ГОСТ 16536-90

Ящики деревянные для продукции автомобильной промышленности. Технические условия

Заменяет
Страница 1

Страница 1

Страница 2

Страница 2

Страница 3

Страница 3

Страница 4

Страница 4

Страница 5

Страница 5

Страница 6

Страница 6

Страница 7

Страница 7

Страница 8

Страница 8

Страница 9

Страница 9

Страница 10

Страница 10

Страница 11

Страница 11

Страница 12

Страница 12

ГОСТ 16536-90

МЕЖГОСУДАРСТВЕННЫЙ СТАНДАРТ

ЯЩИКИ ДЕРЕВЯННЫЕ ДЛЯ ПРОДУКЦИИ АВТОМОБИЛЬНОЙ ПРОМЫШЛЕННОСТИ

ТЕХНИЧЕСКИЕ УСЛОВИЯ

Издание официальное

бвш Спнмртвфор*

■B12J    2008

16-Ш

УДК 621.798.1:674.61:006.354    Группа    Д71

МЕЖГОСУДАРСТВЕННЫЙ    СТАНДАРТ

ЯЩИКИ ДЕРЕВЯННЫЕ ДЛЯ ПРОДУКЦИИ ЛВТОМОБИЛЬНОЙ 11 РОМЫШЛЕННОСТИ

Технические условия    ГОСТ

Wooden boxes for automotive industry products.    16536

Specifications

MKC 55.160 ОКП 537111.53 7114

Дача введения 01.01.92

Настоящий стандарт распространяется на дощатые неразборные ящики и ящики из листовых древесных материалов, предназначенные для упаковывания, транспортирования и хранения продукции автомобильной промышленности.

1. ТЕХНИЧЕСКИЕ ТРЕБОВАНИЯ

1.1.    Ящики и комплекты деталей яшиков должны удовлетворять всем требованиям ГОСТ 2991. ГОСТ 5959. ГОСТ 10198 и требованиям, изложенным в соответствующих разделах настоящего стандарта. и изготовляться по конструкторской документации, утвержденной в установленном порядке.

1.2.    Основные параметры и размеры

1.2.1.    Ящики должны изготовляться типов 1,11—1, Ш-1, 111-2, V—I, VI- 1, VI—2 по ГОСТ 2991, типов IV и VI — по ГОСТ 5959, типа III- I — по ГОСТ 10198 и чертежу настоящего стандарта.

1.2.2.    Внутренние размеры яшиков и их основные параметры должны соответствовать указанным в таблице.

Издание официальное    Перепечатка воспрещена

© Издательство стандартов, 1990 & Стандартинформ, 2008

ГОСТ 16536-90 С. 2

Предель

Внутренние размеры, мм

Вмести

Толшини ласок или древес-

НО-ВОЮКНИСЮЙ ПЛИТЫ. мм

Толщина и ширина планок

КоЛИЧС’ ство пла

Номер

ящика

Тии я шика

ная масса груза в

ЯШИ КС. кг

ллина

ширина

высота

часть,

дм’

юрио-

SblK

стенок

боковых

стенок

дна и крыш

KII

гориовык стопок ИЛИ брусков. мм

нок на дне и крышке,

шт.

1

11-1

45

210

210

340

15.0

16

13

13

16×40

2

2

111-1

65

315

315

350

34,7

16

9

9

16×40

2

3

111—1

65

315

315

445

44.2

16

9

9

16×40

2

4

11-1

75

330

280

200

18.5

19

16

16

19×50

5

111—1

55

330

315

245

25.5

16

9

9

16×40

6

11-1

55

350

200

140

9.8

19

16

16

19×50

7

11-1

55

350

320

240

26.9

16

9

9

16×40

8

11-1

125

360

330

220

26.1

19

19

19

19×50

2

9

VI по ГОСТ 5959

55

360

360

135

17.5

3.2

3.2

3.2

19×32

10

III—1

55

370

370

210

28.7

16

13

13

16×40

2

II

III—1

55

380

230

180

15,7

16

16

16

16×40

12

II—I

55

380

380

3S0

54.9

16

9

9

16×40

13

111—1

55

400

340

160

21.8

16

13

13

16×40

2

14

V-l

45

410

210

285

24,5

16

13

13

16×40

15

II—I

55

420

260

130

14.2

16

16

16

16×40

16

II—1

65

420

280

160

18.8

19

16

16

19×50

17

II—1

65

420

290

260

31,7

16

13

13

16×40

18

V-l

45

420

340

340

48.6

16

13

13

16×40

2

19-1

II—1

45

430

300

180

23.2

16

13

13

16×40

19-2

V-l

45

430

300

180

23,2

19

16

16

19×50

20

II—1

75

430

380

360

58.8

16

13

13

16×40

21

V-l

45

450

450

193

39,1

16

13

13

16×40

22

111—1

75

460

300

160

22.1

19

19

19

19×50

2

23

II—1

55

460

340

260

40,7

16

13

13

16×40

24

V-l

35

460

360

300

49.7

16

9

9

16×40

15

III—1

55

460

390

260

46.6

16

13

13

16×40

26

II—1

75

470

225

150

15.9

19

19

19

19×50

27

II—I

35

470

410

224

43.2

16

9

9

16×40

2

28

111—1

45

475

315

175

26,2

13

13

13

19×35

29

Vl-I

75

480

340

340

55,5

16

13

13

16×40

30

V-l

75

485

325

290

45.7

16

16

16

16×40

2

31-1

II—1

45

490

220

200

21.6

16

13

13

16×40

31-2

V-l

45

490

220

200

21,6

19

16

16

19×50

2

32

II—I

35

500

350

170

29,8

16

13

13

16×40

33

111—I

65

500

375

245

45.9

13

13

13

19×35

34

II—1

65

510

280

185

26.4

16

13

13

16×40

2

35

IV no ГОСТ 5959

35

510

400

240

49,0

3,2

3.2

3,2

16×32

36

II—1

35

510

410

165

34.5

16

13

13

16×40

37

II—I

85

510

410

230

48,1

16

13

13

16×40

2

38

V-l

35

520

250

200

26.0

16

13

13

16×40

39

II—I

65

530

315

220

36,7

16

13

13

16×40

40

II—1

65

530

450

210

50,1

16

13

13

16×40

41

V’l no ГОСТ 5959

55

45

45

540

340

300

55.1

3.2

3.2

3.2

19×32

42

V-l

200

540

370

525

104,9

16

13

13

16×40

43

V-l

55

540

410

110

24.4

16

13

13

16×40

44

111-2

75

544

362

300

59.1

19

19

19

19×50

45

II—I

75

550

280

185

28.5

16

13

13

16×40

2

46-1

11-1

35

560

330

210

38.8

19

16

16

19×50

4

16*

С. 3 ГОСТ 16536-90

Продолжение

П редел tb-

UiivipctuiHt.’ размеры, мм

Н Vi сс 1 и •

Tat шин а досок или дрепес-нонолокиисшй плиты, мм

Толщина и ширина

Коаиче* сто пла

Номер

ящика

Тин

ящика

ная масса груза n мшике. кг

л л их a

111 При till

ныеша

мость.

ли’

юрцо-

пых

стенок

бокопых

стенок

дна и крыш ки

пд а но к гормоных стенок или брус* ков. мм

нок на дне и крышке,

ШТ.

46-2

V-1

75

560

330

210

38.8

19

16

16

19×50

4

47

11-1

35

560

340

210

40.0

16

9

9

16×40

4S

II—I

25

560

560

122

38.3

13

13

13

19×35

49

11-1

100

560

640

760

272.4

16

9

9

16×40

50

II—I

45

570

210

253

30.3

16

13

13

16×40

2

51

III—1

200

570

560

520

166.0

19

16

16

19×50

2

52

V-I

65

580

580

235

79.1

16

13

13

16×40

2

53

I

25

590

240

65

9.2

13

13

22

54

11-1

65

600

350

130

27,3

19

16

16

19×50

4

55

VI по ГОСТ 5959

55

600

480

460

132.5

3.2

3.2

3.2

19×32

56-1

II—1

45

610

310

145

27.4

16

13

13

16×40

56-2

V-I

45

610

310

145

27,4

19

16

16

19×50

57

11-1

35

620

480

275

81,8

16

9

9

16×40

2

58

11-1

65

630

240

220

33,3

19

16

16

19×50

2

59

V-I

35

630

290

80

14.6

16

13

13

16×40

60

V-1

45

630

360

200

45,4

16

13

13

16×40

61

II—1

55

645

3S0

145

35,5

16

13

13

16×40

2

62

III—1

65

650

390

260

65,9

13

13

13

19×35

63-1

111-1

ИЮ

650

560

685

249,3

13

13

13

19×35

63-2

III—1

125

650

560

685

249.3

16

16

16

16×40

2

64

II—1

65

670

315

160

33,8

19

16

16

19×50

65

11-1

35

680

330

180

40.4

16

13

13

16×40

66

v-1

35

680

365

230

57.1

16

13

13

16×40

2

67

ll-l

75

700

300

175

36,8

16

16

16

16×40

2

68

lll-l

200

700

370

540

139.9

19

16

16

19×50

2

69

111-2

350

700

600

350

147.0

19

19

19

19×50

70

III—2

350

700

750

540

283.5

19

16

16

19×50

71

lll-l

65

710

310

310

68.2

13

13

13

19×35

72

V-|

65

720

360

360

93,3

16

16

16

16×40

73

III—2

200

736

336

377

93,2

19

19

19

19×50

74

II—1

75

740

370

180

49,3

19

16

16

19×50

2

75

II—1

55

750

370

125

34.7

16

16

13

16×40

2

76

lll-l

65

750

450

380

128.3

16

13

13

16×40

2

77

ll-l

100

760

300

200

45,6

19

19

19

19×50

78

11-1

35

760

520

175

69,2

16

13

13

16×40

79

VI no ГОСТ 5959

65

800

355

190

54.0

3.2

3.2

16; 3.2

19×32

80

lll-l

65

800

355

200

56.8

19

16

16

19×50

2

81

VI no ГОСТ 5959

55

800

470

240

90.2

3.2

3.2

3,2

19×32

82

lll-l

65

800

475

340

129.2

13

13

13

19×35

83

VI no ГОСТ 5959

65

830

520

330

142.4

3.2

3.2

3.2

19×32

84

11—1

45

830

830

380

261.8

16

13

13

16×40

_

85

II—1

25

870

750

230

150.1

16

9

9

16×40

86-1

III—2

500

900

750

540

364.5

25

25

25

25×75

86-2

VI-2

350

900

750

540

364.5

22

22

22

22×75

87

VI-2

350

950

820

700

545.3

22

22

22

22×75

ГОСТ 16536-90 С. 4

Продолжение

Предель

Внутренние размеры, мм

Вмести

Тол шина ласок ИЛИ древес* но иалокиисюй tuuttu, мм

Толшмна и ширина планок

Коли че сто пла

Номер

ящика

Тии

яшика

мая масса груза п я шике,

К!

длина

ширина

высота

мость.

дм’

ЮриО-

ПЫЧ

стенок

боковых

стенок

ana и крыш к и

юрионич стенок или брус коп. мм

нок на лис и крышке.

U1I

88

VI по ГОСТ 5959

65

1000

400

260

104,0

3.2

3.2

3,2

19×32

89

111-2

500

1000

650

600

390.0

22

22

22

22×75

90

V-I

65

1010

460

240

111,5

22

22

22

22×60

91

111—2

500

1020

650

330

218.8

22

22

22

22×75

92

111-1 по

ГОСТ

10198

200

1050

650

860

587,0

16

16

16

25×100

93

111—1 по

ГОСТ

10198

350

1075

890

930

889.8

16

16

16

25×100

94

V-1

35

1080

370

600

239.8

16

13

13

16×40

2

95-1

111—2

200

1080

650

330

231,7

19

19

19

19×50

95-2

VI по ГОСТ 5959

200

1080

650

330

231,7

3.2

3.2

22; 3.2

22×60

%

VI -1

125

1100

260

260

74.4

22

22

22

22×60

97

111-2

350

1124

762

520

445,4

19

19

19

19×50

98

VI—2

350

1125

SI0

630

574,1

22

22

22

22×75

99

111—1 по

ГОСТ

10198

350

1130

950

990

1062.8

16

16

16

25×100

100

VI по ГОСТ

5959

200

1140

760

800

693.1

4

4

16; 4

22×60

101

111—2

350

1160

730

645

546.2

19

19

19

19×50

102

111—2

500

1160

1000

560

649.6

22

22

22

22×75

103

111-1 но ГОСТ

10198

350

1180

750

990

876.2

16

16

16

25×100

104

VI-1

100

1200

230

230

63.5

22

22

22

22×60

105-1

111—2

500

1200

750

650

585.0

22

22

22

22×75

105-2

VI—2

500

1200

750

650

585.0

22

22

22

22×75

106

VI—2

200

1350

230

275

85.4

22

22

22

22×60

107

Чертеж

350

1484

924

640

877.6

19

19

19

108

Чертеж

350

1484

924

1020

1398,6

19

19

19

109

Чертеж

350

1640

924

6*0

969,8

19

19

19

ПО

111-2

500

2500

800

700

1400.0

22

22

22

22×75

При м с ч а н и я:

1.    Ящики № 44, 73,95—2,97 изготовляют с двумя поперечными полозьями: ящики № 100 и 110 — с тремя поперечными полозьями.

2.    Ящики N? 15 и 17 изготовляют с ручками; ящик №42 — с раскосами на торцовых стенках: ящики № 87, 101, 105—I, 106 — с раскосами на торцовых и боковых стенках.

3.    Яшик Nj МО изготовляют с тремя поясами.

С. 5 ГОСТ 16536-90

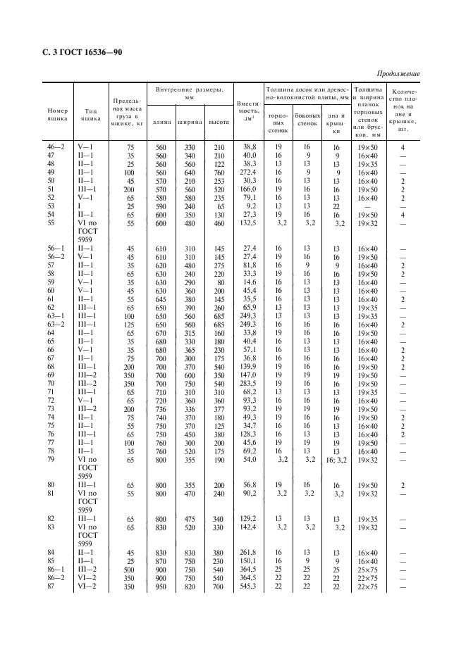
1.3. Характеристики

1.3.1.    Ящик № 46—2 должен изготовляться с суммой просветов 20 % ширины стенки ящика; ящик № 21-22 %: ящики № 14. 18, 24, 29. 31-2. 60, 87, 105-2, 107 (дно, крышка), 109 (дно. крышка) — 30 %\ ящики № 30, 52, 86-2, 94-35 %: ящики № 19-2, 38. 43, 56-2. 66. 72, 90. 96, 104. 106—40 %; яшики № 42, 98, 108 (дно. крышка) — 50 %; ящики Ко 53, 59 — с суммой просветов дна и крышки 40%. с плотными торцовыми и боковыми стенками.

1.3.2.    Яшики с предельной массой груза 80 кг и более, отправляемые отдельными грузовыми местами, должны изготовляться с полозьями толщиной не менее 50 мм. шириной, равной ширине планок, устанавливаемых на ящике, но не менее 50 мм.

1.3.3.    Толщина досок боковых стенок, дна и крышки ящиков № 18. 19-2, 23. 25, 31 —2, 53, 54, 56-2, 63-2, 77. 86— 1, 87, 90, 95—2 принята с учетом сосредоточенной нагрузки, а ящиков №1,4, 6, 8, II, 15, 16, 22. 26. 44 — с учетом упаковочной плотности изделий 3 кг/дм* и более.

1.3.4.    Яшики, предназначенные для грузов массой от 20 до 80 кг, допускается изготовлять с ручками по ГОСТ 16561 или ГОСТ 2991. Толщина и ширина ручек из древесины должны быть равны толщине и ширине планок торцовых стенок.

1.3.5.    Влажность древесины ящиков должна быть не более 22 %. Допускается по согласованию с потребителем при условии обеспечения сохранности и качества продукции изготовлять яшики из древесины с штжностью более 22 %. При этом яшики должны быть обтянуты или обиты стальной упаковочной лентой или проволокой.

1.3.6.    Яшики должны быть обтянуты или обиты двумя поясами из стальной упаковочной ленты по ГОСТ 3560 или ГОСТ 503. Допускается обтягивать яшики проволокой по ГОСТ 3282.

Пояса из деревянных планок должны быть скреплены металлическими угольниками длиной 150-250 мм из стальной ленты по ГОСТ 3560.

1.3.7.    Ящики, предназначенные для продукции, отправляемой в районы Крайнего Севера и приравненные к ним местности, должны соответствовать требованиям ГОСТ 15846 и должны быть обтянуты двумя поясами из стальной упаковочной ленты.

1.3.8.    Нормы механической прочности яшиков, изготовленных по ГОСТ 2991. ГОСТ 5959 и чертежу настоящего стандарта, при испытании на сжатие при штабелировании, вибропрочность, горизонтальный удар — по ГОСТ 26838.

Нормы механической прочности яшиков № 92. 93. 99 и 103 должны соответствовать ГОСТ 10198.

Показатели механической прочности проверяют при разногласиях в оценке качества.

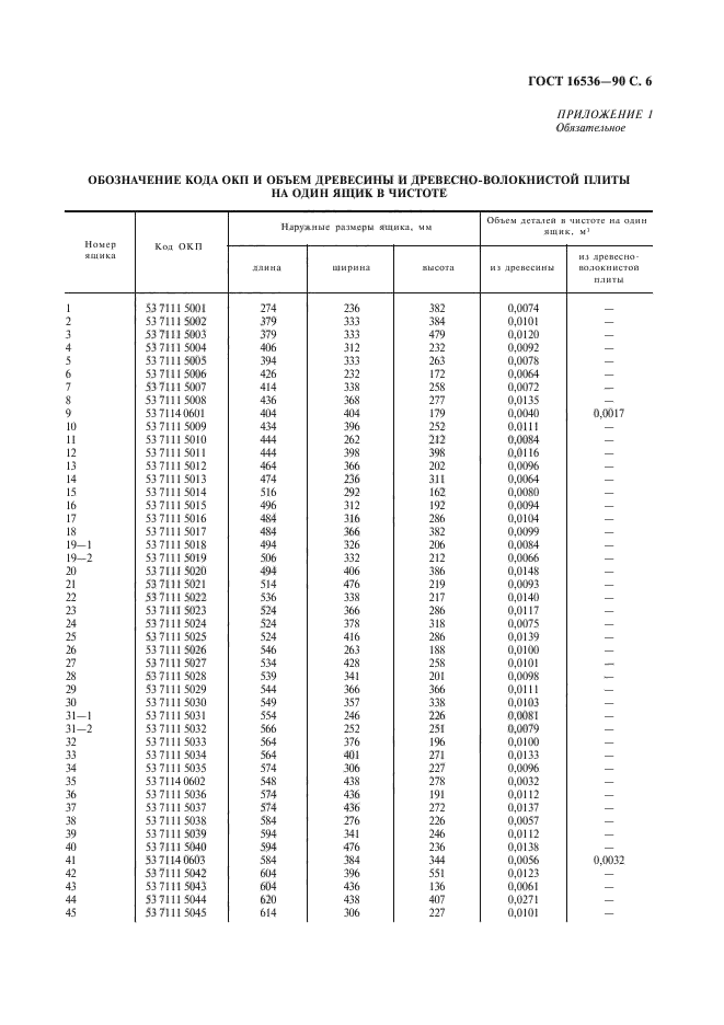
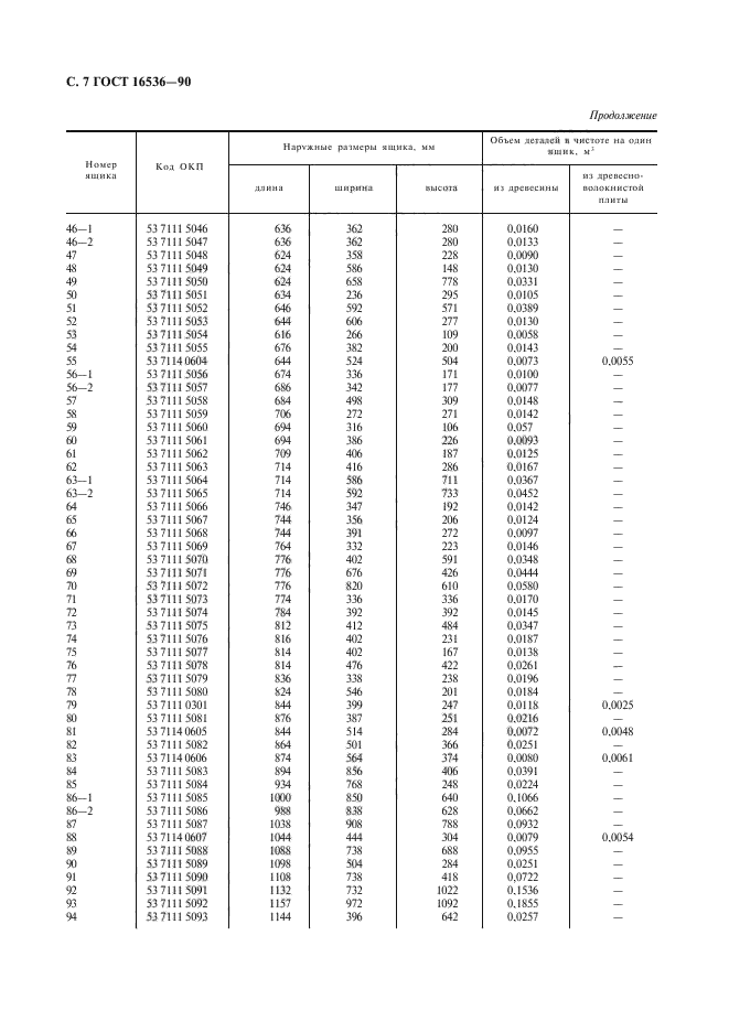
1.3.9.    Обозначение кода ОКП, наружные размеры яшиков и объем древесины в чистоте приведены в приложении I.

Перечень продукции, рекомендуемой для у паковывания в ящики, приведен в приложении 2.

1.4.    Упаковка

1.4.1.    Упаковка комплектов деталей яшиков — по ГОСТ 2991, ГОСТ 5959. ГОСТ 10198.

1.5.    Маркировка

1.5.1.    На каждый ящик в соответствии с требованиями ГОСТ 14192 должна быть нанесена маркировка, характеризующая тару и содержащая:

товарный знак предприятия-изготовителя;

обозначение стандарта.

1.5.2.    Маркировка комплектов деталей яшиков — по ГОСТ 2991, ГОСТ 5959. ГОСТ 10198.

2. ПРИЕМКА И МЕТОДЫ КОНТРОЛЯ

Приемка и методы контроля ящиков или комплектов ящиков — по ГОСТ 2991, ГОСТ 5959, ГОСТ 10198.

3. ТРАНСПОРТИРОВАНИЕ И ХРАНЕНИЕ

Транспортирование и хранение яшиков и комплектов деталей — по ГОСТ 2991, ГОСТ 5959, ГОСТ 10198.

II    ГГ

К> —    |N> —

» ■»

Е о

О

и

с

w

25

я

VI—l—l’l’l-J’l—l—l-J’l-.l—I—I—I—I—lviMvi^ivi4-g-44|^i-g—i-g—i-g—i-g—i-g—i-g^i-jvivi-g^vlvi-j

гг

т.

S

>

О

g£tSm*£SSm»sfi

U/ NJ

аз*

1Л Ul LA yi «-Л >? -Jj -U -wj J. 4* 4* X

2Si:

у. LA LA

U> Ul tft w> u> к> IV K>

-t- 4- 4-

—    о

r er. ► 8“ О t*5 §2 S Ja

—    x x p5

E 5 c S s о * = si

eWWrwUUW4*lw4iW vj и» i. 1Л O’ i IJ a — —J -awa’vi^-xua’&s

L> W w    Ui    U>    M    К/ u»    U    M    W

ю ^    O’    S&    O’    О

w a    ^    W    W    O’ ^    X    U    ^

НЙ

gs

о

x

0

1

CC

с

л

о

РЧ

IJ W — K> K> W W W W W U IJ — — U fJ W ls> Ю — W KJ — Ю к» 4ь u u

OOOOOOOOOOOOOOOOOOOOOOOOOOOOOOOOOOOOOOOOOOOOOOO

S S S 2 8 2 2 § S 2 8 8 2 288 2 2 8 2 2 2 82282Й882888 8 2 8 *2 828888 2 2 8

—W^jcig-gNjwiv^wO^-W-X-O^’y»4wW0C^*-^^.tCl-^^4i-wV»l

С

0 н

!У1

£

1

S

Г5

= =

о

St

‘S

н

Е

О    ©

I I II S I I I I I I I I I I I I I I I I I I I I I I I I I I I I I I I II S I I I I I I I I

s 5

п


С. 7 ГОСТ 16536-90

ГОСТ 16536-90 С. 8

Продолжение

Номер яш и ка

Коа ОКП

Наружные рашеры яшика. мм

Объем деталей в чистоте на один пшик. м’

длина

ширима

высота

■и дрспесииы

ti:i дреиесмо

ВОЛОКНИСТО!)

Плиты

95-1

53 7111 5094

1156

726

406

0,0604

95-2

53 71130302

ИЗО

700

427

0,0383

0.0063

%

53 7111 5095

1188

304

304

0,0216

97

537111 5096

1200

838

627

0,0877

9S

53 7111 5097

1213

898

718

0.0697

9i)

53 7111 509S

1212

1032

1152

0.2056

100

5371130303

1192

812

892

0,0471

0.0164

101

53 7111 5099

1236

806

721

0,0983

102

53 7111 5100

1248

1088

648

0,1332

103

53 7111 5101

1262

832

1152

0,1907

104

53 71115102

1288

274

274

0,0203

105-1

53 71115103

1288

838

738

0,1268

105-2

5371115104

1288

838

738

0,0958

106

53 7111 5105

1438

318

363

0,0297

107

53 71115106

1560

1000

747

0,0887

108

53 7111 5107

1560

1000

1127

0.0829

109

53 71115108

1716

1000

747

0.0944

110

53 7111 5109

2588

888

788

0.2255

ПРИЛОЖЕНИЕ 2 Рекомендуемое

ПЕРЕЧЕНЬ ПРОДУКЦИИ, РЕКОМЕНДУЕМОЙ ДЛЯ УПАКОВЫВАНИЯ, И НАРУЖНЫЕ РАЗМЕРЫ ЯЩИКОВ

Номер мишка

Нанмспоиамие продукции

1

Домкрат

2

Телескопический амортизатор, автозапчасти

3

То же

4

Рулевой червяк, муфта, комплект поршней, автозапчасти

5

Тормоз, вкладыш, коленчатый ват

6

Комплект поршней, автозапчасти, автонормали

7

Реактивный рычаг, фланец вала привода

8

Нажимной диск сцепления, шатунная втулка, шаровая опора

9

Автозапчасти

10

Клапан автодвигателя, толкатель

II

Вторичный вал, автотракторное электрооборудование

12

Поршневое кольцо

13

Первичный вал, насос, автозапчасти

14

Домкрат

15

Батт, пружина

16

Фильтр, цилиндр, коленчатый вал

17

Крепежные изделия

18

Рулевой механизм

19-1

Генератор, кольцо, наконечник, стартер

19-2

Стартер, генератор, запчасти автотракторного электрооборудования

20

Автотракторная осветительная арматура, мотодвигатель

17-803

Продолжение

Наименование продукции

Гильза блока цилиндра Шатун, масляный насос

Реле-регулятор, магнето, амортизатор. свеча, запчасти автотракторного

электрооборудования

Распределитель зажигания

Электродвигатель, автотракторное электрооборудование

Автозапчасти, вторичный вал

Поршень с поршневым пальнем

Стеклоочиститель

Гильза, кольцо, поршень

Комплект автозапчастей

Крестовина

Главный иилиндр тормоза

Тормозной цилиндр, аморгизатор

Стеклоочиститель, автозапчасти

Т елес кои ичес к и й амортн затор

Защитная дуга к мотоциклу, тренажер-приставка

Водяной насос

Поршень с поршневым кольцом, пружина

Генеразх>р. запчасти автогракторного электрооборудования

Стартер, фара

Автозапчасти, крышка

Диск сцепления двигателя

Насосный агрегат

Дроссель гашения избыточного напряжения

Шаровая опора, штанга, электродвигатель, тормозная колодка

Телескопический амортизатор

Поршневое кольцо, клапан

Бензиновый отстойник, втулка

Гильза автодвигателя в комплекте

Г ибкийвал

Двигатель УД-2

Крышка привода, якорь, стартер

Задний, передний редукторы, мотозапчасти

Фильтр, комплект коробки передач, картер сцепления

Магнето

Коленчатый вал

Осветительная светосигнальная аппаратура

Генератор, магнето, свеча, стартер, запчасти автотракторного электрооборудования

Стартер, запчасти автотракторного электрооборудования Термостат, поршень Крышка картера, муфта Магнето

Коленчатый вал автодвигателя

Запчасти и кузовная арматура к автобусу ПАЗ

Щиток приборов, шприц, микрофильтр, термостат

Тяга, двигатель

Двигатель Me М3-245

Генератор, стартер, коленчатый вал

Блок предохранителей, сигнал, выключатель

Термостат, шприц L11-I02

Тяга, шаровая опора, нажимной диск

Автозапчасти Урал-375

Корпус масляного насоса. ЗИП

Раздаточная коробка, моюзанчасти

Фильтр, радиатор

ГОСТ 16536-90 С. 10

Продолжение

Номер мшика

Ниимемоиамие продукции

72

Коробка передач, нормали

73

Запчасти

74

Коленчатый вал, детали коробки скоростей

75

Цилиндр, фильтр

76

Блок, поршень, коленчатый вал

Понравилась статья? Поделиться с друзьями:
Стройсоветы
Добавить комментарий