Проволока из никелевого и медно-никелевых сплавов для удлиняющих проводов к термоэлектрическим преобразователям. Технические условия
Заменяет

Страница 1

Страница 2

Страница 3

Страница 4

Страница 5

Страница 6

Страница 7

Страница 8

Страница 9

Страница 10

Страница 11

Страница 12

Страница 13

Страница 14

Страница 15
МЕЖГОСУДАРСТВЕННЫЙ СОВЕТ ПО СТАНДАРТИЗАЦИИ. МЕТРОЛОГИИ И СЕРТИФИКАЦИИ
(МГС)
INTERSTATE COUNCIL FOR STANDARDIZATION, METROLOGY AND CERTIFICATION
(ISC)
ГОСТ
МЕЖГОСУДАРСТВЕННЫЙ 1791-стандарт 2014
ПРОВОЛОКА ИЗ НИКЕЛЕВОГО И МЕДНОНИКЕЛЕВЫХ СПЛАВОВ ДЛЯ УДЛИНЯЮЩИХ ПРОВОДОВ К ТЕРМОЭЛЕКТРИЧЕСКИМ ПРЕОБРАЗОВАТЕЛЯМ
Технические условия
Издание официальное
Москва
Стандартинформ
2015
Предисловие
Цели, основные принципы и порядок проведения работ по межгосударственной стандартизации установлены в ГОСТ 1.0-92 «Межгосударственная система стандартизации. Основные положения» и ГОСТ 1.2-2009 «Межгосударственная система стандартизации. Стандарты межгосударственные, правила, рекомендации по межгосударственной стандартизации. Правила разработки, принятия, обновления и отмены»
Сведения о стандарте
1 РАЗРАБОТАН Техническим комитетом по стандартизации ТК 106 «Цветметпрокат», Научно-исследовательским. проектным и конструкторским институтом сплавов и обработки цветных металлов Открытое акционерное общество «Институт Цветметобработка»
2 ВНЕСЕН Техническим секретариатом Межгосударственного совета по стандартизации, метрологии и сертификации
3 ПРИНЯТ Межгосударственным советом по стандартизации, метрологии и сертификации (протокол от 5 декабря 2014 г. No 46-2014)
За принятие проголосовали:
|
Краткое наименование страны по МК (ИСО 3166) 004 — 97 |
Код страны по МК (ИСО 3166) 004 — 97 |
Сокращенное наименованиенационального органа по стандартизации |
|
Беларусь |
BY |
Госстандарт Республики Беларусь |
|
Киргизия |
KG |
Кыргыэстандарт |
|
Россия |
RU |
Росстандарт |
|
Узбекистан |
UZ |
Узстандарт |
4 Приказом Федерального агентства по техническому регулированию и метрологии от 12 декабря 2014 г. No 2047-ст межгосударственный стандарт ГОСТ 1791-2014 введен в действие в качестве национального стандарта Российской Федерации с 1 сентября 2015 г.
5 ВЗАМЕН ГОСТ 1791-67
Информация об изменениях к настоящему стандарту публикуется в ежегодном информационном указателе «Национальные стандарты», а текст изменений и поправок — в ежемесячном инфоршционном указателе «Национальные стандарты». В случае пересмотра (замены) или отмены настоящего стандарта соответствующее уведомление будет опубликовано в ежемесячном информационном указателе «Национальные стандарты». Соответствующая информация, уведомление и тексты размещаются также в информационной системе общего пользования — на официальном сайте Федерального агентства по техническому регулированию и метрологии в сети Интернет
© Стандартинформ. 2015
В Российской Федерации настоящий стандарт не может быть полностью или частично воспроизведен, тиражирован и распространен в качестве официального издания без разрешения Федерального агентства по техническому регулированию и метрологии
Приложение А (рекомендуемое)
ГОСТ 1791-2014
Диаметры, площадь поперечного сечения и теоретическая масса 1000 м проволоки из сплавов хромель К, копель, константан и ТП
Таблица А.1
|
Диаметр проволоки. мм |
Площадь поперечного сечения, мм2 |
Теоретическая масса. 1000 м проволоки, кг. из сплава |
||
|
хромель К (плотность -8.7 г/см3.) |
копель и константан (плотность — 8.9 г/см3.) |
ТП (плотность — 8.96 г/см3.) |
||
|
0.20 |
0.0314 |
0.273 |
0.280 |
0.281 |
|
0.30 |
0.0707 |
0.615 |
0.626 |
0.63 |
|
0.40 |
0,126 |
1.096 |
1.119 |
1.129 |
|
0.42 |
0,138 |
1.201 |
1.228 |
1.236 |
|
0.45 |
0.159 |
1.383 |
1.415 |
1.425 |
|
0.50 |
0,196 |
1.706 |
1,747 |
1.756 |
|
0.52 |
0,212 |
1.844 |
1,887 |
1.900 |
|
0.55 |
0,238 |
2.071 |
2.115 |
2.132 |
|
0.57 |
0.255 |
2.218 |
2.270 |
2.285 |
|
0.60 |
0.283 |
2.462 |
2.516 |
2.536 |
|
0.67 |
0,352 |
3.062 |
3.133 |
3.154 |
|
0.70 |
0.385 |
3.350 |
3.425 |
3.450 |
|
0.80 |
0.503 |
4.376 |
4.474 |
4.507 |
|
0.90 |
0.636 |
5,533 |
5.662 |
5.699 |
|
1.00 |
0.785 |
6.830 |
6.990 |
7.034 |
|
1.10 |
0,950 |
8.265 |
8.458 |
8.512 |
|
1,13 |
1.002 |
8.717 |
8.918 |
8.978 |
|
1.20 |
1.13 |
9.831 |
10.066 |
10.125 |
|
1.40 |
1.54 |
13.398 |
13.700 |
13.798 |
|
1.60 |
2.01 |
17.487 |
17.894 |
18.010 |
|
1.76 |
2.43 |
21.169 |
21.656 |
21.802 |
|
2.00 |
3.14 |
27.318 |
27.960 |
28.134 |
|
2.20 |
3,80 |
33.060 |
33.820 |
34.048 |
|
2.25 |
3,97 |
34.539 |
35.387 |
35.571 |
|
2.50 |
4.91 |
42.717 |
43.687 |
43.994 |
9
МЕЖГОСУДАРСТВЕННЫЙ
ГОСТ 1791-2014 СТАНДАРТ
ПРОВОЛОКА ИЗ НИКЕЛЕВОГО И МЕДНО-НИКЕЛЕВЫХ СПЛАВОВ ДЛЯ УДЛИНЯЮЩИХ ПРОВОДОВ К ТЕРМОЭЛЕКТРИЧЕСКИМ ПРЕОБРАЗОВАТЕЛЯМ
Технические условия
Nickel and copper-nickel alloys wire for extension leads for thermoelectric temperature transducers. Specifications
Дата введения — 2015—09— 01
1 Область применения
Настоящий стандарт распространяется на проволоку круглого сечения из никелевого и медноникелевых сплавов, предназначенную для изготовления удлиняющих проводов к термоэлектрическим преобразователям: хромель-копель в диапазоне от минус 50 °С до плюс 200 вС. хромель-алюмель и платинородий-платина в диапазоне от 0 °С до 100 °С.
Требования настоящего стандарта являются обязательными.
2 Нормативные ссылки
В настоящем стандарте использованы нормативные ссылки на следующие межгосударственные стандарты:
ГОСТ 8.338-2002 Государственная система обеспечения единства измерений. Преобразователи термоэлектрические. Методика поверки
ГОСТ 492-73 Никель, сплавы никелевые и медно-никелевые, обрабатываемые давлением. Марки
ГОСТ 982-80 Масла трансформаторные. Технические условия
ГОСТ 1770-74 (ИСО 1042-83, ИСО 4788-80) Посуда мерная лабораторная стеклянная. Цилиндры, мензурки, колбы, пробирки. Общие технические условия ГОСТ 1953.1-79 Бронзы оловянные. Методы анализа ГОСТ 1953.2-79 Бронзы оловянные. Методы определения свинца ГОСТ 1953.3-79 Бронзы оловянные. Методы определения олова ГОСТ 1953.4-79 Бронзы оловянные. Методы определения фосфора ГОСТ 1953.5-79 Бронзы оловянные. Методы определения никеля ГОСТ 1953.6-79 Бронзы оловянные. Методы определения цинка ГОСТ 1953.7-79 Бронзы оловянные. Методы определения железа ГОСТ 1953.8-79 Бронзы оловянные. Методы определения алюминия ГОСТ 1953.9-79 Бронзы оловянные. Методы определения кремния ГОСТ 1953.10-79 Бронзы оловянные. Методы определения сурьмы ГОСТ 1953.11-79 Бронзы оловянные. Методы определения висмута ГОСТ 1953.12-79 Бронзы оловянные. Методы определения серы ГОСТ 1953.13-79 Бронзы оловянные. Методы определения марганца ГОСТ 1953.14-79 Бронзы оловянные. Методы определения магния ГОСТ 1953.15-79 Бронзы оловянные. Методы определения мышьяка ГОСТ 1953.16-79 Бронзы оловянные. Методы определения титана ГОСТ 2112-79 Проволока медная круглая электротехническая. Технические условия ГОСТ 2991-85 Ящики дощатые неразборные для грузов массой до 500 кг. Общие технические условия
ГОСТ 3282-74 Проволока стальная низкоуглеродистая общего назначения. Технические условия ГОСТ 3560-73 Лента стальная упаковочная. Технические условия ГОСТ 4381-87 Микрометры рычажные. Общие технические условия
ГОСТ 6323-79 Провода с поливинилхлоридной изоляцией для электрических установок. Технические условия
Издание официальное
ГОСТ 6507-90 Микрометры. Технические условия
ГОСТ 6689.1-92 Никель, сплавы никелевые и медно-никелевые. Методы определения меди ГОСТ 6689.2-92 Никель, сплавы никелевые и медно-никелевые. Методы определения никеля ГОСТ 6689.3-92 Никель, сплавы никелевые и медно-никелевые. Методы определения никеля и кобальта
ГОСТ 6689.4-92 Никель, сплавы никелевые и медно-никелевые. Методы определения цинка ГОСТ 6689.5-92 Никель, сплавы никелевые и медно-никелевые. Методы определения железа ГОСТ 6689.6-92 Никель, сплавы никелевые и медно-никелевые. Методы определения марганца ГОСТ 6689.7-92 Никель, сплавы никелевые и медно-никелевые. Методы определения кремния ГОСТ 6689.8-92 Никель, сплавы никелевые и медно-никелевые. Методы определения алюминия ГОСТ 6689.9-92 Никель, сплавы никелевые и медно-никелевые. Методы определения кобальта ГОСТ 6689.10-92 Никель, сплавы никелевые и медно-никелевые. Методы определения углерода ГОСТ 6689.11-92 Никель, сплавы никелевые и медно-никелевые. Методы определения вольфрама
ГОСТ 6689.12-92 Никель, сплавы никелевые и медно-никелевые. Методы определения магния ГОСТ 6689.13-92 Никель, сплавы никелевые и медно-никелевые. Методы определения мышьяка ГОСТ 6689.14-92 Никель, сплавы никелевые и медно-никелевые. Методы определения хрома ГОСТ 6689.15-92 Никель, сплавы никелевые и медно-никелевые. Методы определения сурьмы ГОСТ 6689.16-92 Никель, сплавы никелевые и медно-никелевые. Методы определения цинка, кадмия, свинца, висмута и олова
ГОСТ 6689.17-92 Никель, сплавы никелевые и медно-никелевые. Методы определения висмута ГОСТ 6689.18-92 Никель, сплавы никелевые и медно-никелевые. Методы определения серы ГОСТ 6689.19-92 Никель, сплавы никелевые и медно-никелевые. Методы определения фосфора
ГОСТ 6689.20-92 Никель, сплавы никелевые и медно-никелевые. Методы определения свинца ГОСТ 6689.21-92 Никель, сплавы никелевые и медно-никелевые. Методы определения титана ГОСТ 6689.22-92 Никель, сплавы никелевые и медно-никелевые. Методы определения олова ГОСТ 7229-76 Кабели, провода и шнуры. Метод определения электрического сопротивления токопроводящих жил и проводников
ГОСТ 8273-75 Бумага оберточная. Технические условия
ГОСТ 8828-89 Бумага — основа и бумага двухслойная водонепроницаемая упаковочная. Технические условия
ГОСТ 9078-84 Поддоны плоские. Общие технические условия
ГОСТ 9245-79 Потенциометры постоянного тока измерительные. Общие технические условия ГОСТ 9347-74 Картон прокладочный и уплотнительные прокладки из него. Технические условия ГОСТ 9569-2006 Бумага парафинированная. Технические условия
ГОСТ 9557-87 Поддон плоский деревянный размером 800×1200 мм. Технические условия ГОСТ 10446-80 (ИСО 6892-84) Проволока. Метод испытания на растяжение ГОСТ 13646-68 Термометры стеклянные ртутные для точных измерений. Технические условия ГОСТ 14192-96 Маркировка грузов
ГОСТ 15846-2002 Продукция, отправляемая в районы Крайнего Севера и приравненные к ним местности. Упаковка, маркировка, транспортирование и хранение
ГОСТ 17675-87 Трубки электроизоляционные гибкие. Общие технические условия ГОСТ 20435-75 Контейнер универсальный металлический закрытый номинальной массой брутто
3.0 т. Технические условия
ГОСТ 21140-88 Тара. Система размеров
ГОСТ 21656-76 Средства скрепления тарно-штучных грузов в транспортных пакетах. Общие требования
ГОСТ 22225-76 Контейнеры универсальные массой брутто 0.625 и 1.25 т. Технические условия ГОСТ 24047-80 Полуфабрикаты из цветных металлов и их сплавов. Отбор проб для испытания на растяжение
ГОСТ 24231-80 Цветные металлы и сплавы. Общие требования к отбору и подготовке проб для химического анализа
ГОСТ 24597-81 Пакеты тарно-штучных грузов. Основные параметры и размеры ГОСТ 25086-2011 Цветные металлы и их сплавы. Общие требования к методам анализа ГОСТ 26663-85 Пакеты транспортные. Формирование с применением средств пакетирования. Общие технические требования
СТ СЭВ 543-77 Числа. Правила записи и округления
Примечание — При пользовании настоящим стандартом целесообразно проверить действие ссылочных стандартов по указателю «Национальные стандарты», составленному по состоянию на 1 января
2
ГОСТ 1791-2014
текущего года, и по соответствующим информационным указателям, опубликованным в текущем году. Если ссылочный стандарт заменен (изменен), то при пользовании настоящим стандартом, следует руководствоваться заменяющим (измененным) стандартом. Если ссылочный стандарт отменен без замены, то положение, в котором дана ссылка на него, применяется в части, не затрагивающей эту ссылку.
3 Термины и определения
В настоящем стандарте применены следующие термины с соответствующими определениями:
3.1 проволока: Полуфабрикат с поперечным сечением постоянных
размеров, свернутый в бухту или намотанный на катушку, изготовляемый
прокаткой, прессованием или волочением.
3.2 овальность: (отклонение от круглой формы): Разность наибольшего и наименьшего значений диаметров, измеренных в одном поперечном сечении, перпендикулярном к оси проволоки.
3.3 бухта: Отрезок изделия, намотанный в серию непрерывных витков правильными неперепутанными рядами, без резких изгибов.
3.4 вмятина: Местное углубление различных размеров и формы с пологими краями.
3.5 раковина: Углубление на поверхности изделия от выкрашивания посторонних включений.
3.6 трещина: Дефект поверхности, представляющий собой разрыв металла.
3.7 расслоение: Нарушение сплошности металла, ориентированное вдоль направления деформации.
3.8 риски: Продольные углубления или выступы на поверхности изделия различной длины в направлении деформации.
4 Сортамент
4.1 Диаметры круглой проволоки и предельные отклонения по ним должны соответствовать указанным в таблице 1.
Таблица 1__В миллиметрах
|
Номинальный диаметр проволоки |
Предельное отклонение по диаметру |
Номинальный диаметр проволоки |
Предельное отклонение по диаметру |
|
0.20 |
0.80 |
♦0.02 |
|
|
0.30 |
±0.01 |
0.90 |
-0.01 |
|
1.00 |
|||
|
0.40 |
1.10 |
||
|
0.42 |
♦0,015 |
1.13 |
|
|
0.45 |
-0.01 |
1,20 |
|
|
0.50 |
1.40 |
||
|
0.52 |
1.60 |
||
|
0.55 |
1.76 |
±0.02 |
|
|
0.57 |
2.00 |
||
|
0.60 0.67 0.70 |
♦0,02 ■0.01 |
2,20 2,25 2.50 |
П р и м е ч а н и е — Диаметры, площадь поперечного сечения и теоретическая мае cal ООО м используемой проволоки круглого сечения приведены в приложении А.
4.2 Овальность проволоки не должна превышать допускаемого предельного отклонения по диаметру.
4.3 Проволоку поставляют в бухтах, мотках или на катушках.
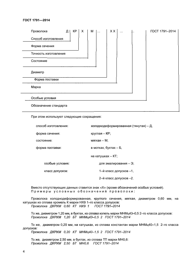
Условные обозначения проволоки проставляют по схеме:
Особые условия
Обозначение стандарта
При этом используют следующие сокращения:
ГОСТ 1791-2014
способ изготовления: форма сечения: состояние: форма поставки:
особые условия: класс допусков:
холоднодеформированная (тянутая) — Д. круглая — КР; мягкая — М; в мотках, бухтах — Б. на катушках — КТ;
для эмалирования — Э;
1- й класс допусков -1,
2- й класс допусков -2.
Вместо отсутствующих данных ставится знак «X» (кроме обозначений особых условий). Примеры условных обозначений проволоки:
Проволока холоднодеформированная. круглого сечения, мягкая, диаметром 0.60 мм. на катушках из сплава хромель К марки НХ9 1-го класса допусков:
Проволока ДКРХМ 0.60 КТ НХ9 1 ГОСТ 1791-2014
То же. диаметром 1.20 мм. в бухтах, из сплава копель марки МНМц43-0,5 2-го класса допусков: Проволока ДКРХМ 1.20 ВТ МНМц43-0.5 2 ГОСТ 1791-2014
То же. диаметром 0.20 мм. на катушках, из сплава константан марки МНМц40-1,5 2-го класса допусков:
Проволока ДКРХМ 0.20 КТ МНМц40-1.5 2 ГОСТ 1791-2014
То же. диаметром 2.50 мм. в бухтах, из сплава ТП марки МН0.6: Проволока ДКРХМ 2.50 ВТ МН0.6 ГОСТ 1791-2014
5 Технические требования
ГОСТ 1791-2014
5.1 Проволоку изготовляют в соответствии с требованиями настоящего стандарта по технологическому регламенту, утвержденному в установленном порядке из никелевого сплава марки НХ9 (хромель К) и медно-никелевых сплавов марок МНМц43-0.5 (копель). МНМц40-1.5 (константан) и МН0.6 (ТП)4-3 с химическим составом по ГОСТ 492 .
Допускаются отклонения химического состава проволоки по основным компонентам и примесям не более 0.3 % от норм, приведенных в ГОСТ 492; в сплаве ТП содержание углерода не регламентируется, если проволока удовлетворяет всем остальным требованиям настоящего стандарта.
5.2 Проволоку изготовляют в отожженном (мягком) состоянии с окисленной поверхностью. По требованию потребителя проволоку из сплава копель изготовляют с неокисленной (светлой) поверхностью.
5.3 Поверхность проволоки должна быть чистой, свободной от загрязнений, затрудняющих ее осмотр, не должна иметь трещин, плен, раковин, расслоений, закатов, вмятин, царапин и рисок.
Не допускаются поверхностные дефекты, выводящие проволоку (после их контрольной зачистки) за предельные отклонения по диаметру. На поверхности проволоки, предназначенной под эмалирование, не должно быть следов смазки.
5.4 Термоэлектродвижущая сила (т. э. д. с.), развиваемая проволокой в паре с медным образцом, должна соответствовать требованиям, указанным в таблице 2.
Таблица 2
|
Наименование сплава |
Т. э. д. с. в паре с медным образцом при температуре 100 °С (свободный конец при 0 °С ), мВ |
Предельное отклонение . мВ. для класса допуска |
|
|
1-го |
2-го |
||
|
Хромель К |
♦2.09 |
0,05 |
0.08 |
|
Копель |
-4.77 |
0.06 |
0.10 |
|
Константан |
-4,10 |
0.06 |
0.10 |
|
ТП |
-0.64 |
— |
— |
Примечания:
1 О применении проволоки из сплава хромель К. копель. константан и ТП см. таблицу А2 приложения А.
2 Проволоку из сплава ТП изготовляют с предельным отклонением ± 0.03 мВ.
5.5 Удельное электрическое сопротивление сплавов хромеля К, копеля. константана и ТП должно соответствовать требованиям, изложенным в таблице 3.
Таблица 3
|
Наименование сплава |
Удельное электрическое сопротивление при 20 “С . 10″* Ом/м |
|
Хромель К |
0.67 ±0.05 |
|
Копель |
0.47 ±0.02 |
|
Константан |
0.465 ±0.015 |
|
ТП |
0.025 ±0.003 |
5
5.6 Масса проволоки в мотке или на катушке приведена в приложении Б.
5.7 Механические свойства проволоки должны соответствовать указанным в таблице 4.
Таблица 4
|
Наименование сплава |
Диаметр проволоки |
Временное сопротивление ав1, МПа (кгс/мм2) |
Относительное удлинение после разрыва при расчетной длине образца 100 мм 5, %. не менее |
|
Хромель К |
0.20; 0.30 |
490 (50) |
15 |
|
0,40—2,50 |
20 |
||
|
Копель |
0.20; 0,30 |
390 (40) |
15 |
|
0.40—2.50 |
20 |
||
|
Константан |
0,20; 0.30 |
390 (40) |
10 |
|
0.40—2,50 |
15 |
||
|
ТП |
0,20; 0.67 |
200 (20) |
20 |
|
0,70—2.50 |
25 |
6 Правила приемки
6.1 Проволоку принимают партиями. Партия должна состоять из проволоки одного класса допусков по т.э-д.с.. одного диаметра, одной марки сплава и должна быть оформлена одним документом о качестве, содержащим:
— товарный знак или наименование и товарный знак предприятия-изготовителя;
— наименование страны-изготовителя;
— юридический адрес изготовителя и / или продавца;
— условное обозначение проволоки:
— номер партии:
— массу нетто партии;
— количество мест (бухт, мотков или катушек).
Масса партии должна быть не более 1000 кг.
6.2 Качество поверхности, размеры проволоки и т.э.д.с. проверяют на каждой катушке
(мотке).
6.3 Для проверки удельного электрического сопротивления отбирают три мотка (катушки) от партии.
6.4 Для проверки механических свойств отбирают три мотка (катушки) от партии.
Испытание проволоки на разрыв проводят по требованию потребителя.
6.5 Для проверки химического состава отбирают два мотка или две катушки от партии. Допускается на предприятии-изготовителе проводить проверку химического состава на пробах,
взятых от расплавленного металла.
6.6 При получении неудовлетворительных результатов испытаний хотя бы по одному из показателей по нему проводят повторное испытание на удвоенной выборке, взятой от той же партии. Результаты повторных испытаний распространяют на всю партию.
7 Методы контроля и испытаний
7.2 Осмотр внешнего вида проволоки проводят без применения увеличительных приборов.
7.3 Диаметр проволоки измеряют на каждом отобранном мотке, бухте или катушке микрометрами по ГОСТ 4381 и ГОСТ 6507 или другими приборами, обеспечивающими необходимую точность измерения.
Измерение диаметра проволоки и ее овальности проводят не менее чем в двух местах, в двух взаимно перпендикулярных направлениях одного и того же сечения в начале, конце и середине мотка, бухты или катушки. За диаметр принимают среднее значение одной или нескольких пар измерений, проведенных под прямым углом в одном поперечном сечении.
При возникновении разногласий в определении диаметра измерения проводят микрометрами по ГОСТ 4381, ГОСТ 6507.
7.4 Значения т.э.д.с. проволоки определяют измерением т.э.д.с., развиваемой образцом при температуре свободного конца 0 X и рабочего конца 100 X в паре с медной проволокой, по технической документации, имеющей т.э.д.с. относительно платины при 100 X, равную (0,760 ± 0,005) мВ.
6
ГОСТ 1791-2014
Т.э.д.с. Образцов в паре с медной проволокой определяют методом, указанным в приложении В, или другими методами, обеспечивающими необходимую точность измерения.
При возникновении разногласий в определении значений т.э.д.с. измерения проводят методом, указанным в приложении В.
7.5 Удельное электрическое сопротивление определяют по ГОСТ 7229 методом, обеспечивающим определение сопротивления с точностью до 1 %.
7.6 Испытание проволоки на растяжение (временное сопротивление и относительное удлинение после разрыва) проводят по ГОСТ 10446 на образцах с расчетной длиной 100 мм. Отбор и подготовку проб образцов проводят по ГОСТ 24047.
Для испытания на растяжение вырезают по одному образцу от каждой отобранной катушки (мотка).
7.7 Для анализа химического состава от каждой отобранной катушки (мотка) вырезают по одному образцу. Отбор и подготовку проб для определения химического состава проводят по ГОСТ 24231.
Анализ химического состава проводят по ГОСТ 1953.1 — ГОСТ 1953.16. ГОСТ 25086. ГОСТ
6689.1 — ГОСТ 6689.22 и ГОСТ 30608.
Допускается проводить химический анализ другими методами, не уступающими по точности указанным. При возникновении разногласий в оценке химического состава анализ проводят по ГОСТ 25086. ГОСТ 6689.1 -ГОСТ 6689.22.1953.1 — ГОСТ 1953.16 и ГОСТ 25086.
7.8 Результаты измерений округляют по правилам округления, установленным СТ СЭВ 543.
8 Упаковка, маркировка, транспортирование и хранение
8.1 Проволоку диаметром 0.45 мм и менее наматывают на катушки, диаметром 0.50 мм и более — свертывают в мотки.
По требованию потребителя проволоку диаметром от 0,50 до 0.70 мм включительно наматывают на катушки.
8.2 Проволока должна быть свернута в мотки или намотана на катушки правильными нелерепутанными рядами, без резких изгибов. Расстояние между верхним рядом проволоки и краем щеки катушки должно быть не менее 3 мм.
8.3 Витки проволоки в катушке или мотке не должны слипаться.
Концы проволоки должны быть прочно закреплены с обеспечением свободного нахождения внешнего конца и свободного разматывания проволоки.
8.4 Каждая катушка или моток должны состоять из одного отрезка проволоки, без сращиваний, скруток и узлов.
8.5 Каждый моток должен быть перевязан термически обработанной проволокой диаметром не менее 0.5 мм по ГОСТ 3282 или синтетической лентой по технической документации в двух местах симметрично по окружности мотка, со скруткой концов проволоки не менее трех витков.
Мотки одного диаметра, одной марки сплава, одного класса допусков по т.э.д.с. связывают в бухты.
Каждая бухта должна быть прочно перевязана термически обработанной проволокой диаметром не менее 1 мм по ГОСТ 3282 не менее чем в трех местах равномерно по окружности бухты с прокладкой из бумаги по ГОСТ 8273. в местах перевязки со скруткой концов проволоки не менее пяти витков.
8.6 К каждой бухте или мотку, если он не связан в бухты, должен быть прикреплен ярлык, а на каждую катушку должна быть наклеена этикетка с указанием:
— товарного знака или наименования и товарного знака предприятия-изготовителя;
— наименование страны-изготовителя;
— условного обозначения проволоки;
— номера партии;
— штампа технического контроля.
8.7 Бухты или катушки проволоки диаметром 1.00 мм и менее должны быть упакованы в плотные деревянные ящики типа I или II по ГОСТ 2991или другие ящики, обеспечивающие сохранность продукции, выстланные бумагой по ГОСТ 8828, ГОСТ 8273 или картоном по ГОСТ 9347. Габаритные размеры ящиков — по ГОСТ 21140.
Проволока диаметром более 1,00 мм должна быть обернута по длине окружности мотка или бухты нетканым материалом или другими видами упаковочных материалов, обеспечивающих сохранность продукции, за исключением льняных и хлопчатобумажных тканей по технической документации и перевязана синтетическим шпагатом по спирали или проволокой диаметром не менее 1.0 мм по ГОСТ 3282 в двух местах симметрично по окружности бухты. Наружный диаметр мотка или
7
бухты не должен превышать 1000 мм.
Масса грузового места не должна превышать 80 кг.
8.8 Укрупнение грузовых мест в транспортные пакеты проводят в соответствии с требованиями ГОСТ 24597 и ГОСТ 26663. на поддонах по ГОСТ 9078 и ГОСТ 9557. Формирование пакетов из ящиков допускается осуществлять без поддонов с применением деревянных брусков размером не менее 50 х 50 мм. Масса пакетов не должна превышать 1250 кг.
Транспортные пакеты должны быть схреплены поперечно и продольно с обвязываниом каждого ряда грузовых мест стальной проволокой диаметром не менее 3,0 мм по ГОСТ 3282 со скручиванием не менее пяти витков или стальной лентой размерами не менее 0.3 х 30 мм по ГОСТ 3560 со скреплением концов в замок.
Средства скрепления в транспортных пакетах — по ГОСТ 21650. Габаритные размеры пакетов -по ГОСТ 24597.
8.9 Бухты, мотки проволоки допускается транспортировать в универсальных контейнерах по ГОСТ 20435 или ГОСТ 22225 или ящичных поддонах.
При транспортировании в контейнерах каждая бухта или моток проволоки диаметром 0.5 мм и более должны быть обернуты по длине окружности бумагой по ГОСТ 8828 или ГОСТ 9569, затем нетканым материалом и перевязаны синтетическим шпагатом.
При транспортировании в контейнерах бухты или мотки проволоки должны быть уложены и укреплены таким образом, чтобы исключалась возможность их перемещения. Кроме того, бухты должны быть защищены от коррозии, загрязнений и механических повреждений.
При транспортировании в ящичных поддонах, выстланных внутри бумагой по ГОСТ 8828 или ГОСТ 8273 или картоном по ГОСТ 9347. проволоку диаметром менее 1 мм не упаковывают в ящики, а диаметром более 1 мм не обертывают упаковочными материалами.
Упаковка продукции, отправляемой в районы Крайнего Севера и приравненные к ним местности — по ГОСТ 15846, по группе «Металлы и металлические изделия».
8.10 Допускается применять другие виды упаковочных материалов. не уступающие по прочности перечисленным выше, а также другие виды и способы упаковки, обеспечивающие сохранность качества проволоки.
8.11 В каждый ящик или контейнер должен быть вложен упаковочный лист, содержащий:
• товарный знак или наименование и товарный знак предприятия-изготовителя:
— наименование страны-изготовителя;
— условное обозначение проволоки:
— номер партии:
— массу нетто:
— массу брутто:
— номер упаковщика.
8.12 Транспортная маркировка — по ГОСТ 14192 с нанесением манипуляционного знака «Беречь от влаги».
8.13 Проволоку транспортируют всеми видами транспорта в крытых транспортных средствах в соответствии с правилами перевозки грузов, действующими на транспорте данного вида.
8.14 Проволока должна храниться в крытых помещениях. При хранении и транспортировании проволока должна быть защищена от механических повреждений, воздействия влаги и активных химических веществ.
8.15 У потребителя проволока должна быть выдержана на складе в упаковке изготовителя не менее двух суток для выравнивания температуры проволоки с температурой помещения. По истечении указанного срока проволока должна быть распакована.
8.16 При соблюдении указанных условий транспортирования и хранения потребительские свойства проволоки не изменяются.
8
