |
— 60 — 100 |
— 4 — 64 |
— 60 — 120 |
|||||||||
|
Св. 3 до 6 |
0 — 48 |
— |
— |
— 35 — 83 |
— |
— 50 — 98 |
— 80 — 128 |
0 — 75 |
— 80 — 155 |
|||||||||
|
Св. 6 до 10 |
0 — 58 |
— |
— |
— 42 — 100 |
— |
— 67 — 125 |
— 97 — 155 |
0 — 90 |
— 97 — 187 |
|||||||||
|
Св. 10 до 14 |
0 — 70 |
— |
— |
— 50 — 120 |
— |
— 90 — 160 |
— 130 — 200 |
0 — 110 |
— 130 — 240 |
|||||||||
|
Св. 14 до 18 |
— |
— |
— 60 — 130 |
— |
— 108 — 178 |
— 150 — 220 |
— 150 — 260 |
|||||||||||
|
Св. 18 до 24 |
0 — 84 |
— |
— 63 — 147 |
— 73 — 157 |
— 98 — 182 |
— 136 — 220 |
— 188 — 272 |
0 — 130 |
— 188 — 318 |
|||||||||
|
Св. 24 до 30 |
— |
— 75 — 159 |
— 88 — 172 |
— 118 — 202 |
— 160 — 244 |
— 218 — 302 |
— 218 — 348 |
|||||||||||
|
Св. 30 до 40 |
0 — 100 |
— 80 — 180 |
— 94 — 194 |
— 112 — 212 |
— 148 — 248 |
— 200 — 300 |
— 274 — 374 |
0 — 160 |
— 274 — 434 |
|||||||||
|
Св. 40 до 50 |
— 97 — 197 |
— 114 — 1214 |
— 136 — 236 |
— 180 — 280 |
— 242 — 342 |
— 325 — 425 |
— 325 — 485 |
|||||||||||
|
Св. 50 до 65 |
0 — 120 |
— 122 — 242 |
— 144 — 264 |
— 172 — 292 |
— 226 — 346 |
— 300 — 420 |
— 405 — 525 |
0 — 190 |
— 405 — 595 |
|||||||||
|
Св. 65 до 80 |
— 146 — 266 |
— 174 — 294 |
— 210 — 330 |
— 274 — 394 |
— 360 — 480 |
— 480 — 600 |
— 480 — 670 |
|||||||||||
|
Св. 80 до 100 |
0 — 140 |
— 178 — 318 |
— 214 — 354 |
— 258 — 398 |
— 335 — 475 |
— 445 — 585 |
— 585 — 725 |
0 — 220 |
— 585 — 805 |
|||||||||
|
Св. 100 до 120 |
0 — 140 |
— 210 — 350 |
— 254 — 394 |
— 310 — 450 |
— 400 — 540 |
— 525 — 665 |
— 690 — 830 |
0 — 220 |
— 690 — 910 |
|||||||||
|
Св. 120 до 140 |
0 — 160 |
— 248 — 408 |
— 300 — 460 |
— 365 — 525 |
— 470 — 630 |
— 620 — 780 |
— 800 — 960 |
0 — 250 |
— 800 — 1050 |
|||||||||
|
Св. 140 до 160 |
— 280 — 440 |
— 340 — 500 |
— 415 — 575 |
— 535 — 695 |
— 700 — 860 |
— 900 — 1060 |
— 900 — 1150 |
|||||||||||
|
Св. 160 до 180 |
— 310 — 470 |
— 380 — 540 |
— 465 — 625 |
— 600 — 760 |
— 780 — 940 |
— 1000 — 1160 |
— 1000 — 1250 |
|||||||||||
|
Св. 180 до 200 |
0 — 185 |
— 350 — 535 |
— 425 — 610 |
— 520 — 705 |
— 670 — 855 |
— 880 — 1065 |
— 1150 — 1335 |
0 — 290 |
— 1150 — 1440 |
|||||||||
|
Св. 200 до 225 |
— 385 — 570 |
— 470 — 655 |
— 575 — 760 |
— 740 — 925 |
— 960 — 1145 |
— 1250 — 1435 |
— 1250 — 1540 |
|||||||||||
|
Св. 225 до 250 |
— 425 — 610 |
— 520 — 705 |
— 640 — 825 |
— 820 — 1005 |
— 1050 — 1235 |
— 1350 — 1535 |
— 1350 — 1640 |
|||||||||||
|
Св. 250 до 280 |
0 — 210 |
— 475 — 685 |
— 580 — 790 |
— 710 — 920 |
— 920 — 1130 |
— 1200 — 1410 |
— 1550 — 1760 |
0 — 320 |
— 1550 — 1870 |
|||||||||
|
Св. 280 до 315 |
— 525 — 735 |
— 650 — 860 |
— 790 — 1000 |
— 1000 — 1210 |
— 1300 — 1510 |
— 1700 — 1910 |
— 1700 — 2020 |
|||||||||||
|
Св. 315 до 355 |
0 — 230 |
— 590 — 820 |
— 730 — 960 |
— 900 — 1130 |
— 1150 — 1380 |
— 1500 — 1730 |
— 1900 — 2130 |
0 — 360 |
— 1900 — 2260 |
|||||||||
|
Св. 355 до 400 |
— 660 — 890 |
— 820 — 1050 |
— 1000 — 1230 |
— 1300 — 1530 |
— 1650 — 1880 |
— 2100 — 2330 |
— 2100 — 2460 |
|||||||||||
|
Св. 400 до 450 |
0 — 250 |
— 740 — 990 |
— 920 — 1170 |
— 1100 — 1350 |
— 1450 — 1700 |
— 1850 — 2100 |
— 2400 — 2650 |
0 — 400 |
— 2400 — 2800 |
|||||||||
|
Св. 450 до 500 |
— 820 — 1070 |
— 1000 — 1250 |
— 1250 — 1500 |
— 1600 — 1850 |
— 2100 — 2350 |
— 2600 — 2850 |
— 2600 — 3000 |
|||||||||||
4. Контроль деталей из пластмасс, изготовленных литьем под давлением или прессованием, должен производиться после выдержки, необходимой для релаксации внутренних напряжений материала и стабилизации размеров. Время выдержки деталей после изготовления до контроля, если оно не оговорено особо, должно быть не менее 16 ч.
5. Рекомендуемые посадки из полей допусков валов и отверстий, предусмотренных настоящим стандартом, приведены в приложении 2.
Таблица 7
Предельные отклонения валов и отверстий для номинальных размеров св. 500 до 3150 мм
|
Интервалы размеров, мм |
Поле допуска вала с12 |
Поле допуска отверстия С12 |
Интервалы размеров, мм |
Поле допуска вала с12 |
Поле допуска отверстия С12 |
|
Предельные отклонения, мкм |
Предельные отклонения, мкм |
||||
|
Св. 500 до 560 |
— 520 — 1220 |
+ 1220 + 520 |
Св. 1250 до 1400 |
— 1150 — 2400 |
+ 2400 + 1150 |
|
Св. 560 до 630 |
— 580 — 1280 |
+ 1280 + 580 |
Св. 1400 до 1600 |
— 1300 — 2550 |
+ 2550 + 1300 |
|
Св. 630 до 710 |
— 640 — 1440 |
+ 1440 + 640 |
Св. 1600 до 1800 |
— 1450 — 2950 |
+ 2950 + 1450 |
|
Св. 710 до 800 |
— 700 — 1500 |
+ 1500 + 700 |
Св. 1800 до 2000 |
— 1600 — 3100 |
+ 3100 + 1600 |
|
Св. 800 до 900 |
— 780 — 1680 |
+ 1680 + 780 |
Св. 2000 до 2240 |
— 1800 — 3550 |
+ 3550 + 1800 |
|
Св. 900 до 1000 |
— 860 — 1760 |
+ 1760 + 860 |
Св. 2240 до 2500 |
— 2000 — 3750 |
+ 3750 + 2000 |
|
Св. 1000 до 1120 |
— 940 — 1990 |
+ 1990 + 940 |
Св. 2500 до 2800 |
— 2200 — 4300 |
+ 4300 + 2200 |
|
Св. 1120 до 1250 |
— 1050 — 2100 |
+ 2100 + 1050 |
Св. 2800 до 3150 |
— 2500 — 4600 |
+ 4600 + 2500 |
ПРИЛОЖЕНИЕ 1
Рекомендуемое
ДОПОЛНИТЕЛЬНЫЕ ПОЛЯ ДОПУСКОВ
1. Для деталей из пластмасс устанавливают следующие дополнительные поля допусков, образованные на базе основных отклонений, не предусмотренных ГОСТ 25346-82:
для размеров до 500 мм:
поля допусков валов — ay11, az11, ze11,
поля допусков отверстий — AY11, AZ11, ZE11;
для размеров св. 500 до 3150 мм:
поле допуска вала — b12,
поле допуска отверстия — В12.
2. Формулы для расчета основных отклонений валов b, ay, az, ze и основных отклонений отверстий В, AY, AZ, ZE приведены в табл. 8.
Таблица 8
Формулы для расчета основных отклонений
|
Валы |
Формулы основных отклонений |
Отверстия |
||||
|
b |
es |
— |
1,8 D для D > 500 мм |
+ |
EI |
В |
|
ay |
es |
— |
(848 + 4,16 D) для D ≤ 120 мм |
+ |
EI |
AY |
|
11,2 D для D > 120 мм |
||||||
|
az |
es |
— |
(477 + 2,34 D) для D ≤ 120 мм |
+ |
EI |
AZ |
|
6,3 D для D > 120 мм |
||||||
|
re |
ei |
+ |
IT11 + 8 D |
— |
ES |
ZE |
Примечания:
1. Значения основных отклонений — в микрометрах, диаметра D — в миллиметрах.
2. Формула для расчета b (В) -по ГОСТ 25346-82 для размеров до 500 мм (для D > 160 мм).
3. Формулы основных отклонений ay (AY) и az (AZ) получены умножением формулы основных отклонений а (А) по ГОСТ 25346-82 на коэффициенты соответственно 3,2 и 1,8.
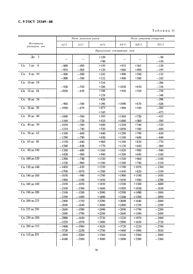
3. Числовые значения основных отклонений валов и отверстий для дополнительных полей допусков приведены в табл. 9 (для номинальных размеров до 500 мм) и табл. 10 (для номинальных размеров св. 500 до 3150 мм)
Таблица 9
|
Интервалы размеров, мм |
Обозначение основного отклонения вала |
Обозначение основного отклонения отверстия |
||||
|
ау |
az |
ze |
AY |
AZ |
ZE |
|
|
Верхнее отклонение вала es |
Нижнее отклонение вала ei |
Нижнее отклонение отверстия EI |
Верхнее отклонение отверстия ES |
|||
|
Основные отклонения, мкм |
||||||
|
До 3 |
— |
— |
+ 90 |
— |
— |
— 90 |
|
Св. 3 до 6 |
— 860 |
— 490 |
+ 120 |
+ 860 |
+ 490 |
— 120 |
|
Св. 6 до 10 |
— 900 |
— 500 |
+ 152 |
+ 900 |
+ 500 |
— 152 |
|
Св. 10 до 14 |
— 920 |
— 520 |
+ 206 |
+ 920 |
+ 520 |
— 206 |
|
Св. 14 до 18 |
+ 238 |
— 238 |
||||
|
Св. 18 до 24 |
— 960 |
— 540 |
+ 296 |
+ 960 |
+ 540 |
— 296 |
|
Св. 24 до 30 |
+ 345 |
— 345 |
||||
|
Св. 30 до 40 |
— 1000 |
— 560 |
+ 435 |
+ 1000 |
+ 560 |
— 435 |
|
Св. 40 до 50 |
— — 1050 |
— 580 |
+ 520 |
+ 1050 |
+ 580 |
— 520 |
|
Св. 50 до 65 |
— 1100 |
— 600 |
+ 650 |
+ 1100 |
+ 600 |
— 650 |
|
Св. 65 до 80 |
— 1150 |
— 640 |
+ 770 |
+ 1150 |
+ 640 |
— 770 |
|
Св. 80 до 100 |
— 1200 |
— 680 |
+ 940 |
+ 1200 |
+ 680 |
— 940 |
|
Св. 100 до 120 |
— 1300 |
— 740 |
+ 1100 |
+ 1300 |
+ 740 |
— 1100 |
|
Св. 120 до 140 |
— 1450 |
— 820 |
+ 1300 |
+ 1450 |
+ 820 |
— 1300 |
|
Св. 140 до 160 |
— 1650 |
— 940 |
+ 1450 |
+ 1650 |
+ 940 |
— 1450 |
|
Св. 160 до 180 |
— 1850 |
— 1050 |
+ 1600 |
+ 1850 |
+ 1050 |
— 1600 |
|
Св. 180 до 200 |
— 2100 |
— 1200 |
+ 1800 |
+ 2100 |
+ 1200 |
— 1800 |
|
Св. 200 до 225 |
— 2400 |
— 1350 |
+ 2000 |
+ 2400 |
+ 1350 |
— 2000 |
|
Св. 225 до 250 |
— 2600 |
— 1500 |
+ 2200 |
+ 2600 |
+ 1500 |
— 2200 |
|
Св. 250 до 280 |
— 2900 |
— 1650 |
+ 2400 |
+ 2900 |
+ 1650 |
— 2400 |
|
Св. 280 до 315 |
— 3400 |
— 1900 |
+ 2700 |
+ 3400 |
+ 1900 |
— 2700 |
|
Св. 315 до 355 |
— 3800 |
— 2200 |
+ 3000 |
+ 3800 |
+ 2200 |
— 3000 |
|
Св. 355 до 400 |
— 4300 |
— 2400 |
+ 3400 |
+ 4300 |
+ 2400 |
— 3400 |
|
Св. 400 до 450 |
— 480О |
— 2700 |
+ 3800 |
+ 4800 |
+ 2700 |
— 3800 |
|
Св. 450 до 500 |
— 5300 |
— 3000 |
+ 4200 |
|||

