Масла, смазки и специальные жидкости, применяемые в технических изделиях для районов с тропическим климатом
Заменяет

Страница 1

Страница 2

Страница 3

Страница 4

Страница 5

Страница 6

Страница 7

Страница 8
ГОСТ 15156-84
МЕЖГОСУДАРСТВЕННЫЙ СТАНДАРТ
МАСЛА, СМАЗКИ
И СПЕЦИАЛЬНЫЕ ЖИДКОСТИ,
ПРИМЕНЯЕМЫЕ В ТЕХНИЧЕСКИХ
ИЗДЕЛИЯХ ДЛЯ РАЙОНОВ
С ТРОПИЧЕСКИМ КЛИМАТОМ
|
|
Москва |
МЕЖГОСУДАРСТВЕННЫЙ СТАНДАРТ
|
МАСЛА, СМАЗКИ И СПЕЦИАЛЬНЫЕ ЖИДКОСТИ, Lubricating oils, lubricants and special liquids for industrial use |
ГОСТ Взамен |
Переиздание. Июнь 2011 г.
Постановлением Государственного комитета СССР по стандартам от 23 мая 1984 г. № 1715 дата введения установлена
01.07.85
1. Настоящий стандарт распространяется на масла, смазки и специальные жидкости, применяемые в технических изделиях, поставляемых в районы с тропическим климатом по ГОСТ 15151-69, и определяет их перечень.
Стандарт не распространяется на консервационные масла и смазки; на смазочные материалы, применяемые в оптических приборах, авиационной и военной технике; на смазочные материалы, не сменяемые и не пополняемые в процессе хранения, транспортирования и эксплуатации.
Основная область применения масел, смазок и специальных жидкостей приведена в рекомендуемом приложении 1.
Перечень марок масел, смазок и специальных жидкостей, не допускаемых к применению во вновь разрабатываемой или модернизируемой технике, приведен в приложении 2.
2. Перечень масел, смазок и специальных жидкостей приведен в таблице.
|
Наименование масла, смазки и специальной жидкости |
Нормативно-техническая документация, по которой изготовляют масла, смазки и специальные жидкости |
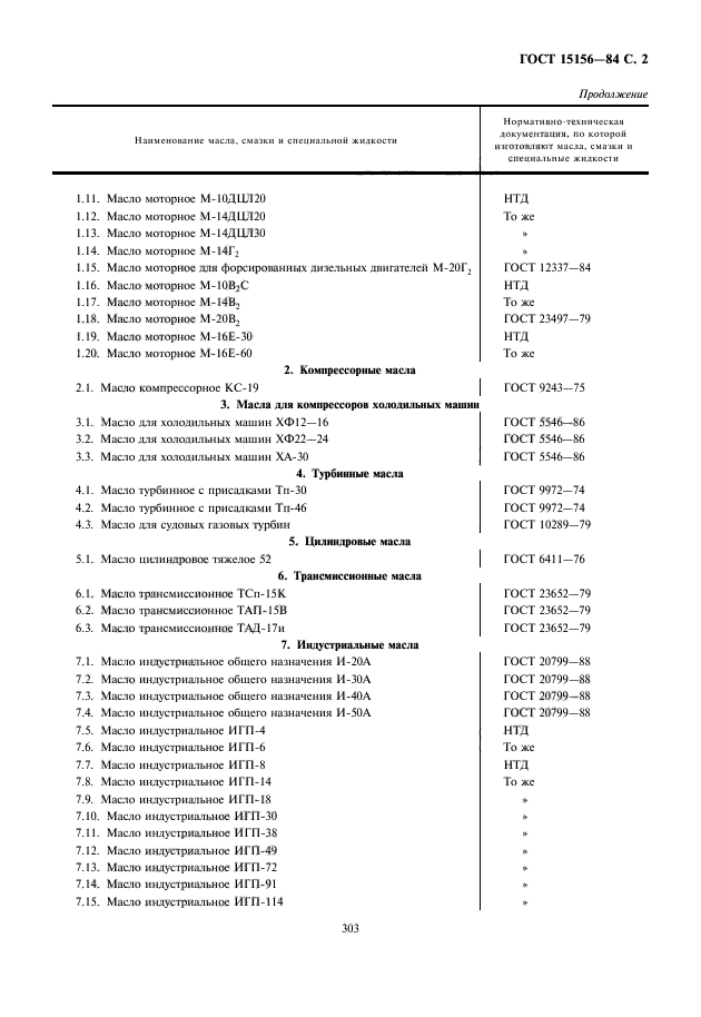
1. Моторные масла
|
1.1. Масло моторное для автотракторных дизелей М-10В2 |
ГОСТ 8581-78 |
|
1.2. Масло моторное для автотракторных дизелей М-10Г2 |
ГОСТ 8581-78 |
|
1.3. Масло моторное для автотракторных дизелей М-10Г2к |
ГОСТ 8581-78 |
|
1.4. Масло моторное автомобильное для карбюраторных двигателей M-8B1 |
ГОСТ 10541-78 |
|
1.5. Масло моторное автомобильное для карбюраторных двигателей М-8Г1 |
ГОСТ 10541-78 |
|
1.6. Масло моторное автомобильное для карбюраторных двигателей М-6з/10Г1 |
ГОСТ 10541-78 |
|
1.7. Масло моторное автомобильное для карбюраторных двигателей М-12Г1 |
ГОСТ 10541-78 |
|
1.8. Масло долгоработающее всесезонное М-6з/10В (ДВ-АСЗп-10В) |
нтд |
|
1.9. Масло моторное для циркуляционных систем судовых дизелей М-10Г2ЦС |
То же |
|
1.10. Масло моторное для циркуляционных систем судовых дизелей М-14Г2ЦС |
» |
|
1.11. Масло моторное М-10ДЦЛ20 |
НТД |
|
1.12. Масло моторное М-14ДЦЛ20 |
То же |
|
1.13. Масло моторное М-14ДЦЛ30 |
» |
|
1.14. Масло моторное М-14Г2 |
» |
|
1.15. Масло моторное для форсированных дизельных двигателей М-20Г2 |
ГОСТ 12337-84 |
|
1.16. Масло моторное М-10В2С |
нтд |
|
1.17. Масло моторное М-14В2 |
То же |
|
1.18. Масло моторное М-20В2 |
ГОСТ 23497-79 |
|
1.19. Масло моторное М-16Е-30 |
НТД |
|
1.20. Масло моторное М-16Е-60 |
То же |
2. Компрессорные масла
|
2.1. Масло компрессорное КС-19 |
ГОСТ 9243-75 |
3. Масла для компрессоров холодильных маши»
|
3.1. Масло для холодильных машин ХФ12-16 |
ГОСТ 5546-86 |
|
3.2. Масло для холодильных машин ХФ22-24 |
ГОСТ 5546-86 |
|
3.3. Масло для холодильных машин ХА-30 |
ГОСТ 5546-86 |
4. Турбинные масла
|
4.1. Масло турбинное с присадками Тп-30 |
ГОСТ 9972-74 |
|
4.2. Масло турбинное с присадками Тп-46 |
ГОСТ 9972-74 |
|
4.3. Масло для судовых газовых турбин |
ГОСТ 10289-79 |
5. Цилиндровые масла
|
5.1. Масло цилиндровое тяжелое 52 |
ГОСТ 6411-76 |
6. Трансмиссионные масла
|
6.1. Масло трансмиссионное ТСп-15К |
ГОСТ 23652-79 |
|
6.2. Масло трансмиссионное ТАП-15В |
ГОСТ 23652-79 |
|
6.3. Масло трансмиссионное ТАД-17и |
ГОСТ 23652-79 |
7. Индустриальные масла
|
7.1. Масло индустриальное общего назначения И-20А |
ГОСТ 20799-88 |
|
7.2. Масло индустриальное общего назначения И-30А |
ГОСТ 20799-88 |
|
7.3. Масло индустриальное общего назначения И-40А |
ГОСТ 20799-88 |
|
7.4. Масло индустриальное общего назначения И-50А |
ГОСТ 20799-88 |
|
7.5. Масло индустриальное ИГП-4 |
нтд |
|
7.6. Масло индустриальное ИГП-6 |
То же |
|
7.7. Масло индустриальное ИГП-8 |
НТД |
|
7.8. Масло индустриальное ИГП-14 |
То же |
|
7.9. Масло индустриальное ИГП-18 |
» |
|
7.10. Масло индустриальное ИГП-30 |
» |
|
7.11. Масло индустриальное ИГП-38 |
» |
|
7.12. Масло индустриальное ИГП-49 |
» |
|
7.13. Масло индустриальное ИГП-72 |
» |
|
7.14. Масло индустриальное ИГП-91 |
» |
|
7.15. Масло индустриальное ИГП-114 |
» |
|
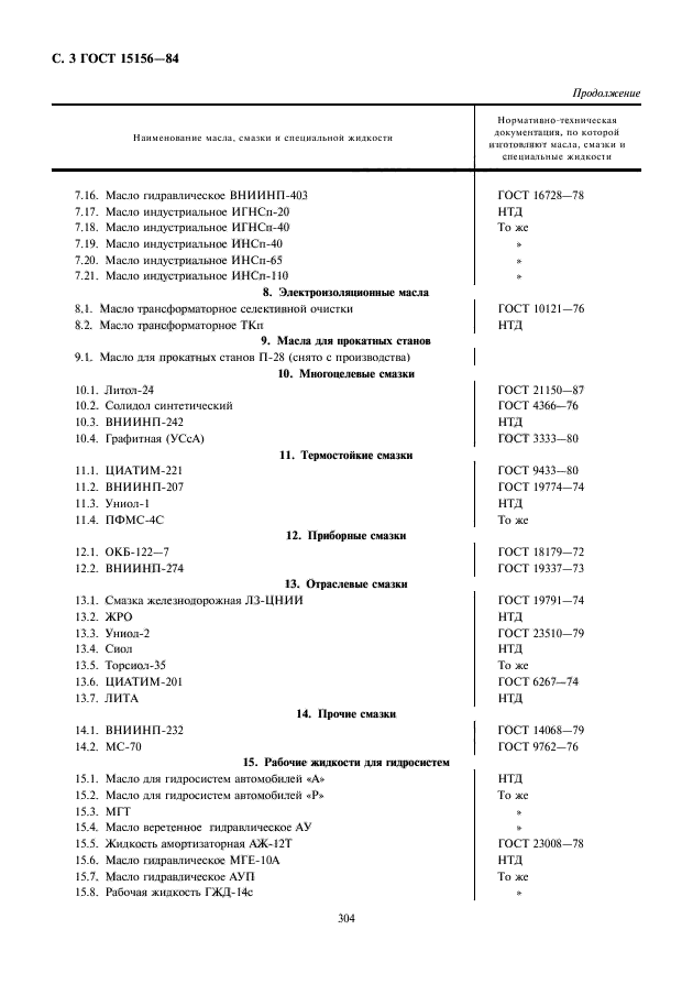
7.16. Масло гидравлическое ВНИИНП-403 |
ГОСТ 16728-78 |
|
7.17. Масло индустриальное ИГНСп-20 |
НТД |
|
7.18. Масло индустриальное ИГНСп-40 |
То же |
|
7.19. Масло индустриальное ИНСп-40 |
» |
|
7.20. Масло индустриальное ИНСп-65 |
» |
|
7.21. Масло индустриальное ИНСп-110 |
» |
8. Электроизоляционные масла
|
8.1. Масло трансформаторное селективной очистки |
ГОСТ 10121-76 |
|
8.2. Масло трансформаторное ТКп |
НТД |
9. Масла для прокатных станов
|
9.1. Масло для прокатных станов П-28 (снято с производства) |
10. Многоцелевые смазки
|
10.1. Литол-24 |
ГОСТ 21150-87 |
|
10.2. Солидол синтетический |
ГОСТ 4366-76 |
|
10.3. ВНИИНП-242 |
НТД |
|
10.4. Графитная (УСсА) |
ГОСТ 3333-80 |
11. Термостойкие смазки
|
11.1. ЦИАТИМ-221 |
ГОСТ 9433-80 |
|
11.2. ВНИИНП-207 |
ГОСТ 19774-74 |
|
11.3. Униол-1 |
НТД |
|
11.4. ПФМС-4С |
То же |
12. Приборные смазки
|
12.1. ОКБ-122-7 |
ГОСТ 18179-72 |
|
12.2. ВНИИНП-274 |
ГОСТ 19337-73 |
13. Отраслевые смазки
|
13.1. Смазка железнодорожная ЛЗ-ЦНИИ |
ГОСТ 19791-74 |
|
13.2. ЖРО |
НТД |
|
13.3. Униол-2 |
ГОСТ 23510-79 |
|
13.4. Сиол |
НТД |
|
13.5. Торсиол-35 |
То же |
|
13.6. ЦИАТИМ-201 |
ГОСТ 6267-74 |
|
13.7. ЛИТА |
НТД |
14. Прочие смазки
|
14.1. ВНИИНП-232 |
ГОСТ 14068-79 |
|
14.2. МС-70 |
ГОСТ 9762-76 |
15. Рабочие жидкости для гидросистем
|
15.1. Масло для гидросистем автомобилей «А» |
НТД |
|
15.2. Масло для гидросистем автомобилей «Р» |
То же |
|
15.3. МГТ |
» |
|
15.4. Масло веретенное гидравлическое АУ |
» |
|
15.5. Жидкость амортизаторная АЖ-12Т |
ГОСТ 23008-78 |
|
15.6. Масло гидравлическое МГЕ-10А |
НТД |
|
15.7. Масло гидравлическое АУП |
То же |
|
15.8. Рабочая жидкость ГЖД-14с |
» |
ПРИЛОЖЕНИЕ 1
Рекомендуемое
ОСНОВНАЯ ОБЛАСТЬ ПРИМЕНЕНИЯ МАСЕЛ, СМАЗОК И
СПЕЦИАЛИЗИРОВАННЫХ ЖИДКОСТЕЙ В ТЕХНИЧЕСКИХ ИЗДЕЛИЯХ
|
Марка масла и специальной жидкости и наименование смазки |
Основная область применения |
|
1.1. М-10В2 |
Автотракторные дизельные двигатели |
|
1.2. М-10Г2 |
|
|
1.3. М-10Г2к |
|
|
1.4. М-8В1 |
Карбюраторные двигатели автомобилей |
|
1.5. М-8Г1 |
|
|
1.6. М-6з/10Г1 |
|
|
1.7. М-12Г1 |
|
|
1.8. М-6з/10В (ДВ-АСЗп-10В) |
Все типы карбюраторных двигателей (кроме высокооборотных), мало- и среднефорсированные двигатели |
|
1.9. М-10Г2ЦС |
Циркуляционные системы высокофорсированных тронковых и крейцкопферных судовых дизелей, работающих на топливе с массовой долей серы менее 2 %; редукторы и другие механизмы машинных отделений судов, требующие применения масел с повышенной влагостойкостью |
|
1.10. М-14Г2ЦС |
|
|
1.11. М-10ДЦЛ20 |
Современные судовые среднеоборотные тронковые дизели (с наддувом) с циркуляционной и лубрикаторной системами смазки отечественного и зарубежного производства при работе на топливе с массовой долей серы до 3 % |
|
1.12. М-14ДЦЛ20 |
|
|
1.13. М-14ДЦЛ30 |
Современные судовые среднеоборотные тронковые дизели (с наддувом) с циркуляционной и лубрикаторной системами смазки отечественного и зарубежного производства при работе на топливе с массовой долей серы свыше 3 % |
|
1.14. М-14Г2 |
Современные высокофорсированные дизели тепловозов |
|
1.15. М-20Г2 |
Двухтактные высокофорсированные судовые дизели большой мощности типов 58, 61, 16ДРПН и подобные им |
|
1.16. М-10В2С |
Форсированные мало- и средненагруженные быстроходные дизели |
|
1.17. М-14В2 |
Форсированные судовые и тепловозные дизели типов 20Д, 40Д, Д-50, Д-100, Д-49 и подобные им при работе на малосернистом топливе |
|
1.18. М-20В2 |
Высокооборотные форсированные дизели средней мощности типа Д-6 и подобные им |
|
1.19. М-16Е-30 |
Малооборотные судовые дизели с лубрикаторной системой смазки, работающие на дистиллятных и остаточных топливах с массовой долей серы не более 1,5 % |
|
1.20. М-16Е-60 |
Малооборотные судовые дизели с лубрикаторной системой смазки, работающие на дистиллятных и остаточных топливах с массовой долей серы не более 2,5 % |
|
2.1. КС-19 |
Поршневые, в том числе многоступенчатые и ротационные компрессоры и воздуходувки при температуре воздуха на выходе не более 180 °С |
|
3.1. ХФ12-16 |
Холодильные машины, работающие на фреоне при температуре конденсации не выше минус 50 °С |
|
3.2. ХФ22-24 |
Одноступенчатые холодильные машины с поршневыми компрессорами, работающие на фреоне при температуре конденсации не ниже минус 50 °С |
|
3.3. ХА-30 |
Компрессоры, холодильные машины, работающие на аммиаке, углекислоте |
|
4.1. Тп-30 |
Турбины различных мощностей со скоростью от 2000 до 3000 мин-1, в том числе судовые турбинные установки |
|
4.2. Тп-46 |
Судовые турбинные установки, турбокомпрессоры и турбовоздуходувки при циркуляционной системе смазки, газовые турбины |
|
4.3. Масло дли судовых газовых турбин |
Судовые газотурбинные двигатели, газотурбогенераторы и редукторы газотурбинных установок |
|
5.1. Цилиндровое 52 |
Особо тяжелонагруженные зубчатые и червячные передачи и другие механизмы, допускающие применение масел без присадок, паровые машины с перегревом пара до 400 °С |
|
6.1. ТСп-15К |
Трансмиссия автомобилей КамАЗ, УралАЗ, УАЗ, КраЗ, МАЗ и др. |
|
6.2. ТАП-15В |
Редукторы с цилиндрическими, коническими, спирально-коническими и некоторыми червячными передачами. Используется в трансмиссиях автомобилей, строительно-дорожных и других машинах, а также в различных промышленных редукторах при температуре окружающего воздуха до 50 °С, контактных напряжениях до 2,5 ∙ 109 Па и скорости скольжения до 15 м/с |
|
6.3. ТАД-17и |
Агрегаты трансмиссией автомобилей и других машин, зубчатые редукторы, имеющие цилиндрические, конические, спирально-конические, гипоидные и червячные передачи, работающие при температуре окружающего воздуха до 50 °С |
|
7.1. И-20А |
Рабочие жидкости в гидравлических системах станочного оборудования, автоматических линий, прессов, смазки мало- и средненагруженных зубчатых передач, направляющих качения и скольжения станков. Гидросистемы промышленного оборудования, строительных, дорожных и других машин, работающих на открытом воздухе (И-30А) в интервале температуры от минус 5 °С до плюс 70 °С при длительном режиме эксплуатации |
|
7.2. И-30А |
|
|
7.3. И-40А |
|
|
7.4. И-50А |
|
|
7.5. ИГП-4 |
Смазывание высокоскоростных механизмов |
|
7.6. ИГП-6 |
|
|
7.7. ИГП-8 |
|
|
7.8. ИГП-14 |
|
|
7.9. ИГП-18 |
Рабочие жидкости в гидравлических системах станков, автоматических линий, прессов, высокоскоростных коробок передач, мало- и средненагруженных редукторов и червячных передач, электромагнитных и зубчатых муфт, вариаторов, подшипниковых узлов, направляющих скольжения и качения, другие узлы и механизмы, в которых требуются масла с улучшенными антиокислительными и противоизносными свойствами |
|
7.10. ИГП-30 |
|
|
7.11. ИГП-38 |
|
|
7.12. ИГП-49 |
|
|
7.13. ИГП-72 |
Гидросистемы тяжелого прессового оборудования, шестереночные передачи и средненагруженные зубчатые и червячные редукторы, коробки скоростей и другие узлы |
|
7.14. ИГП-91 |
|
|
7.15. ИГП-114 |
|
|
7.16. ВНИИП-403 |
Гидросистемы станков и автоматических линий, циркуляционные системы смазки |
|
7.17. ИГНСп-20 |
Гидросистемы и направляющие скольжения металлорежущих станков при подаче масла из общего резервуара |
|
7.18. ИГНСп-40 |
|
|
7.19. ИНСп-40 |
Горизонтальные направляющие станков |
|
7.20. ИНСп-65 |
Средне- и тяжелонагруженные горизонтальные, вертикальные направляющие при общей системе смазки, горизонтальные направляющие тяжелых станков |
|
7.21. ИНСп-110 |
Вертикальные и наклонные направляющие, горизонтальные направляющие с вертикальными гранями большой площади |
|
8.1. Масло трансформаторное селективной очистки |
Заливка трансформаторов, масляных выключателей и другой высоковольтной аппаратуры на напряжение до 220 кВ, смазка малонапряженных узлов |
|
8.2. TKп |
|
|
9.1. П-28 (снято с производства) |
Тяжелонагруженные механизмы, оборудованные циркуляционными системами смазки с большой радиальной протяженностью трубопроводов |
|
10.1. Литол-24 |
Узлы трения всех видов (подшипники качения и скольжения, шарниры, зубчатые передачи и др.) при температуре до 130 °С (для марки «солидол синтетический» до 65 °С). Используют как многоцелевую смазку для транспортных машин, индустриальных механизмов, механизмов морских судов и др. |
|
10.2. Солидол синтетический |
|
|
10.3. ВНИИНП-242 |
|
|
10.4. Графитная (УСсА) |
Рессоры, грубые, резьбовые соединения, ходовые винты (домкраты), грубые открытые зубчатые передачи |
|
11.1. ЦИАТИМ-221 |
Подшипники качения, работающие при повышенной температуре (электромашины и т.п.) |
|
11.2. ВНИИНП-207 |
|
|
11.3. Униол-1 |
Узлы трения всех видов (подшипники качения и скольжения, шарниры, зубчатые передачи и др.) при температуре до 150 °С. Используют в горячих узлах металлургического оборудования горячих конвейеров, в керамическом производстве и др. |
|
11.4. ПФМС-4С |
Тяжелонагруженные тихоходные подшипники скольжения, шарниры, шарикорезьбовые пары, ходовые резьбы и т.п. при температуре до 300 °С |
|
12.1. ОКБ-122-7 |
Узлы трения приборов и точных механизмов при температуре до 100 °С |
|
12.2. ВНИИНП-274 |
Малогабаритные подшипники качения, маломощные редукторы и другие узлы трения особо ответственных приборов при температуре до 130 °С. Используют также в подшипниках микроэлектродвигателей |
|
13.1. ЛЗ-ЦНИИ |
Роликовые подшипники букс железнодорожных вагонов при температуре до 100 °С. Смазка водорастворима |
|
13.2. ЖРО |
|
|
13.3. Униол-2 |
Централизованные системы смазки металлургического оборудования и другие узлы трения индустриальных механизмов при температуре до 150 °С |
|
13.4. Сиол |
Скоростные подшипники электроверетен и нажимные валики прядильных машин, работающих со скоростью вращения до 16000 мин-1 |
|
13.5. Торсиол-35 |
Стальные канаты различного назначения. Смазка влагостойкая |
|
13.6. ЦИАТИМ-201 |
Узлы трения, работающие с малым усилием сдвига при невысоких нагрузках. Не рекомендуется применять при длительном контакте с водой. Работоспособна при остаточном давлении 666,5 Па (5 мм рт. ст.) |
|
13.7. Лита |
Узлы трения механизмов переносного инструмента с электрическим или механическим приводом и другой техники. Смазка влагостойкая |
|
14.1. ВНИИНП-232 |
Для смазывания шлицевых соединений в ходовых резьб при температуре до 300 °С. Может быть использована в неподвижных резьбовых соединениях до 400 °C. Применяют также в тихоходных особо нагруженных узлах трения качения и скольжения и для приработки узлов трения |
|
14.2. МС-70 |
Узлы трения, работающие в контакте с морской водой. Смазка рабоче-консервационная |
|
15.1. «А» |
Гидроавтотрансформаторы и автоматические коробки передач автомобилей, автобусов и другой подвижной наземной техники, работающих при температуре окружающего воздуха до 50 °С |
|
15.2. «Р» |
Гидроусилители рулевого управления грузовых автомобилей. Гидравлический привод сцепления автобусов |
|
15.3. МГТ |
Гидромеханические передачи автомобилей и другой техники, работающей при температуре окружающего воздуха до 50 °С. Допускается использование в качестве универсального трансмиссионно-гидравлического масла в тяжелых промышленных тракторах |
|
15.4. АУ |
Механизмы, работающие с малыми нагрузками со скоростью до 5000 мин-1, компрессоры |
|
15.5. АЖ-12Т |
Телескопические и рычажно-кулачковые амортизаторы транспортных и специальных машин |
|
15.6. МГЕ-10А |
Гидравлические устройства наземной (кроме мобильных кранов) и корабельной техники, работающие при температуре до 90 °С |
|
15.7. АУП |
Гидросистемы корабельной техники. Смазочный материал для агрегатов и механизмов судов, работающих при температуре от минус 30 до плюс 120 °С |
|
15.8. ГЖД-14с |
Гидросистемы и ступицы судовых винтов регулируемого шага. Рабочий диапазон температур от минус 5 до плюс 80 °С. |
ПРИЛОЖЕНИЕ 2
Обязательное
ПЕРЕЧЕНЬ МАРОК МАСЕЛ, СМАЗОК И СПЕЦИАЛЬНЫХ ЖИДКОСТЕЙ,
НЕ ДОПУСКАЕМЫХ К ПРИМЕНЕНИЮ ВО ВНОВЬ РАЗРАБАТЫВАЕМОЙ
ИЛИ МОДЕРНИЗИРУЕМОЙ ТЕХНИКЕ
Марки масел, смазок и специальных жидкостей, приведенные в настоящем перечне, не допускается применять в технике, разрабатываемой или модернизируемой с 01.01.86.
|
Группа масел, смазок и специальных жидкостей |
Марка |
|
Моторные масла |
М-20Бп, М-16Д |
|
Трансмиссионные масла |
ТЭп-15, ТСп-14гип |
|
Турбинные масла |
Т-22, Тп-22, Т-30, Т-46 |
|
Компрессорные масла |
К-19 |
|
Прочие смазки |
АМС-1 |
|
Рабочие жидкости для гидросистем |
МГ-30 |
Примечание. Смазочные материалы, указанные в настоящем приложении, допускается применять в технике, изготовляемой и эксплуатируемой до очередной ее модернизации.
СОДЕРЖАНИЕ
|
1. Моторные масла. 1 2. Компрессорные масла. 2 3. Масла для компрессоров холодильных маши». 2 4. Турбинные масла. 2 5. Цилиндровые масла. 2 6. Трансмиссионные масла. 2 7. Индустриальные масла. 2 8. Электроизоляционные масла. 3 9. Масла для прокатных станов. 3 10. Многоцелевые смазки. 3 11. Термостойкие смазки. 3 12. Приборные смазки. 3 13. Отраслевые смазки. 3 14. Прочие смазки. 3 15. Рабочие жидкости для гидросистем.. 3 Приложение 1 (рекомендуемое) Основная область применения масел, смазок и специализированных жидкостей в технических изделиях. 4 Приложение 2 (обязательное) Перечень марок масел, смазок и специальных жидкостей, не допускаемых к применению во вновь разрабатываемой или модернизируемой техникЕ. 6 |
