Эмали марок ПФ-218. Технические условия
Заменяет

Страница 1

Страница 2

Страница 3

Страница 4

Страница 5

Страница 6

Страница 7

Страница 8
ГОСТ 21227-93
МЕЖГОСУДАРСТВЕННЫЙ СТАНДАРТ
ЭМАЛИ МАРОК ПФ-218
ТЕХНИЧЕСКИЕ УСЛОВИЯ
Издание официальное
МЕЖГОСУДАРСТВЕННЫЙ СОВЕТ ПО СТАНДАРТИЗАЦИИ, МЕТРОЛОГИИ И СЕРТИФИКАЦИИ Минск
ГОСТ 21227-93
Предисловие
1 РАЗРАБОТАН Госстандартом России
ВНЕСЕН Техническим секретариатом Межгосударственного Совета по стандартизации, метрологии и сертификации
2 ПРИНЯТ Межгосударственным Советом по стандартизации, метрологии и сертификации 21 октября 1993 г.
|
За принятие проголосовали: |
||||
|
||||
|
3 ВВЕДЕН ВЗАМЕН ГОСТ 21227-75 |
4 ПЕРЕИЗДАНИЕ. Январь 2002 г.
© Издательство стандартов, 1994 © ИПК Издательство стандартов, 2002
Настоящий стандарт не может быть полностью или частично воспроизведен, тиражирован и распространен в качестве официального издания на территории Российской Федерации без разрешения Госстандарта России И
УДК 66.29:678.674:006.354 Группа Л24
МЕЖГОСУДАРСТВЕННЫ Й СТАНДАРТ
ЭМАЛИ МАРОК ПФ-218
Технические условия ГОСТ
Enamels ПФ-218. 21227—93
Specifications
МКС 87.040 ОКП 23 1222
Дата введения 1995—01—01
Настоящий стандарт распространяется на эмали марок ПФ-218, представляющие собой суспензии пигментов, наполнителей и антипирена в пентафталевом лаке с добавлением растворителей.
Эмали предназначены для окраски судовых помещений, приборов, механизмов и оборудования, к которым предья&тяются повышенные требования по пожарной безопасности.
Система покрытия, состоящая из трех слоев эмали ПФ-218 ХС, нанесенной на загрунтованную грунтовкой ФЛ-ОЗК или ФЛ-ОЗЖ поверхность, во внутренних помещениях судов сохраняет защитные свойства и декоративный вид в течение 3 лет до балла не более A3I и АД 1 по ГОСТ 9.407. Система покрытия, состоящая из трех слоев эмали марки ПФ-218 ГС. нанесенной на загрунтованную грунтовкой АК-070 поверхность приборов, сохраняет защитные свойства и декоративный вид в течение 5 лет до балла не более А31 и АД1 по ГОСТ 9.407.
Стандарт пригоден для целей сертификации по показателям безопасности для жизни и здоровья населения, охраны окружающей среды. Требования к качеству продукции, обеспечивающие безопасность жизни и здоровья населения, охрану окружающей среды, содержатся в пунктах 4. 10 таблицы 2.
1 Марки и технические требования
1.1 В зависимости от режима сушки и назначения выпускают эмали двух марок:
ПФ-218 ХС (холодной сушки) — для окраски внутренних жилых, служебных и специальных помещений судов неограниченного района плавания;
ПФ-218 ГС (горячей сушки) — для окраски наружной поверхности приборов, механизмов и оборудования, нагревающихся в процессе эксплуатации до температуры не выше 100 *С и устанавливаемых в помещениях, указанных выше.
Допускается применение светло-серой эмали ПФ-218 ГС для окраски внутренних жилых и служебных помещений с режимом холодной сушки.
1.2 Эмали должны выпускаться цветов и соответствующих кодов ОКП, указанных в таблице 1.
|
Таблица 1 |
||||||||||||||||||||||||||||||||
|
||||||||||||||||||||||||||||||||
|
11 мание официальное |
||||||||||||||||||||||||||||||||
1
ГОСТ 21227-93
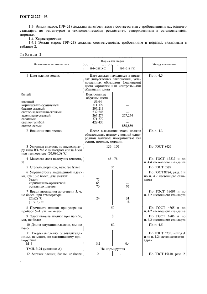
1.3 Эмали марок ПФ-218 должны изготовляться в соответствии с требованиями настоящего стандарта по рецептурам и технологическому регламенту, утвержденным в установленном порядке.
1.4 Характеристики
1.4.1 Эмали марок ПФ-218 должны соответствовать требованиям и нормам, указанным в таблице 2.
|
Таблица 2 |
||||||||||||||||||||||||||||||||||||||||||||||||||||||||||||||||||||||||||||||||||||||||||||||||||||||||||||||||||||||||||||||||||||||||||||||||||||||||||||||||||||||||||||||||||||||||||
|
||||||||||||||||||||||||||||||||||||||||||||||||||||||||||||||||||||||||||||||||||||||||||||||||||||||||||||||||||||||||||||||||||||||||||||||||||||||||||||||||||||||||||||||||||||||||||
ГОСТ 21227-93
|
Окончание таблицы 2 |
||||||||||||||
|
||||||||||||||
1.5 Дополнительные характеристики эмалей приведены в приложении.
1.6 Упаковка — по ГОСТ 9980.3.
1.6.1 Эмали упаковыиают но фляги по ГОСТ 5799. барабаны по ТУ 6—27—2 вместимостью не более 50 л и банки по ГОСТ 6128.
Допускается упаковывать эмали в стальные бочки со съемным верхним допьем по ГОСТ 13950 по согласованию с потребителем, кроме предприятий военно-морского флота.
1.7 Транспортная маркировка — по ГОСТ 9980.4 с нанесением манипуляционных знаков «Беречь от аааги*. «Герметичная упаковка» но ГОСТ 14192, знака опасности (класс 3) — по ГОСТ 19433, классифнкаиионного шифра 3313, черт. 3 и серийного номера ООН 1263.
2 Требования безопасности
2.1 Эмали ПФ-218 яиляются пожароопасными и токсичными материалами, что обусловлено свойствами растворителей, входящих в состав и применяемых для их разбавления (таблица 3).
|
Таблица 3 |
||||||||||||||||||||||||||||||||
|
||||||||||||||||||||||||||||||||
2.2 Эмали Г1Ф-218 и растворители, входящие в их состав и применяемые для их разбавления, могут оказывать раздражающее действие на кожу человека, вызывая экземы и дерматиты, на слизистые оболочки глаз. Растворители действуют как наркотики.
2.3 При производстве, испытании и применении эмалей должны соблюдаться требования пожарной безопасности и промышленной санитарии по ГОСТ 12.3.005.
Все работы с эмалями должны проводиться в помещениях, снабженных приточно-вытяжной вентиляцией (ГОСТ 12.4.021), обеспечивающей состояние воздуха рабочей зоны в соответствии с ГОСТ 12.1.005.
3
ГОСТ 21227-93
2.4 Лица, связанные с изготовлением, испытанием и применением эмалей ПФ-218, должны быть обеспечены специальной одеждой и средствами индивидуальной зашиты по ГОСТ 12.4.011 и ГОСТ 12.4.103.
2.5 Средства тушения пожара: песок, кошма, воздушно-пенные огнетушители типа ОВП-10.01 или углекислотные огнетушители.
2.6 Контроль за соблюдением предельно допустимых выбросов в атмосферу должен проводиться в соответствии с ГОСТ 17.2.3.02.
2.7 Утилизация отходов, образующихся при производстве эмалей, должна проводиться в соответствии с санитарными правилами накопления, транспортирования, обезвреживания и захоронения токсичных промышленных отходов.
3 Правила приемки
3.1 Правила приемки — по ГОСТ 9980.1.
Нормы по показателям 13 и 14 табл. 2 изготовитель определяет периодически один раз в три месяца.
3.2 При получении неудовлетворительных результатов периодических испытаний изготовитель проверяет каждую партию до получения удовлетворительных результатов испытаний подряд не менее чем в 3 партиях.
4 Методы испытаний
4.1 Отбор проб для испытаний — по ГОСТ 99К0.2.
4.2 Подготовка к провелению испытаний
4.2.1 Испытуемую эмаль тщательно перемешивают и определяют массовую долю нелетучих веществ, степень перетира, условную вязкость. Для определения остальных показателей в эмали марок ПФ-218 вводят один из сиккативов: НФ-1 (ГОСТ 1003), 7640, ЖК-1. ЖК-12 — в количестве не более 5 % от массы эмали или ЖК-11 в количестве не более 2,5 % от массы эмали. Затем эмаль тщательно перемешивают и разбавляют уайт-спиритом (ГОСТ 3134) до вязкости 30—35 с по вискозиметру типа ВЗ-246 с диаметром сопла 4 мм при температуре (20.0±0,5) ‘С. Фильтруют через сито с сеткой 016—02 (ГОСТ 6613) и наносят пневматическим распылением на пластинки, подготовленные по ГОСТ 8832. раздел 3.
4.2.2 Цвет, внешний вид, прочность пленки при ударе, время высыхания, адгезию, стойкость пленки к статическому воздействию авиационного бензина и масла, влагостойкость определяют на пластинках из стати марок 08кп и 08пс (ГОСТ 16523) размером 70×150 мм, толщиной 0,8—0,9 мм.
Эластичность пленки при изгибе определяют на пластинках из черной жести по ГОСТ 13345 размером 20×150 мм, толщиной — 0,25—0,32 мм.
Длину затухания пламени определяют на алюминиевой фольге (ГОСТ 618) размером ЗООхЗОО мм. толщиной 0.04—0,05 мм. Допускается использовать алюминиевую фольгу размером не менее 100×300 мм, при этом эмаль наносят одновременно на три образца.
Блеск и твердость пленки определяют на стеклянных пластинах специального назначения размером 90×120 мм и толщиной 1,2 мм по ТУ 21-02X4461—058.
4.2.3 При определении цвета, внешнего вида, укрывистостн, блеска эмаль наносят до полного укрытия. При определении времени высыхания, прочности пленки при ударе, эластичности пленки при изгибе, твердости и адгезии эмаль наносят в один слой. При определении стойкости пленки к статическому воздействию авиационного бензина и масла эмать наносят в два слоя на обе стороны пластинки.
Толщина однослойной пленки — 18—23 мкм, двухслойной — 35—45 мкм. Толщину пленки определяют толщиномером любого типа, обеспечивающим измерение толщины в заданном диапазоне для однослойной пленки с погрешностью не более ±1 мкм, для двухслойной пленки — не более ±2,5 мкм.
При определении длины затухания пламени эмаль наносят в один-два слоя толщиной 35—45 мкм. При определении влагостойкости пленки эмаль наносят в три слоя на предварительно загрунтованную двумя слоями грунтовки АК-070 поверхность металла. Толщина одного слоя грунтовки 8—10 мкм. Общая толщина покрытия должна быть 75—85 мкм. Сушку каждого слоя грунтовки производят в течение 2 ч при температуре (20±2) «С.
4.2.4 Каждый слой эмали марки ПФ-218 ХС сушат в течение 24ч при температуре (20±2) *С, эмали марки ПФ-218 ГС — в течение 4 ч при температуре (105±5) ‘С.
4
ГОСТ 21227-93
При определении прочности пленки при ударе эмаль марки Г1Ф-218 ХС сушат 48 ч при температуре (20±2) ‘С.
При испытании по показателям илагостойкость и стойкость к статическому воздействию авиационного бензина и масла образцы сушат под углом 45′, при испытании по остальным показателям — в горизонтальном положении.
Перед испытанием по показателю влагостойкость покрытие эмалью марки ПФ-218 ГС выдерживают 5 сут; по остальным показателям — 3 ч при температуре (2()±2) ’С и относительной атажности воздуха (65±5) %.
4.3 Определение пвета и внешнего вида пленки
Цвет и внешний вид пленки эмали определяют методом визуального сравнения с цветом соответствующих образцов (эталонов) цвета «Картотеки* или контрольных образцов цвета, при естественном или искусственном дневном рассеянном свете.
Сравниваемые образцы должны находиться в одной плоскости на расстоянии 300—500 мм от глаз наблюдателя пол углом зрения, исключающим блеск поверхности.
При разногласиях в оценке цвета и внешнего вида за результат принимают определение цвета при естественном дневном свете.
4.4 Массовую долю нелетучих веществ определяют по ГОСТ 17537 в сушильном шкафу или под инфракрасной лампой при температуре (140±5) «С до постоянной массы.
4.5 Определение длины затухания пламени
Края фольги с нанесенным и высушенным в соогветствии с п. 4.2 настоящего стандарта покрытием обрезают и из середины вырезают три полосы размером 85×200 мм. Окрашенную полоску фольги захватывают щипцами за один конец, а другой вводят серединой в пламя спиртовой горелки с высотой пламени 30 мм и выдерживают в нем 10 с. При этом наблюдают, как распространяется пламя по высоте образиа, н измеряют сгоревшую часть покрытия (обуглившийся участок).
Длину затухания пламени выражают в миллиметрах сгоревшей части покрытия, за результат испытания принимают среднее арифметическое результатов трех измерений.
4.6 Стойкость пленки к статическому воздействию авиационного бензина (ГОСТ 1012) и авиационного масла (ГОСТ 21743) определяют по ГОСТ 9.403, метод А.
После испытания перед осмотром образцы выдерживают при температуре (20±2) ‘С в течение I ч. На поверхности образиа не должно быть пузырей и вздутий, допускается незначительное посветление или потемнение.
4.7 Определение влагостойкости пленки
Образцы, подготовленные в соответствии с п. 4.2 настоящего стандарта, помешают в камеру тепла и влаги типа КТВ-04/155 и выдерживают непрерывно при температуре (40±2) ‘С и относительной влажности (95±3) % в течение 240 ч. Допускается применение камеры любого типа, обеспечивающей заданный режим испытания без конденсации атаги на поверхности образца.
Затем образны вынимают, выдерживают непрерывно на воздухе в течение 12 ч при температуре (20±2) *С и относительной атажности воздуха (65±5) % и осматривают. На поверхности не должно быть пузырей и сыпи.
5 Указания по применению
5.1 Перед применением в эмаль вводят сиккатив в соответствии с 4.2.1 настоящего стандарта.
5.2 Эмали разбаатяют уайт-спиритом (ГОСТ 3134) до вязкости 30—35 с по вискозиметру типа ВЗ-246 с диаметром сопла 4 мм при температуре (20.0±0,5) ‘С при нанесении пневматическим распылением и до вязкости 50—70 с — при нанесении кистью, валиком, безвоздушным распылением.
5.3 Эмали ПФ-218 наносят при температуре не ниже 5 *С.
Перед применением после хранения при отрицательных температурах эмали выдерживают в течение 24 ч при температуре (20±2) “С.
5.4 Расход эмалей при нанесении кистью или валиком состаатяет 120—140 г/м:. при нанесении пневматическим распылением — 150—170 г/м2, безвоздушным распылением — 140—170 г/м2.
6 Транспортирование и хранение
6.1 Транспортирование и хранение эмалей ПФ-218 — по ГОСТ 9980.5.
7 Гарантии изготовителя
7.1 Изготовитель гарантирует соответствие эмалей требованиям настоящего стандарта при соблюдении условий транспортирования и хранения.
7.2 Гарантийный срок хранения эмалей — 18 мес со дня изготовления.
5
ГОСТ 21227-93
ПРИЛОЖЕНИИ
(справочное)
ДОПОЛНИТЕЛЬНЫЕ ХАРАКТЕРИСТИКИ
Плотность эмалей — 1.40—1.60 г/см3.
Плотность пленки эмали — 1.60 г/см5.
Показатель горючести покрытий эмалями по методике колориметрии — К *= 0.35S. Индекс распространения пламени на стальной пластине толщиной 3 мм — 0. Поверхностная воспламеняемость материала — медленно распространяющий пламя. Пример условного обозначения покрытия но ГОСТ 9.032:
П.4.5.В5.
ИНФОРМАЦИОННЫЕ ДАННЫЕ
|
ССЫЛОЧНЫЕ НОРМАТИВНО-ТЕХНИЧЕСКИЕ ДОКУМЕНТЫ |
||||||||||||||||||||||||||||||||||||||||||||||||||||||||||||||||||||||||||||||||||||
|
Релактор А/.//. Максимова Технический редактор П.II. Прусакоаа Корректор В.Е. Нестерова Компьютерная пережа В.И. Грищенко
Нха. лиц. Nt 023S4 or 14.07.2000. Подписано в печать 13.02.2002. Уел. печ. л. 0.93. Уч.-иха. .1. 0.80
Тира* 107 »]. С 4020. Зак. 4S.
ИГ1К Издательств стандартов, 107076 Москва. Колодезный пер.. 14. http://»w*,itandardirci e-mail: info’il standards.ru
Набрано и отпечатано и ИПК llxiaie.ibctno станяартоп
