Калибры для цилиндрических резьб. Виды
На нашем сайте можно бесплатно скачать Руководящий документ ГОСТ 24939-81 в удобном формате. Узнать актуальный статус документа «Калибры для цилиндрических резьб. Виды» на 2016 год.
Скрыть дополнительную информацию
Страница 1

Страница 2

Страница 3

Страница 4

Страница 5

Страница 6

Страница 7

Страница 8

Страница 9

Страница 10
Группа Г28
МЕЖГОСУДАРСТВЕННЫЙ СТАНДАРТ
КАЛИБРЫ ДЛЯ ЦИЛИНДРИЧЕСКИХ РЕЗЬБ Виды
ГОСТ
24939-81
Gauges Гог parallel threads. Types
МКС 17.040.30 OKU 39 3100
Дата введения 01.01.82
1. Настоящий стандарт распространяется на резьбовые и гладкие калибры для контроля цилиндрических резьб с допусками по ГОСТ 4608 ГОСТ 6357 ГОСТ 9562 ГОСТ 13535 ГОСТ 16093 ГОСТ 24739 ГОСТ 24X34 ГОСТ 25096 и СТ СЭВ 3962 и устанавливает наименования видов калибров и их обозначения.
Настоящий стандарт не распространяется на калибры видов 3,6, 11 и 22 для контроля резьбы по ГОСТ 24739 в части правил их применения.
Стандарт полностью соответствует СТ СЭВ 1921.
(Измененная редакция, Изм. № 1).
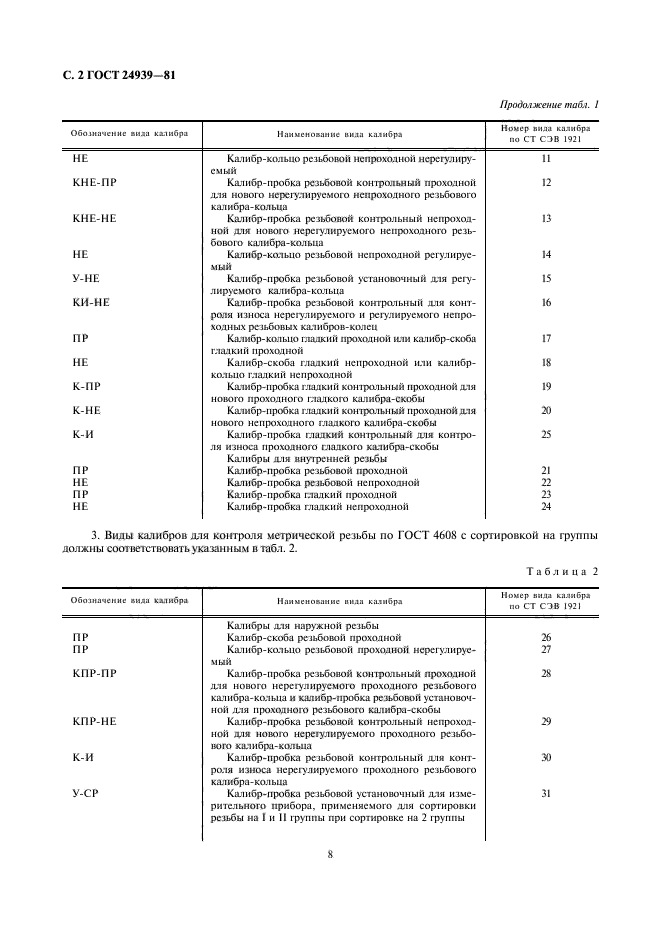
2. Виды калибров для контроля цилиндрических резьб должны соответствовать указанным в табл. 1.
Таблица 1
|
Обо in .тюк lit- вида калибра |
Наименование анла калибра |
Номер вилл калибра но СТ СЭВ 1921 |
|
11Р |
Калибры для наружной резьбы Калибр-кшыю резьбовой проходной нерегулируе |
1 |
|
КПР-ПР |
мый Калибр-пробка резьбовой контрольный проходной |
2 |
|
КПР-НЕ |
для нового нерегулируемого проходного резьбового калибра-кольца Калибр-пробка резьбовой контрольный непроход |
3 |
|
ПР |
ной для новою нерегулируемого проходною резьбового калибра-кольна Калибр-колыю резьбовой проходной регулируемый |
4 |
|
У-ПР |
Калибр-пробка резьбовой установочный для регу |
5 |
|
К-И |
лируемого проходного ре зьбового кал пора-кольпа Калибр-пробка резьбовой контрольный для конт |
6 |
|
ПР |
роля износа нерегулируемого и регулируемого проходных резьбовых калибров-колец Калибр-скоба резьбовой проходной |
7 |
|
У-ПР |
Калибр-пробка резьбовой установочный для про |
8 |
|
НЕ |
ходного резьбового калибра-скобы Калибр-скоба резьбовой непроходной |
9 |
|
У-НЕ |
Калибр-пробка резьбовой установочный для непро- |
10 |
|
ходного резьбового калибра-скобы |
Издание официальное Перепечатка воскрешена
*
i-i* 7
С. 2 ГОСТ 24939-81
|
Продолжение math. I |
||||||||||||||||||||||||||||||||||||||||||||||||
|
3. Виды калибров для контроля метрической резьбы по ГОСТ 4608 с сортировкой на группы должны соответствовать указанным в табл. 2.
|
Таблица 2 |
||||||||||||||||||||||||
|
ГОСТ 24939-81 С. 3
|
Продолжение таб.1. 2 |
|||||||||||||||||||||
|
Примечания:
1. Кроме калибров, указанных в табл. 2, для контроля резьбы по ГОСТ 4608 при сортировке на группы должны применяться калибры НЕ (9, И), КНЕ-ПР (12). КНЕ-НЕ (13) и КИ-НЕ (16) указанные в табл. 1.
2. Для контроля резьбы по ГОСТ 4608 без сортировки на группы должны примснягься калибры, указанные в табл. 1.
3. Вместо установочных калибров-пробок У-СР (31), У-СР, (32) и У-СР. (33) для установки измерительных средств допускается применять контрольные калибры-пробки КПР-ПР (28) и КНЕ-ПР (12) с введением соответствующих поправок.
4. Вместо сортировочных калибров-пробок СР (35), С’Р,(36) и СР, (37) для сортировки резьбы на группы допускается применять измерительные приборы.
4. Обозначения, наименования и номера видов калибров для контроля внутренней метрической и трубной резьб, предназначенных для соединения с наружной конической резьбой — по ГОСТ 24475 и ГОСТ 7157.
5. Схематические изображения резьбовых калибров приведены в приложении 1.
6. Правила применения калибров приведены в приложении 2.
7. Правила контроля калибрами приведены в приложении 3.
|
ПРИЛОЖЕНИЕ 1 Справочное |
9
С. 4 ГОСТ 24939 -81
|
Продолжение |
||||||||||||||||||||||||
|
10
ГОСТ 24939-81 С. 5
|
Продолжение |
||||||||||||||||||||||||||
|
||||||||||||||||||||||||||
11 р н м с ч а н и с. Схематические изображения гладких калибров — по ГОСТ 24851. Гладким калибрам вилов 17, 18, 19, 20, 25, 24 и 23 по настоящему стандарту соответствуют калибры видов 1(2), 3(4). 5, 6, 7, 11. 12 по ГОСТ 24851.
II
С. 6 ГОСТ 24939-81
ПРИЛОЖЕНИЕ 2 Обязательное
ПРАВИЛА ПРИМЕНЕНИЯ КАЛИБРОВ 1. калибры для наружной резьбы
1.1. Резьбовой проходной нерегулируемый КаЛнбр-КОЛЫЮ ИР (1)
Калибр контролирует наибольший средний диаметр (приведенный средний диаметр) и. одновременно, наибольший внутренний диаметр наружной резьбы. Наружный диаметр резьбы этим калибром не контролируется.
Калибр должен свободно навинчиваться на контролируемую резьбу. Свинчиваемостъ калибра с резьбой означает, что приведенный средний диаметр резьбы не больше установленного наибольшего предельного размера, а внутренний диаметр наружной резьбы не больше наименьшего внутреннего диаметра внутренней резьбы.
Контроль калибра-кольца должен осуществляться калибрами-пробками КПР-ПР (2) и КПР-НЕ (3). Износ калибра-кольца должен регулярно контролироваться калибром-пробкой К-И (6).
1.2. Резьбовой контрольный проходной калибр-пробка КИР-Г1Р (2) для новою нерегулируемого проходного резьбового калибра-кольца HP (1)
Калибр контролирует наименьший средний диаметр (приведенный средний диаметр) и. одновременно. наименьший наружный диаметр калибра-кольца.
Калибр должен свободно ввинчиваться в контролируемый калибр-кольцо. Свинчиваемость калибра-пробки с калибром-кольцом означает, что приведенный средний диаметр калибр-кольца не меньше установленного наименьшего предельного размера, а наружный диаметр калибра-кольца не меньше наибольшего наружного диаметра наружной резьбы.
Г1 р и м с ч а н и с. Калибр-пробка КПР-ПР (2) применяется только у изготовителя калибров.
1.3. Резьбовой контрольный ненроходной калибр-пробка КПР-НЕ (3) для нового нерегулируемого проходного резьбового калибра-кольиа HP (1)
Калибр контролирует наибольший средний диаметр нового калибра-кольца.
Калибр, как правило, не должен ввинчиваться в контролируемый калибр-колыю. Допускается ввинчивание до одного оборота с каждой стороны калибра-кольца1.
Примем а н и е. Калибр-пробка КПР-НЕ (3), как правило, применяется только у изготовителя калибров.
1.4. Резьбовой проходной регулируемый калибр-колыю ПР (4)
Назначение и правила применения тс же. что и для калибра-кольиа ПР (1).
Калибр должен устанавливаться по калибру-пробке У-ПР (5) и регулярно контролироваться на износ калибром-пробкой К-И (6).
1.5. Роьбовой установочный калибр-пробка У-ПР (S) для регулируемой» проходного резьбового калибра-кольца IIP (4)
Калибр-кольцо должен быть отрегулирован так, чтобы установочный калибр-пробка ввинчивайся в него без ощутимого зазора.
В случае сомнения в характере установки должен проводиться дополнительный контроль калибром-пробкой КПР-НЕ (3).
1.6. Резьбовой контрольный калибр-пробка К-И (6) для контроля износа нерегулируемого IIP (1) и регулируемого ПР (4) проходных резьбовых калибров-колен
Калибр, как правило, не должен ввинчиваться в контролируемый калибр-кольцо. Допускается ввинчивание до двух оборотов с каждой стороны калибра-кольца*.
1.7. Резьбовой проходной кагибр-скоба IIP (7)
Калибр контролирует наибольший средний диаметр наружной резьбы (приведенный средний диаметр) и, одновременно, наибольший внугренний диаметр наружной резьбы.
Катибр-скоба не выявляет отклонений формы резьбы, поэтому в спорных случаях решающим методом контроля является контроль проходным резьбовым калибром-кольцом ПР (1).
Калибр должен скользить по контролируемой резьбе иод действием собственного веса или определенной силы не менее чем в трех точках, расположенных на равном расстоянии по всей окружности резьбы.
Катибр-скоба должен устанавливаться по калибру-пробке У-ПР (8).
1.8. Резьбовой установочный качибр-нробка У-ПР (8) для проходного резьбового ка1ибра-скобы IIP (7)
Калибр-скоба должен быть отрегулирован так, чтобы он скользил по установочному калибру-пробке под действием собственного веса или определенной силы не менее чем в трех точках, расположенных на равном расстоянии по всей окружности резьбы.
12
1
Число оборотои опрсдслясгея при ныаимчипинни кошролыино калибра.
ГОСТ 24939-81 С. 7
1.9. Резьбовой непроходной калибр-скоба IIE (9)
Калибр контролирует наименьший средний диаметр наружной резьбы.
Калибр не должен проходить по контролируемой резьбе под действием собственного веса или определенной силы ни в одной из трех точек (не менее), расположенных на равном расстоянии по всей окружности резьбы. Допускается прохождение калибра-скобы на первых двух витках наружной резьбы.
Калибр-скоба должен усганаативагься по калибру-пробке У-НЕ (10).
1.10. Резьбовой установочный калибр-пробка У-НЕ (10) для непроходного резьбового калибра-скобы НЕ (9)
Калибр-скоба должен быгь отрегулирован так. чтобы он скользил по установочному калибру-пробке под действием собственного веса или определенной силы.
1.11. Резьбовой испроходной нерегулируемый калибр-кольцо НЕ (11)
Калибр контролирует наименьший средний диаметр наружной резьбы. Калибр, как правило, не должен навинчиваться на контролируемую резьбу. Допускается навинчивание калибра до двух оборотов1. При контроле корогких резьб (до 3 витков) это не допускается в случае снятия до полной ширины заходиых витков у калибра и изделия. Если заходные витки сняты только у калибра, то допускается навинчивание калибра до 0,5 оборота*.
Контроль калибра-кольца должен осуществляться калибрами-пробками КНЕ-ПР (12) и КНЕ-НЕ (13). Износ калибра-кольца должен регулярно контролироваться калибром-пробкой КИ-НЕ (16).
(Измененная редакция. Изм. № 1).
1.12. Резьбовой контрольный проходной калибр-пробка КНЕ-ПР (12) для нового нерегулируемого нспро-ходного резьбового калибра-колыш НЕ (11)
Калибр контролирует наименьший средний диаметр (приведенный средний диаметр) калибра-кольца.
Калибр должен свободно ввинчиваться в контролируемый калибр-кольцо. Свинчиваемость калибра-проб-ки с калибром-кольцом означает, что приведенный средний диаметр калибра-кольца не меньше установленного наименьшею предельного размера.
Примечание. Калибр-пробка КНЕ-Г1Р (12) применяется только у изготовителя калибров.
1.13. Резьбовой контрольный нспрохолной калибр-пробка K1IE-HE (13) для нового нерегулируемого непроходного роьбового калибра-кольца НЕ (11)
Калибр контролирует наибольший средний диаметр калибра-кольца.
Калибр, как правило, не должен ввинчиваться в контролируемый калибр-кольцо. Допускается ввинчивание до одного оборота с каждой стороны калибра-кольца2.
Примечание. Калибр-пробка КНЕ-НЕ (13), как правило, применяется только у изготовителя калибров.
1.14. Резьбовой нспрохолной регулируемый калибр-кольцо 11Е (14).
Назначение и правила применения те же. что и для калибра-кольца НЕ (11).
Калибр должен устанавливаться по калибру-пробке У-НЕ (IS). Износ калибра должен регулярно контролироваться калибром-пробкой КИ-НЕ (16).
1.15. Резьбовой установочный калибр-пробка У-НЕ (15) для регулируемого нспроходного резьбового калибра-кольца НЕ (14)
Калибр-кольцо должен быгь отрегулирован так. чтобы установочный калибр-нробка ввинчиватся в него без ощутимого зазора.
В случае сомнения в характере установки должен проводиться дополнительный контроль калибром-пробкой КНЕ-НЕ (13).
1.16. Резьбовой контрольный калибр-пробка КИ-НЕ (16) для контроля износа нерегулируемого НЕ (11) н регулируемого НЕ (14) нспроходных репсовых калибров-колец
Калибр-пробка, как правило, не должен ввинчиваться в контролируемый калибр-кольцо. Допускается ввинчивание до двух оборотов с каждой стороны калибра-кольца**.
1.17. Гладкий проходной калибр-кольцо или гладкий проходной калибр-скоба ПР (17)
Калибр контролирует наибольший диаметр наружной резьбы.
Калибр должен проходить по наружному диаметру контролируемой резьбы под действием собственного веса или определенной силы. Для контроля нежесткого изделия следует применять калибр-кольцо.
1.18. Гладкий нспрохолной калибр-скоба или гладкий нспрохолной калибр-колыю 11Е (18)
Калибр контролирует наименьший наружный диаметр наружной резьбы.
Калибр не должен проходить по наружному диаметру контролируемой резьбы, в крайнем случае, закусывать. Для контроля нежесткого изделия следует применять калибр-кольцо.
1.19. Гладкий контрольный проходной калибр-пробка К-НР (19) для нового проходного гладкого калибра-скобы
Калибр-скоба должен скользить по контрольному калибру-пробке под действием собственного веса или определенной силы.
13
1
Число оборотов определяется при свинчиваний кали бра-кол ьиа с резьбы имели».
2
Число оборотов определяете и при вывинчивании контрольного калибра.
С. 8 ГОСТ 24939-81
1.20. Гладкий контрольный проходном калибр-пробка К-IIE (20) для нового непроходного гладкого калибра-скобы
Калибр-скоба должен скользить по контрольному калибру-пробке иод действием собственного веса или определенной силы.
1.21. Гладкий контрольный калибр-иробка К-И (2S) для контроля износа проходного гладкого калибра-
скобы
Калибр-Скоба не должен проходить по гладкому контрольному калибру-пробке, в крайнем случае, закусывать.
2. Калибры для внутренней ре 1ьбы
2.1. Резьбовой проходной калибр-нробка ПР (21)
Калибр контролирует наименьший средний диаметр (приведенный средний диаметр) и. одновременно. наименьший наружный диаметр внутренней резьбы. Внутренний диаметр резьбы этим калибром не контролируется.
Калибр должен свободно ввинчиваться в контролируемую резьбу.
Свинчиваемость калибра с резьбой означает, что приведенный средний диаметр резьбы не меньше установленного наименьшего предельного размера, а наружный диаметр внутренней резьбы не меньше наибольшего наружного диаметра наружной резьбы.
2.2. Резьбовой непроходной калибр-пробка НЕ (22)
Калибр контролирует наибольший средний диаметр внутренней резьбы.
Калибр, как правило, не должен ввинчиваться в контролируемую резьбу. Допускается ввинчивание калибра до двух оборотов (у сквозной резьбы с каждой из сторон). При контроле коротких резьб (до 4 витков) ввинчивание калибра-пробки допускается до двух оборотов с одной стороны или в сумме с двух сторон1.
2.3. Гладкий проходной калибр-пробка IIР (23)
Калибр контролирует наименьший внутренний диаметр внутренней резьбы.
Калибр должен свободно входить в контролируемую резьбу по действием собственного нес а или определенной силы.
2.4. Гладкий непроходной калибр-пробка НЕ (24)
Калибр контролирует наибольший внутренний диаметр внутренней резьбы.
Калибр не должен входить в контролируемую резьбу иод действием собственного веса или определенной силы. Допускается вхождение калибра на один шаг внутренней резьбы.
3. Калибры для метрической ретьбы по ГОСТ 4834-81 с сортировкой на группы
3.1. Калибры для наружной резьбы
3.1.1. Резьбовой проходной калибр-скоба П Р (26)
Калибр контролирует наибольший средний диаметр наружной резьбы.
Калибр должен скользить по контролируемой резьбе под действием собственного веса или определенной силы не менее чем в трех точках, расположенных на равном расстоянии по всей окружности резьбы.
Калибр должен устанавливаться по калибру-пробке КПР-ПР (28).
3.1.2. Резьбовой проходной нерегулируемый калибр-кольцо ПР (27)
Калибр контролирует наибольший средний диаметр наружной резьбы.
Калибр должен свободно навинчиват ься на контролируемую резьбу. Контроль калибра-кольиа должен осуществляться калибрами-пробками КПР-ПР (28) и КПР-НП (29). Износ калибра-кольца должен регулярно контролироваться калибром-пробкой К-И (30).
3.1.3. Резьбовой контрольный проходной калибр-пробка КПР-ПР (28) для контроля нового нерегулируемого проходного резьбового калибра-кольца ПР (27) и установки проходного резьбового калибра-скобы ПР (26)
Калибр контролирует наименьший средний диаметр (приведенный средний диаметр) калибра-кольиа.
Калибр должен свободно ввинчиваться в контролируемый калибр-кольцо.
Калибр-скоба должен быть отрегулирован так. чтобы он скользил по калибру-пробке под действием собственного веса или определенной силы не менее чем в грех точках, расположенных на равном расстоянии по всей окружности резьбы.
3.1.4. Резьбовой контрольный непроходной калибр-пробка КПР-НГ: (29) для нового нерегулируемого проходного резьбового калибра-кольца ПР (27)
Калибр контролирует наибольший средний диаметр калибра-кольца.
Калибр, как правило, не должен ввинчиваться в контролируемый калибр-кольцо. Допускается ввинчивание калибра-пробки до одного оборота с каждой стороны калибра-кольиа*.
3.1.5. Резьбовой контрольный калибр-пробка К-И (30) для контроля износа нерегулируемого ироходно-
14
1
Число оборотов опредслнстся при и и вин чипа и я к контрольного калибра.
ГОСТ 24939-81 С. 9
го резьбового калибра-кольца П Р (27)
Калибр, как правило, не должен ввинчиваться в контролируемый калибр-кольцо. Допускается ввинчивание калибра-пробки до двух оборотов с каждой стороны калибра-кольца1.
3.1.6. Резьбовой установочный калибр-пробка У-СР (31) для измерительного прибора, применяемого для сортировки наружной резьбы на lull группы при сортировке на 2 группы
Калибр устанавливает измерительный прибор по среднему диаметру резьбы, соответствующему границе I и 11 групп сортировки.
3.1.7. Резьбовой установочный калибр-пробка У-СР, (32) для измерительного прибора, применяемого для сортировки наружной резьбы на I и II группы при сортировке на 3 группы
Калибр устанавливает измерительный прибор по среднему диаметру резьбы, соответствующему границе
I и 11 групп сортировки.
3.1.8. Резьбовой установочный калибр-пробка У-СР. (33) для измерительного прибора, применяемою для сортировки наружной резьбы на II и III группы при сортировке на 3 группы
Калибр устанавливает измерительный прибор по среднему диаметру резьбы, соответствующему границе
II и III групп сортировки.
3.2. Калибры для внутренней роьйы
3.2.1. Резьбовой проходной калибр-пробка П Р (34)
Калибр контролирует наименьший средний диаметр внутренней резьбы.
Калибр должен свободно ввинчиваться в контролируемую резьбу.
3.2.2. Резьбовой сортировочный калибр-пробка СР (35) для сортировки внутренней резьбы на I и II группы при сортировке на 2 группы
Калибр контролирует средний диаметр резьбы, соответствующий границе I и II групп сортировки.
Калибр должен свободно ввинчиваться в резьбу, относящуюся к II группе, и не ввинчивается или ввинчивается не более чем на два оборота в резьбу, относящуюся к I группе.
3.2.3. Резьбовой сортировочный калибр-пробка С’Р (36) для сортировки внутренней резьбы на 1 и II группы при сортировке на 3 группы
Калибр контролирует средний диаметр резьбы, соответствующий границе I и II групп сортировки.
Калибр должен свободно ввинчиваться в резьбу, относящуюся к I и III группам, и не ввинчиваться или ввинчиваться не более чем на два оборота в резьбу, относящуюся к I группе.
3.2.4. Резьбовой сортировочный калибр-пробка СР, (37) для сортировки внутренней резьбы на II и III группы при сортировке на 3 группы
Калибр контролирует средний диаметр резьбы, соответствующий границе II и 111 групп сортировки.
Калибр должен свободно ввинчиваться в резьбу, относящуюся к III группе, и не ввинчиваться или ввинчиваться не более чем на два оборота н резьбу, относящуюся к I и II группам.
ПРИЛОЖЕНИЕ 3 Рекомендуемое
Правила контроля калибрами
1. Изделие, принятое любым калибром (с учетом допустимого износа), удовлетворяющим требованиям ГОСТ 2016, считается годным.
Калибр должен изыматься из употребления, когда сю износ достигнет предела, установленного в соответствующих стандартах на допуски.
2. При возникновении разногласий в оценке качества изделия между изготовителем и потребителем рекомендуется:
2.1. При контроле резьбы изделий в процессе их изготовления пользоваться новым или мало изношенным проходным и частично изношенным непроходным калибром.
2.2. При кошроле резьбы изделий контролерами предприятия-изготовителя и представителем заказчика пользоваться проходными калибрами с размерами, близкими к пределу допустимого износа и новыми или мало изношенными нсироходными калибрами.
3. Проверка правильности размеров изделий должна осуществляться калибрами с размерами, близкими к границе износа проходного и к границе поля допуска нового непроходного калибра (верхней — для внутренней, нижней — для наружной резьбы).
Допускается применять другое методы контроля резьбы. В спорных случаях решающим методом контроля резьбы является контроль калибрами, перечисленными в настоящем стандарте.
ПРИЛОЖЕНИЕ3. (Измененная редакция, Изм. № 1).
15
1
Число оборотов опредслкстся при и и вин чипа и я к контрольного калибра.
С. 10 ГОСТ 24939-81
ИНФОРМАЦИОННЫЕ ДАННЫЕ
1. РАЗРАБОТАН И ВНЕСЕН Министерством станкостроительной и инструментальной промышленности СССР
2. УТВЕРЖДЕН И ВВЕДЕН В ДЕЙСТВИЕ Постановлением Государственного комитета СССР но стандартам от 2.09.81 № 4135
3. Стандарт полностью соответствует СТ СЭВ 1921—79
4. РАЗРАБОТАН ВПЕРВЫЕ
5. ССЫЛОЧНЫЕ НОРМАТИВНО-ТЕХНИЧЕСКИЕ ДОКУМЕНТЫ
|
||||||||||||||||||||||||||||||||||||
|
6. ИЗДАНИЕ с Изменением № 1, утвержденным в январе 1990 г. (ИУС 4—90) |
16

