Контейнеры крупнотоннажные. Маркировочный код
Действие завершено 01.07.2006
Утратил силу в РФ
Документ завершил свое действие. Вы можете скачать Руководящий документ ГОСТ 25290-82 в удобном формате.
Скрыть дополнительную информацию
Страница 1

Страница 2

Страница 3

Страница 4

Страница 5

Страница 6

Страница 7

Страница 8
БЗ 12-99
МЕЖГОСУДАРСТВЕННЫЙ СТАНДАРТ
КОНТЕЙНЕРЫ крупнотоннажные
маркировочный код
Издание официальное
ИПК ИЗДАТЕЛЬСТВО СТАНДАРТОВ Москва
МЕЖГОСУДАРСТВЕННЫЙ СТАНДАРТ
КОНТЕЙНЕРЫ крупнотоннажные
Маркировочный код
Large containers. Marking code
ГОСТ
25290-82
МКС 55.180.10 ОКП 31 7713
Постановлением Государственного комитета СССР по стандартам от 28 мая 1982 г. № 2193 дата введения установлена
01.01.84
Ограничение срока действия снято по протоколу № 3—93 Межгосударственного совета по стандартизации, метрологии и сертификации (ИУС 5-6—93)
1. Настоящий стандарт устанавливает маркировочный код для обозначения характеристик крупнотоннажных контейнеров, принадлежащих различным владельцам и предназначенных для внутреннего и международного обращения.
Стандарт полностью соответствует международному стандарту ИСО 6346—84.
Термины, используемые в настоящем стандарте, — по ГОСТ 20231-83.
(Измененная редакция, Изм. № 2).
2. Кодовое обозначение
2.1. Кодовое обозначение контейнера должно состоять из 17 знаков: 6 букв латинского алфавита и 11 арабских цифр, располагаемых в последовательности, приведенной ниже:
кодовое обозначение владельца — 4 прописные буквы латинского алфавита, в которое входит признак кода контейнера (четвертая буква U);
серийный номер контейнера — 6 цифр;
контрольное число — 1 цифра;
кодовое обозначение страны — 2 прописные буквы латинского алфавита;
кодовое обозначение размеров контейнера — 2 цифры;
кодовое обозначение типа контейнера — 2 цифры.
Структура маркировочного кода должна иметь следующий вид:
ХХХ Х ХХХ ХХХ Х
——Код владельца
—Признак кода контейнера
—Серийный номер
Контрольное число
XX XX XX
—-Код страны
—Код размера контейнера
— Код типа контейнера
(Измененная редакция, Изм. № 1, 2).
Издание официальное
Издание (март 2004 г.) с Изменениями № 1, 2, утвержденными в январе 1983 г., марте 1987 г. (ИУС 12-83, 6-87).
Перепечатка воспрещена
© Издательство стандартов, 1982 © И ПК Издательство стандартов, 2004
ГОСТ 25290-82 С. 2
2.2. Нанесение маркировочного кода — по ГОСТ 25588-83.
(Измененная редакция, Изм. N° 2).
2.3—2.6. (Исключены, Изм. № 2).
3. Кодовое обозначение владельца
3.1. Кодовое обозначение владельца устанавливают сами владельцы и используют их только после регистрации в Международном бюро по контейнерам.
Установлены следующие коды основных владельцев контейнеров:
SZDU — Министерство путей сообщения СССР;
МММU — Министерство морского флота СССР;
MVTU — Министерство внешней торговли СССР;
MMPU — Министерство речного флота РСФСР;
ASTU — Министерство автомобильного транспорта РСФСР.
4. Серийный номер контейнера
Серийный номер контейнера каждого типа устанавливает владелец контейнера. Серийный номер должен состоять из 6 арабских цифр. Если число цифр менее 6, впереди пишут один или больше нулей так, чтобы в итоге было шесть цифр.
5. Контрольное число
3.1—5. (Измененная редакция, Изм. № 2).
5.1. Контрольное число служит для проверки правильности указания информации только о коде владельца и серийном номере контейнера. Контрольное число вычисляют в такой последовательности.
Каждому буквенному знаку кода владельца присваивают цифровой эквивалент (табл. 1), начиная с числа 10 и кончая числом 38, при этом числа 11, 22 и 33 исключены, так как кратны модулю 11.
Затем каждый цифровой эквивалент и каждую цифру порядкового номера последовательно умножают на весовой коэффициент, равный от 2° до 29 в порядке возрастания степени 2 на единицу. Полученные таким образом произведения цифровых эквивалентов на их весовые коэффициенты складывают и сумму этих произведений делят на модуль 11. Остаток, полученный в результате деления, является контрольным числом (табл. 2).
Таблица 1
|
Буквенный знак |
Цифровой эквивалент |
Буквенный знак |
Цифровой эквивалент |
|
А |
10 |
N |
25 |
|
В |
12 |
О |
26 |
|
С |
13 |
Р |
27 |
|
D |
14 |
Q |
28 |
|
Е |
15 |
R |
29 |
|
F |
16 |
S |
30 |
|
G |
17 |
т |
31 |
|
Н |
18 |
и |
32 |
|
1 |
19 |
V |
34 |
|
J |
20 |
W |
35 |
|
К |
21 |
X |
36 |
|
L |
23 |
Y |
37 |
|
М |
24 |
Z |
38 |
Таблица 2
|
Остаток |
10 |
9 |
8 |
7 |
6 |
5 |
4 |
3 |
2 |
1 |
0 |
|
Контрольное число |
0 |
9 |
8 |
7 |
6 |
5 |
4 |
3 |
2 |
1 |
0 |
5.2. Номера, которые при расчете контрольного числа дают в остатке число 10, использовать для обозначения контейнеров не рекомендуется, так как значение контрольного числа 0 получается при остатке 10 и 0.
5.1, 5.2. (Измененная редакция, Изм. № 1, 2).
5.3, 5.4. (Исключены, Изм. № 2).
5.5. Пример вычисления контрольного числа для контейнера с кодом владельца SZDU и порядковым номером 123457 приведен в приложении 1.
(Измененная редакция, Изм. № 1).
С. 3 ГОСТ 25290-82
6. Кодовое обозначение страны
6.1. Кодовое обозначение страны должно содержать две прописные буквы латинского алфавита (ИСО 6346-84).
Кодовое обозначение Союза Советских Социалистических Республик — SU, Белорусской ССР — BY, Украинской ССР — UA.
Для контейнеров производства до 1984 г. допускается использование кодового обозначения страны из трех букв латинского алфавита в соответствии с требованиями СТ СЭВ 3550—82 и ИСО 3166-74.
(Измененная редакция, Изм. № 1, 2).
7. Кодовое обозначение размера и типа контейнера
7.1. Две цифры, следующие за кодовым обозначением страны, обозначают размер контейнера, который кодируют в соответствии с приложением 2. Последние две цифры кода обозначают тип контейнера, который кодируют в соответствии с приложением 3. Рекомендуется, чтобы код размера и код типа контейнера использовались как единое целое, т. е. они не должны разбиваться на части при передаче и использовании информации. Размеры кодируют подлине и высоте контейнеров, так как ширина крупнотоннажных контейнеров всех типов унифицирована. Например, число 10 обозначает контейнер длиной 2991 мм, высотой 2438 мм (тип 1Д), число 12 обозначает контейнер длиной 2991 и высотой 2591 мм.
Первую цифру 2 в кодовом обозначении размера используют для контейнеров длиной 6058 мм, цифру 3 — для контейнеров длиной 9125 мм, цифру 4 — для контейнеров длиной 12192 мм.
7, 7.1. (Измененная редакция, Изм. № 2).
8, 8.1. (Исключены, Изм. № 2).
ГОСТ 25290-82 С. 4
ПРИЛОЖЕНИЕ 1 Справочное
Пример вычисления контрольного числа
|
Код владельца и порядковый номер |
S |
Z |
D |
и |
1 |
2 |
3 |
4 |
5 |
7 |
|
Значения цифровых эквивалентов |
30 |
38 |
14 |
32 |
1 |
2 |
3 |
4 |
5 |
7 |
|
Весовые коэффициенты |
1 |
2 |
4 |
8 |
16 |
32 |
64 |
128 |
256 |
512 |
|
Произведения цифровых эквивалентов на весовые коэффициенты |
30 |
76 |
56 |
256 |
16 |
64 |
192 |
512 |
1280 |
3584 |
Сумма всех произведений 6066
Частное от деления суммы всех произведений на модуль 11 и остаток 551, остаток 5
Контрольное число 5
ПРИЛОЖЕНИЕ 2 Обязательное
Кодовое обозначение размеров контейнеров без паза и с пазом для Г-образных прицепов типа «гусиная шея»
Номинальная высота А, мм
|
Номинальная длина L, |
h = |
2438 |
h = |
2591 |
А > 2591 |
1219 < А< 1295 |
1295 < h < 2438 |
h < 1219 |
||
|
мм |
без |
с |
без |
с |
без |
с |
без |
С |
с пазом или |
с пазом или |
|
паза |
пазом |
паза |
пазом |
паза |
пазом |
паза |
пазом |
без паза |
без паза |
|
|
2991 |
10 |
11 |
12 |
13 |
14 |
15 |
16 |
17 |
18 |
19 |
|
6058 |
20 |
21 |
22 |
23 |
24 |
25 |
26 |
27 |
28 |
29 |
|
9125 |
30 |
31 |
32 |
33 |
34 |
35 |
36 |
37 |
38 |
39 |
|
12192 |
40 |
41 |
42 |
43 |
44 |
45 |
46 |
47 |
48 |
49 |
ПРИЛОЖЕНИЯ 1, 2. (Измененная редакция, Изм. № 1).
ПРИЛОЖЕНИЕ 3 Обязательное
Кодовое обозначение типа контейнеров
|
Тип контейнера |
Конструктивные особенности |
Кодовое обозначение* |
|
Универсальный об- |
Проем(ы) в одном или обоих торцах |
00 |
|
щего назначения |
Проем(ы) в одном или обоих торцах и проем(ы) по всей поверхности одной или обеих боковых стенок |
01 |
|
Проем(ы) в одном или обоих торцах и проем(ы) в части одной или обеих боковых стенок |
02 |
|
|
Проем(ы) в одном или обоих торцах и открываемая крыша |
03 |
|
|
Проем(ы) в одном или обоих торцах, проем(ы) в одной или обеих боковых стенках и открываемая крыша |
04 |
|
|
Резерв |
05-09 |
|
|
Закрытый с естест- |
С отверстиями для пассивной вентиляции в верхней части |
|
|
венной вентиляцией |
грузового пространства, общая площадь поперечного сечения вен- |
|
|
тиляционного отверстия < 25 см2/м номинальной длины контейнера |
10 |
|
|
С отверстиями для пассивной вентиляции в верхней части грузового пространства, общая площадь поперечного сечения вентиляционного отверстия > 25 см2/м номинальной длины контейнера |
11 |
|
|
Резерв |
12 |
|
|
Закрытый с прину- |
Немеханическая система с вентиляционными отверстиями в |
|
|
дительной вентиляцией |
нижней и верхней частях грузового пространства |
13 |
|
Резерв |
14 |
|
|
Механическая вентиляционная система, расположенная внутри контейнера |
15 |
|
|
Резерв |
16 |
|
|
Механическая вентиляционная система, расположенная снаружи контейнера |
17 |
|
|
Резерв |
18-19 |
|
|
Закрытый для сухих |
Закрытый |
20 |
|
неслеживающихся гру- |
С естественной вентиляцией |
21 |
|
зов |
С принудительной вентиляцией |
22 |
|
Воздухонепроницаемый |
23 |
|
|
Резерв |
24 |
|
|
Узкоспециализиро- |
Резерв. Для перевозки живности |
25 |
|
ванный |
Резерв. Для перевозки автомобилей |
26 |
|
Резерв |
27-29 |
|
|
Изотермический: |
||
|
охлаждаемый |
С расходуемым хладагентом, изоляция с К1ШХ < 0,4 Вт/(м - С), |
|
|
температура внутри поддерживается в соответствии с ИСО 1496/2 |
30 |
|
|
С машинным охлаждением, изоляция с Ктах < 0,4 Вт/(м - С), температура внутри поддерживается в соответствии с ИСО 1496/2 |
31 |
|
|
охлаждаемый и обо- |
Охлаждаемый и обогреваемый, изоляция с Ктах < 0,4 Вт/(м - С), |
|
|
греваемый |
температура внутри поддерживается в соответствии с ИСО 1496/2 |
32 |
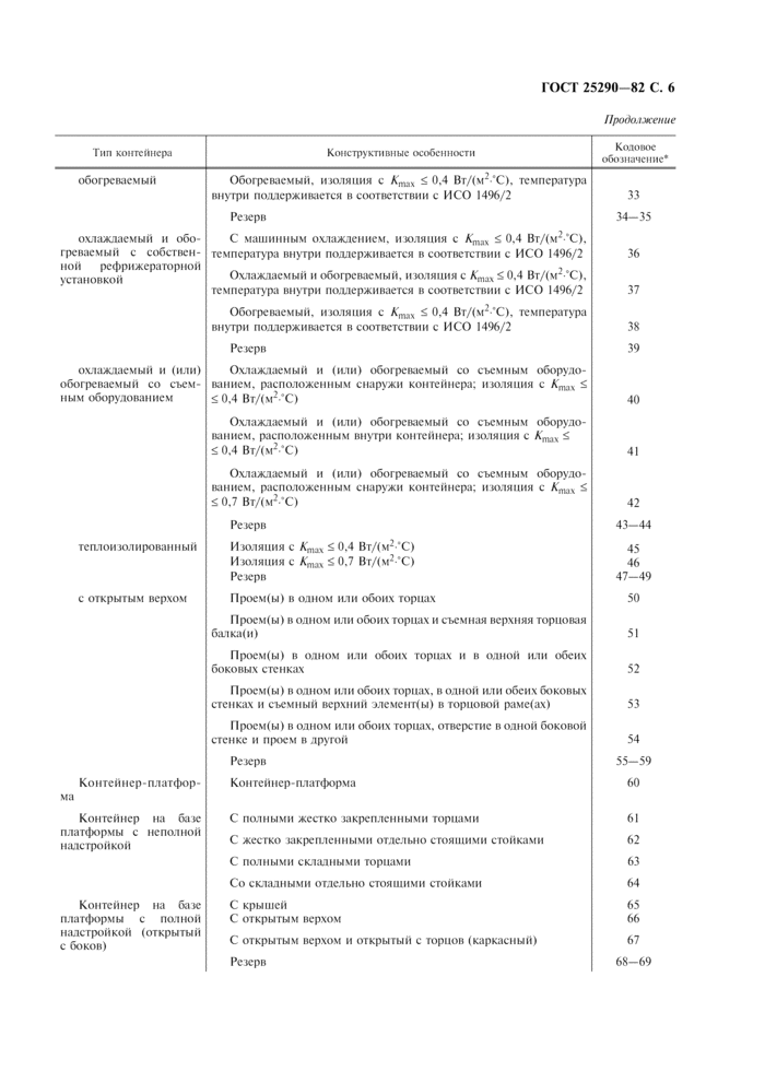
Продолжение
|
Тип контейнера |
Конструктивные особенности |
Кодовое обозначение* |
|
обогреваемый |
Обогреваемый, изоляция с Amax < 0,4 Вт/(м2-°С), температура внутри поддерживается в соответствии с И СО 1496/2 |
33 |
|
Резерв |
34-35 |
|
|
охлаждаемый и обогреваемый с собственной рефрижераторной установкой |
С машинным охлаждением, изоляция с Amax < 0,4 Вт/(м2°С), температура внутри поддерживается в соответствии с ИСО 1496/2 Охлаждаемый и обогреваемый, изоляция с Атах < 0,4 Вт/(м °С), температура внутри поддерживается в соответствии с ИСО 1496/2 |
36 37 |
|
Обогреваемый, изоляция с Amax < 0,4 Вт/(м2-°С), температура внутри поддерживается в соответствии с ИСО 1496/2 |
38 |
|
|
Резерв |
39 |
|
|
охлаждаемый и (или) обогреваемый со съемным оборудованием |
Охлаждаемый и (или) обогреваемый со съемным оборудованием, расположенным снаружи контейнера; изоляция с Атах < < 0,4 Вт/(м2-°С) |
40 |
|
Охлаждаемый и (или) обогреваемый со съемным оборудованием, расположенным внутри контейнера; изоляция с Ктах < < 0,4 Вт/(м2-°С) |
41 |
|
|
Охлаждаемый и (или) обогреваемый со съемным оборудованием, расположенным снаружи контейнера; изоляция с Amax < < 0,7 Вт/(м2-°С) |
42 |
|
|
Резерв |
43-44 |
|
|
теплоизолированный |
Изоляция С А’тах ^ 0,4 Вт/(М2-°С) Изоляция с Ктях < 0,7 Вт/(м2*°С) Резерв |
45 46 47-49 |
|
с открытым верхом |
Проем(ы) в одном или обоих торцах |
50 |
|
Проем(ы) в одном или обоих торцах и съемная верхняя торцовая балка(и) |
51 |
|
|
Проем(ы) в одном или обоих торцах и в одной или обеих боковых стенках |
52 |
|
|
Проем (ы) в одном или обоих торцах, в одной или обеих боковых стенках и съемный верхний элемент(ы) в торцовой раме(ах) |
53 |
|
|
Проем(ы) в одном или обоих торцах, отверстие в одной боковой стенке и проем в другой |
54 |
|
|
Резерв |
55-59 |
|
|
Контейнер-платфор ма |
Контейнер- платформа |
60 |
|
Контейнер на базе платформы с неполной надстройкой |
С полными жестко закрепленными торцами С жестко закрепленными отдельно стоящими стойками |
61 62 |
|
С полными складными торцами |
63 |
|
|
Со складными отдельно стоящими стойками |
64 |
|
|
Контейнер на базе платформы с полной надстройкой (открытый с боков) |
С крышей С открытым верхом С открытым верхом и открытый с торцов (каркасный) |
65 66 67 |
|
Резерв |
68-69 |
Продолжение
|
Тип контейнера |
Конструктивные особенности |
Кодовое обозначение* |
|
Контейнер-цистерна |
Для неопасных жидкостей с испытательным давлением, мПа: |
|
|
0,045 |
70 |
|
|
0,150 |
71 |
|
|
0,265 |
72 |
|
|
Для опасных жидкостей с испытательным давлением, мПа: |
||
|
0,150 |
73 |
|
|
0,265 |
74 |
|
|
0,400 |
75 |
|
|
0,600 |
76 |
|
|
Для опасных газов с испытательным давлением, мПа: |
||
|
1,050 |
77 |
|
|
2,200 |
78 |
|
|
Испытательное давление будет установлено позже |
79 |
|
|
Для сухих сыпучих |
Закрытый |
80 |
|
неслеживающихся гру- |
С естественной вентиляцией |
81 |
|
зов, хопперы |
С принудительной вентиляцией |
82 |
|
Воздухонепроницаемый |
83 |
|
|
Резерв |
84 |
|
|
Для сухих сыпучих |
Горизонтальная разгрузка, испытательное давление, мПа: |
|
|
слеживающихся грузов |
0,150 |
85 |
|
0,265 |
86 |
|
|
Разгрузка опрокидыванием, испытательное давление, мПа: |
||
|
0,150 |
87 |
|
|
0,265 |
88 |
|
|
Резерв |
89 |
|
|
Для воздушных (наземных) перевозок (интермодальные) |
90-99 |
* Первый знак кодового обозначения типа контейнера указывает основную характеристику, второй знак определяет конструктивные особенности данного типа.
ПРИЛОЖЕНИЕ 3. (Измененная редакция, Изм. № 2).
ПРИЛОЖЕНИЕ 4. (Исключено, Изм. № 2).
Редактор Л. В. Коретиикова Технический редактор О. Л. Власова Корректор Е.Д. Дульнева Компьютерная верстка И.А. Налейкиной
Изд. лиц. № 02354 от 14.07.2000. Сдано в набор 16.03.2004. Подписано в печать 05.04.2004. Уел. печ. л. 0,93. Уч.-изд.л. 0,70.
Тираж 154 экз. С 1678. Зак. 384.
ИНК Издательство стандартов, 107076 Москва, Колодезный пер., 14. http://www.standards.ru e-mail: info@standards.ai
Набрано в Издательстве на ПЭВМ Отпечатано в филиале ИТТК Издательство стандартов — тип. «Московский печатник», 105062 Москва, Лялин пер., 6.
Плр № 080102
