Изделия электротехнические. Термины и определения основных понятий
Заменяет

Страница 1

Страница 2

Страница 3

Страница 4

Страница 5

Страница 6

Страница 7

Страница 8

Страница 9

Страница 10

Страница 11

Страница 12

Страница 13

Страница 14

Страница 15

Страница 16

Страница 17

Страница 18

Страница 19

Страница 20
ГОСТ 18311-80
УДК 001.4:621.3.002.5:006.354 Группа Е00
МЕЖГОСУДАРСТВЕННЫЙ СТАНДАРТ
ИЗДЕЛИЯ ЭЛЕКТРОТЕХНИЧЕСКИЕ
ТЕРМИНЫ И ОПРЕДЕЛЕНИЯ ОСНОВНЫХ ПОНЯТИЙ
Electrical products. Terms and definitions of basic concepts
MKC 01.040.29
ОКСТУ 3301, 3401, 3501
Дата введения 01.01.82
ИНФОРМАЦИОННЫЕ ДАННЫЕ
1. РАЗРАБОТАН И ВНЕСЕН Министерством электротехнической промышленности СССР
2. УТВЕРЖДЕН И ВВЕДЕН В ДЕЙСТВИЕ Постановлением Государственного комитета СССР по стандартам от 30.12.80 № 6180
3. ВЗАМЕН ГОСТ 18311-72
4. ССЫЛОЧНЫЕ НОРМАТИВНО-ТЕХНИЧЕСКИЕ ДОКУМЕНТЫ
|
Обозначение НТД, на который дана ссылка |
Номер пункта |
|
ГОСТ 19431-84 |
Табл. 1 п. 5 |
|
ГОСТ 19880-74 |
Табл. 1 пп. 7, 61 |
5. ИЗДАНИЕ (май 2004 г.) с Изменениями № 1, 2, утвержденными в мае 1982 г., марте 1989 г. (ИУС 9-82, 7-89)
Настоящий стандарт устанавливает термины и определения понятий в области электротехнических изделий.
Термины, установленные настоящим стандартом, обязательны для применения во всех видах документации и литературы, входящих в сферу деятельности по стандартизации или использующих результаты этой деятельности.
1. Стандартизованные термины с определениями приведены в табл. 1.
2. Для каждого понятия установлен один стандартизованный термин.
Применение терминов-синонимов стандартизованного термина не допускается. Недопустимые к применению термины-синонимы приведены в табл. 1 в качестве справочных и обозначены пометой «Ндп.».
2.1. Для отдельных стандартизованных терминов в табл. 1 приведены в качестве справочных краткие формы, которые разрешается применять в случаях, исключающих возможность их различного толкования.
2.2. Приведенные определения можно, при необходимости, изменить, вводя в них производные признаки, раскрывая значение используемых в них терминов, указывая объекты, входящие в объем определенного понятия. Изменения не должны нарушать объем и содержание понятий, определенных в данном стандарте.
2.3. В табл. 1 в качестве справочных приведены иноязычные эквиваленты для ряда стандартизованных терминов на английском языке.
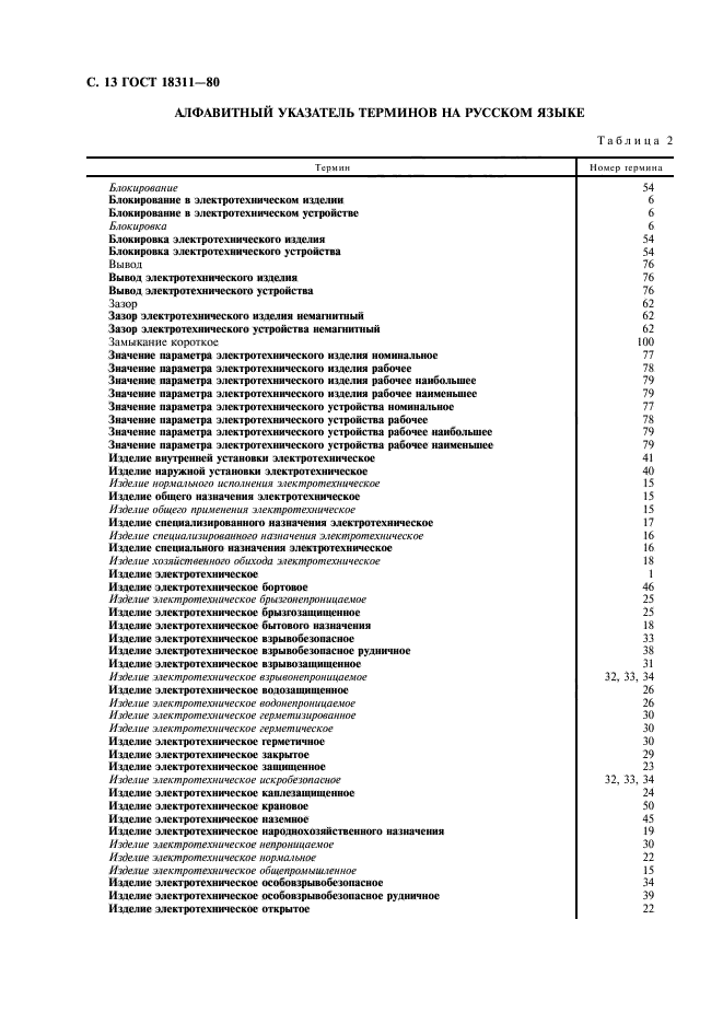
3. Алфавитные указатели содержащихся в стандарте терминов на русском и английском языках приведены в табл. 2—3.
4. Стандартизованные термины набраны полужирным шрифтом, их краткая форма — светлым, а недопустимые синонимы — курсивом.
(Измененная редакция, Изм. № 2).
Таблица 1
|
Термин |
Определение |
|
Общие понятия |
|
|
1. Электротехническое изделие |
Изделие, предназначенное для производства или преобразования, передачи, распределения или потребления электрической энергии |
|
(Измененная редакция, Изм. № 1, 2). |
|
|
1а. Электротехническое устройство Electric device |
Совокупность взаимосвязанных электротехнических изделий, находящихся в конструктивном и (или) функциональном единстве, предназначаемая для выполнения определенной функции по производству или преобразованию, передаче, распределению или потреблению электрической энергии |
|
(Введен дополнительно, Изм. № 2). |
|
|
2. Электрооборудование Electrical equipment |
Совокупность электротехнических устройств, объединенных общими признаками. |
|
Примечание. Признаками объединения в зависимости от задачи могут быть: назначение, например, технологическое; условия применения, например, тропическое; принадлежность к объекту, например, станку, цеху |
|
|
3. Источник электрической энергии Electric energy source Источник |
Электротехническое изделие (устройство), преобразующее различные виды энергии в электрическую энергию |
|
4. Преобразователь электрической энергии Converter Преобразователь электроэнергии |
Электротехническое изделие (устройство), преобразующее электрическую энергию с одними значениями параметров и (или) показателей качества в электрическую энергию с другими значениями параметров и (или) показателей качества. |
|
Примечание. Преобразование параметров может осуществляться по роду тока, напряжению, частоте, числу фаз, фазе напряжения |
|
|
2-4. (Измененная редакция, Изм. № 1, 2). |
|
|
5. Приемник электрической энергии |
По ГОСТ 19431 |
|
6. Блокирование в электротехническом изделии (устройстве) Ндп. Блокировка |
Осуществление логической функции запрета в электротехническом изделии (устройстве) |
|
(Измененная редакция, Изм. № 1). |
|
|
7. Электрическая цепь Electric circuit |
По ГОСТ 19880* ______________ * На территории Российской Федерации действует ГОСТ Р 52002-2003 (здесь и далее). |
|
(Измененная редакция, Изм. № 2). |
|
|
8. Силовая электрическая цепь Силовая цепь |
Электрическая цепь, содержащая элементы, функциональное назначение которых состоит в производстве или передаче основной части электрической энергии, ее распределении, преобразовании в другой вид энергии или в электрическую энергию с другими значениями параметров |
|
(Измененная редакция, Изм. № 1). |
|
|
9. Вспомогательная цепь электротехнического изделия (устройства) Auxiliary circuit Вспомогательная цепь |
Электрическая цепь различного функционального назначения, не являющаяся силовой электрической цепью электротехнического изделия (устройства) |
|
10. Электрическая цепь управления Control circuit Цепь управления |
Вспомогательная цепь электротехнического изделия (устройства), функциональное назначение которой состоит в приведении в действие электрооборудования и (или) отдельных электротехнических изделий или устройств или в изменении значений их параметров |
|
11. Электрическая цепь сигнализации Цепь сигнализации |
Вспомогательная цепь электротехнического изделия (устройства), функциональное назначение которой состоит в приведении в действие сигнальных устройств |
|
12. Электрическая цепь измерения Цепь измерения |
Вспомогательная цепь электротехнического изделия (устройства), функциональное назначение которой состоит в измерении и (или) регистрации значений параметров и (или) получении информации измерений электротехнического изделия (устройства) или электрооборудования |
|
13. Электрическая цепь защиты Цепь защиты |
Вспомогательная цепь электротехнического изделия (устройства), функциональное назначение которой состоит в приведении в действие электрической защиты электротехнического изделия (устройства) или электрооборудования |
|
14. Коммутация электрической цепи Ндп. Коммутирование |
Процесс переключений электрических соединений элементов электрической цепи, выключения полупроводникового прибора |
|
9-14. (Измененная редакция, Изм. № 1, 2). |
|
|
Виды электротехнических изделий, электротехнических устройств, электрооборудования |
|
|
15. Электротехническое изделие (электротехническое устройство, электрооборудование) общего назначения Ндп. Общепромышленное электротехническое изделие Электротехническое изделие общего применения Электротехническое изделие нормального исполнения |
Электротехническое изделие (электротехническое устройство, электрооборудование), удовлетворяющее совокупности технических требований, общих для большинства случаев применения |
|
16. Электротехническое изделие (электротехническое устройство, электрооборудование) специального назначения Ндп. Специальное электротехническое изделие Специализированное электротехническое изделие Электротехническое изделие специализированного назначения |
Электротехническое изделие (электротехническое устройство, электрооборудование), выполненное с учетом требований, специфических для определенного назначения или для определенных условий эксплуатации и (или) имеющее специальные рабочие характеристики и (или) специальную конструкцию |
|
15, 16. (Измененная редакция, Изм. № 1, 2). |
|
|
17. Электротехническое изделие (электротехническое устройство, электрооборудование) специализированного назначения |
Электротехническое изделие (электротехническое устройство, электрооборудование) специального назначения, приспособленное для применения только с одним определенным объектом |
|
18. Электротехническое изделие (электротехническое устройство, электрооборудование) бытового назначения Ндп. Электротехническое изделие хозяйственного обихода |
Электротехническое изделие (электротехническое устройство, электрооборудование), предназначенное для бытовых целей, эксплуатация которого осуществляется необученным персоналом |
|
(Измененная редакция, Изм. № 1). |
|
|
19. Электротехническое изделие (электротехническое устройство, электрооборудование) народно-хозяйственного назначения |
Электротехническое изделие (электротехническое устройство, электрооборудование), выполненное с учетом требований народного хозяйства и населения, кроме предназначенного для экспорта или нужд обороны |
|
(Измененная редакция, Изм. № 1, 2). |
|
|
20. Погружное электротехническое изделие (электротехническое устройство, электрооборудование) |
Электротехническое изделие (электротехническое устройство, электрооборудование) специального назначения, предназначенное для эксплуатации в условиях погружения в жидкость |
|
(Измененная редакция, Изм. № 1). |
|
|
21. Химически стойкое электротехническое изделие (электротехническое устройство, электрооборудование) Ндп. Химоустойчивое электротехническое изделие |
Электротехническое изделие (электротехническое устройство, электрооборудование) специального назначения, стойкое к воздействию химически агрессивных сред, предназначенное для эксплуатации в указанных средах или допускающее работу в этих средах |
|
22. Открытое электротехническое изделие (электротехническое устройство, электрооборудование) Ндп. Нормальное электротехническое изделие |
Электротехническое изделие (электротехническое устройство, электрооборудование), оболочка которого не имеет специальной защиты персонала от прикосновения к токоведущим или движущимся частям, находящимся внутри оболочки защиты от проникновения твердых инородных тел и (или) жидкости |
|
23. Защищенное электротехническое изделие (электротехническое устройство, электрооборудование) |
Электротехническое изделие (электротехническое устройство, электрооборудование), снабженное оболочкой, обеспечивающее защиту персонала от прикосновения к токоведущим или движущимся частям, находящимся внутри оболочки, защиту от проникновения твердых инородных тел и (или) жидкости в количестве, вызывающем нарушение нормальной его работы |
|
24. Каплезащищенное электротехническое изделие (электротехническое устройство, электрооборудование) |
Защищенное электротехническое изделие (электротехническое устройство, электрооборудование), выполненное так, что исключается попадание внутрь его оболочки капель |
|
25. Брызгозащищенное электротехническое изделие (электротехническое устройство, электрооборудование) Ндп. Брызгонепроницаемое электротехническое изделие |
Защищенное электротехническое изделие (электротехническое устройство, электрооборудование), выполненное так, что исключается попадание внутрь его оболочки брызг, падающих под любым углом к вертикали |
|
26. Водозащищенное электротехническое изделие (электротехническое устройство, электрооборудование) |
Защищенное электротехническое изделие (электротехническое устройство, электрооборудование), выполненное так, что при обливании его водой исключается ее попадание внутрь оболочки. |
|
Ндп. Водонепроницаемое электротехническое изделие |
Примечание. Обливание может производиться струей воды из шланга, волнами, кратковременным погружением в воду |
|
27. Пылезащищенное электротехническое изделие (электротехническое устройство, электрооборудование) |
Защищенное электротехническое изделие (электротехническое устройство, электрооборудование), выполненное так, что исключается попадание внутрь его оболочки пыли |
|
21-27. (Измененная редакция, Изм. № 1, 2). |
|
|
28. Пыленепроницаемое электротехническое изделие (электротехническое устройство, электрооборудование) |
Защищенное электротехническое изделие (электротехническое устройство, электрооборудование), выполненное так, что попадание пыли внутрь его оболочки исключено полностью |
|
29. Закрытое электротехническое изделие (электротехническое устройство, электрооборудование) |
Защищенное электротехническое изделие (электротехническое устройство, электрооборудование), выполненное с такой оболочкой, что возможность сообщения между его внутренним пространством и окружающей средой может иметь место только через неплотности соединений между частями электротехнического изделия (электротехнического устройства; электрооборудования) |
|
28, 29. (Измененная редакция, Изм. № 1). |
|
|
30. Герметичное электротехническое изделие (электротехническое устройство, электрооборудование) Ндп. Непроницаемое электротехническое изделие Герметизированное электротехническое изделие Герметическое электротехническое изделие |
Защищенное электротехническое изделие (электротехническое устройство, электрооборудование), выполненное с такой оболочкой, что практически исключена возможность сообщения между его внутренним пространством и окружающей средой. Примечание. В зависимости от вида защиты различают непроницаемое к жидкости и газонепроницаемое электротехническое изделие (электротехническое устройство, электрооборудование) |
|
(Измененная редакция, Изм. № 1, 2). |
|
|
31. Взрывозащищенное электротехническое изделие (электротехническое устройство, электрооборудование) |
Электротехническое изделие (электротехническое устройство, электрооборудование) специального назначения, которое выполнено таким образом, что устранена или затруднена возможность воспламенения окружающей его взрывоопасной среды вследствие эксплуатации этого изделия |
|
32. Электротехническое изделие (электротехническое устройство, электрооборудование) повышенной надежности против взрыва Ндп. Взрывонепроницаемое электротехническое изделие Искробезопасное электротехническое изделие |
Взрывозащищенное электротехническое изделие (электротехническое устройство, электрооборудование), в котором взрывозащита обеспечивается только в признанном нормальном режиме его работы. Примечание. Признанный нормальный режим работы приведен, где это необходимо, в стандартах на виды взрывозащиты электротехнического изделия |
|
33. Взрывобезопасное электротехническое изделие (электротехническое устройство, электрооборудование) Ндп. Взрывонепроницаемое электротехническое изделие Искробезопасное электротехническое изделие |
Взрывозащищенное электротехническое изделие (электротехническое устройство, электрооборудование), в котором взрывозащита обеспечивается как при нормальном режиме работы, так и при признанных вероятных повреждениях, определяемых условиями эксплуатации, кроме повреждений средств взрывозащиты. Примечание. Признанные вероятные повреждения приведены, где это необходимо, в стандартах на виды взрывозащиты электротехнического изделия |
|
31-33. (Измененная редакция, Изм. № 1). |
|
|
34. Особовзрывобезопасное электротехническое изделие (электротехническое устройство, электрооборудование) Ндп. Взрывонепроницаемое электротехническое изделие Искробезопасное электротехническое изделие |
Взрывозащищенное электротехническое изделие (электротехническое устройство, электрооборудование), в котором по отношению к взрывобезопасному электротехническому изделию приняты дополнительные средства взрывозащиты, предусмотренные стандартами на виды взрывозащиты |
|
35. Рудничное электротехническое изделие (электротехническое устройство, электрооборудование) Ндп. Шахтное электротехническое изделие |
Электротехническое изделие (электротехническое устройство, электрооборудование) специального назначения, предназначенное для рудников, шахт, карьеров и горно-обогатительных предприятий |
|
(Измененная редакция, Изм. № 1). |
|
|
36. Нормальное рудничное электротехническое изделие (электротехническое устройство, электрооборудование) |
Рудничное электротехническое изделие (электротехническое устройство, электрооборудование), не имеющее видов взрывозащиты и содержащее все виды защиты, обеспечивающее надежность и безопасность его эксплуатации |
|
(Измененная редакция, Изм. № 1, 2). |
|
|
37. Рудничное электротехническое изделие (электротехническое устройство, электрооборудование) повышенной надежности против взрыва |
Рудничное электротехническое изделие (электротехническое устройство, электрооборудование), в котором взрывозащита обеспечивается только в признанном нормальном режиме его работы |
|
38. Рудничное взрывобезопасное электротехническое изделие (электротехническое устройство, электрооборудование) |
Рудничное электротехническое изделие (электротехническое устройство, электрооборудование), в котором взрывозащита обеспечивается как при нормальном режиме работы, так и при признанных вероятных повреждениях, определяемых условиями эксплуатации, кроме повреждений средств защиты |
|
37, 38. (Измененная редакция, Изм. № 1). |
|
|
39. Рудничное особовзрывобезопасное электротехническое изделие (электротехническое устройство, электрооборудование) |
Рудничное электротехническое изделие (электротехническое устройство, электрооборудование), в котором по отношению к взрывобезопасному электротехническому изделию приняты дополнительные средства взрывозащиты, предусмотренные стандартами на виды взрывозащиты |
|
40. Электротехническое изделие (электротехническое устройство, электрооборудование) наружной установки |
Электротехническое изделие (электротехническое устройство, электрооборудование), предназначенное для эксплуатации вне помещений или сооружений (на открытом пространстве) |
|
41. Электротехническое изделие (электротехническое устройство, электрооборудование) внутренней установки |
Электротехническое изделие (электротехническое устройство, электрооборудование), предназначенное для эксплуатации в помещениях или сооружениях |
|
40, 41. (Измененная редакция, Изм. № 1) |
|
|
42. Стационарное электротехническое изделие (электротехническое устройство, электрооборудование) Fixed equipment |
Электротехническое изделие (электротехническое устройство, электрооборудование), предназначенное для эксплуатации без перемещения его относительно места установки |
|
43. Передвижное электротехническое изделие (электротехническое устройство, электрооборудование) Portable equipment |
Электротехническое изделие (электротехническое устройство, электрооборудование), которое допускает перемещение от одного места установки к другому без нарушения его готовности к работе и (или) во время работы |
|
44. Переносное электротехническое изделие (электротехническое устройство, электрооборудование) Hand-held equipment |
Передвижное электротехническое изделие (электротехническое устройство, электрооборудование), предназначенное для перемещения вручную или во вьюках, или которое можно переносить вручную в процессе работы |
|
42-44. (Измененная редакция, Изм. № 1, 2). |
|
|
45. Наземное электротехническое изделие (электротехническое устройство, электрооборудование) |
Электротехническое изделие (электротехническое устройство, электрооборудование), предназначенное для эксплуатации непосредственно на земле, на объектах, расположенных или перемещающихся на земле, или в подземных сооружениях |
|
46. Бортовое электротехническое изделие (электротехническое устройство, электрооборудование) |
Электротехническое изделие (электротехническое устройство, электрооборудование) специального назначения, предназначенное для эксплуатации на борту объекта, который размещается или перемещается в воздушной, безвоздушной или водной среде |
|
47. Электрооборудование летательного аппарата |
Бортовое электрооборудование, предназначенное для эксплуатации на летательном аппарате. Примечание. В зависимости от вида летательного аппарата: самолета, вертолета или ракеты различают самолетное и ракетное электрооборудование |
|
48. Судовое электротехническое изделие (электротехническое устройство, электрооборудование) |
Бортовое электротехническое изделие (электротехническое устройство, электрооборудование), предназначенное для эксплуатации на судах или плавучих средствах |
|
49. Тяговое электротехническое изделие (электротехническое устройство, электрооборудование) |
Электротехническое изделие (электротехническое устройство, электрооборудование) специального назначения, предназначенное дл |
