Эмали ПФ-223. Технические условия
Заменяет

Страница 1

Страница 2

Страница 3

Страница 4

Страница 5

Страница 6

Страница 7

Страница 8

Страница 9

Страница 10

Страница 11
ГОСТ 14923-78
МЕЖГОСУДАРСТВЕННЫЙ СТАНДАРТ
ЭМАЛИ ПФ-223
ТЕХНИЧЕСКИЕ УСЛОВИЯ
ИПК ИЗДАТЕЛЬСТВО СТАНДАРТОВ
Москва
МЕЖГОСУДАРСТВЕННЫЙ СТАНДАРТ
|
ЭМАЛИ ПФ-223 Технические условия Enamels ПФ-223. Specifications |
ГОСТ |
Дата введения 01.07.79
Настоящий стандарт распространяется на эмали ПФ-223 различных цветов, представляющие собой суспензию пигментов в пентафталевом лаке с добавлением сиккатива и растворителей.
Эмали предназначаются для окрашивания металлических поверхностей и поверхностей из древесины, эксплуатируемых внутри помещений.
Пленки эмалей устойчивы к изменению температуры от минус 40 до плюс 60 °С.
Эмали наносят на поверхность (по грунтовке или без нее) методами пневматического, безвоздушного распыления, распылением в электрополе и кистью.
(Измененная редакция, Изм. № 2).
1. ТЕХНИЧЕСКИЕ ТРЕБОВАНИЯ
1.1. Эмали ПФ-223 должны выпускаться в соответствии с требованиями настоящего стандарта по рецептуре и техническому регламенту, утвержденным в установленном порядке.
1.2. Эмали должны выпускаться следующих цветов с соответствующими кодами ОКП, указанными в табл. 1а.
Таблица 1а
|
Наименование цвета |
Код ОКП |
Наименование цвета |
Код ОКП |
|
Красный |
23 1222 3206 06 |
Защитный |
23 1222 3211 09 |
|
Желтый |
23 1222 3204 08 |
Темно-серый |
23 1222 3260 00 |
|
Зеленый |
23 1222 3208 04 |
Серый |
23 1222 3203 09 |
|
Темный серо-зеленый |
23 1222 3268 03 |
Зеленовато-серый |
23 1222 3273 06 |
|
Серо-голубой |
23 1222 3255 08 |
Черный |
23 1222 3202 10 |
|
Темно-синий |
23 1222 3266 05 |
Белый 01 |
23 1222 3254 09 |
|
Голубовато-серый |
23 1222 3274 05 |
Белый 02 |
23 1222 3201 00 |
|
Коричневый |
23 1222 3209 03 |
Примечание. Бывшие обозначения цветов эмалей приведены в приложении 1.
(Измененная редакция, Изм. № 2).
1.3. Перед применением эмали разбавляют до рабочей вязкости уайт-спиритом (нефрасом-С4-155/200) по ГОСТ 3134, ксилолом по ГОСТ 9949 или ГОСТ 9410, сольвентом по ГОСТ 1928 или ГОСТ 10214 или смесью указанных растворителей в соотношении по массе 1:1.
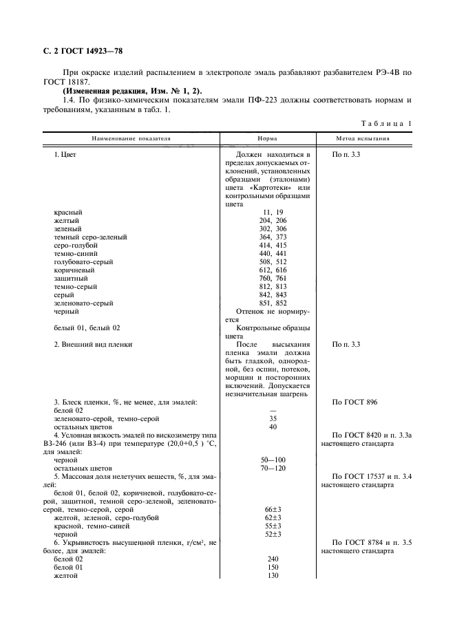
При окраске изделий распылением в электрополе эмаль разбавляют разбавителем РЭ-4В по ГОСТ 18187.
(Измененная редакция, Изм. № 1, 2).
1.4. По физико-химическим показателям эмали ПФ-223 должны соответствовать нормам и требованиям, указанным в табл. 1.
Таблица 1
|
Наименование показателя |
Норма |
Метод испытания |
|
1. Цвет |
Должен находиться в пределах допускаемых отклонений, установленных образцами (эталонами) цвета «Картотеки» или контрольными образцами цвета |
По п. 3.3 |
|
красный |
11, 19 |
|
|
желтый |
204, 206 |
|
|
зеленый |
302, 306 |
|
|
темный серо-зеленый |
364, 373 |
|
|
серо-голубой |
414, 415 |
|
|
темно-синий |
440, 441 |
|
|
голубовато-серый |
508, 512 |
|
|
коричневый |
612, 616 |
|
|
защитный |
760, 761 |
|
|
темно-серый |
812, 813 |
|
|
серый |
842, 843 |
|
|
зеленовато-серый |
851, 852 |
|
|
черный |
Оттенок не нормируется |
|
|
белый 01, белый 02 |
Контрольные образцы цвета |
|
|
2. Внешний вид пленки |
После высыхания пленка эмали должна быть гладкой, однородной, без оспин, потеков, морщин и посторонних включений. Допускается незначительная шагрень |
По п. 3.3 |
|
3. Блеск пленки, %, не менее, для эмалей: |
По ГОСТ 896 |
|
|
белой 02 |
— |
|
|
зеленовато-серой, темно-серой |
35 |
|
|
остальных цветов |
40 |
|
|
4. Условная вязкость эмалей по вискозиметру типа ВЗ-246 (или ВЗ-4) при температуре (20,0 + 0,5) °С, для эмалей: |
По ГОСТ 8420 и п. 3.3а настоящего стандарта |
|
|
черной |
50 — 100 |
|
|
остальных цветов |
70 — 120 |
|
|
5. Массовая доля нелетучих веществ, %, для эмалей: |
По ГОСТ 17537 и п. 3.4 настоящего стандарта |
|
|
белой 01, белой 02, коричневой, голубовато-серой, защитной, темной серо-зеленой, зеленовато-серой, темно-серой, серой |
66 ± 3 |
|
|
желтой, зеленой, серо-голубой |
62 ± 3 |
|
|
красной, темно-синей |
55 ± 3 |
|
|
черной |
52 ± 3 |
|
|
6. Укрывистость высушенной пленки, г/м2, не более, для эмалей: |
По ГОСТ 8784 и п. 3.5 настоящего стандарта |
|
|
белой 02 |
240 |
|
|
белой 01 |
150 |
|
|
желтой |
130 |
|
|
красной |
110 |
|
|
серой |
85 |
|
|
голубовато-серой, серо-голубой, темно-серой, зеленовато-серой |
75 |
|
|
темно-синей, зеленой |
60 |
|
|
коричневой, защитной, темной серо-зеленой |
50 |
|
|
черной |
20 |
|
|
7. Степень перетира, мкм, не более, для эмалей: |
По ГОСТ 6589 |
|
|
черной |
20 |
|
|
остальных цветов |
25 |
|
|
8. Время высыхания до степени 3 при температуре (20 ± 2) °С, ч, не более, для эмалей: |
По ГОСТ 19007 и п. 3.7 настоящего стандарта |
|
|
красной, темно-синей, черной |
36 |
|
|
остальных цветов |
24 |
|
|
до степени 4 при температуре 75 — 80 °С, ч, не более, для эмалей: |
||
|
черной |
4 |
|
|
остальных цветов |
3 |
|
|
9. Эластичность пленки при изгибе, мм, не более |
1 |
По ГОСТ 6806 |
|
10. Прочность пленки при ударе на приборе типа У-1, см, не менее |
50 |
По ГОСТ 4765 |
|
11. Твердость пленки, условные единицы, не менее, для эмалей: |
По ГОСТ 5233 |
|
|
красной, черной, темно-синей по маятниковому прибору |
||
|
типа М-3 |
0,2 |
|
|
типа ТМЛ (маятник А) |
0,07 |
|
|
остальных цветов по маятниковому прибору |
||
|
типа М-3 |
0,3 |
|
|
типа ТМЛ (маятник А) |
0,1 |
|
|
12. Стойкость пленки к статическому воздействию воды при температуре (20 ± 2) °С, ч, не менее |
3 |
По ГОСТ 9.403, разд. 2, и п. 3.8 настоящего стандарта |
|
13. Стойкость пленки к статическому воздействию минерального масла при температуре (20 ± 2) °С, ч, не менее |
24 |
По ГОСТ 9.403 разд. 2, и п. 3.9 настоящего стандарта |
|
14. Стойкость пленки к статическому воздействию бензина при температуре (20 ± 2) °С, ч, не менее |
6 |
По ГОСТ 9.403, разд. 2, и п. 3.10 настоящего стандарта |
(Поправка).
Примечания:
1. Допускается увеличение нормы условной вязкости эмалей при хранении, если при разбавлении их растворителем в количестве не более 20 % (от массы эмали) эмали будут соответствовать требованиям стандарта.
2. Норма по показателю 11 при определении на приборе типа ТМЛ (маятник А) не является браковочной до 01.01.97. Определение обязательно.
Норма при определении на приборе типа М-3 действует до 01.01.97.
(Измененная редакция, Изм. № 1, 2, 3).
2. ПРАВИЛА ПРИЕМКИ
2.1. Правила приемки — по ГОСТ 9980.1.
(Измененная редакция, Изм. № 2).
2.2. Норму по показателям 6, 9 и 10 табл. 1 изготовитель определяет периодически в каждой двадцатой партии.
Норму по показателям 12 — 14 изготовитель не определяет, т.к. она гарантирована рецептурой эмалей.
(Измененная редакция, Изм. № 3).
2.3. При получении неудовлетворительных результатов периодических испытаний изготовитель проверяет каждую партию до получения удовлетворительных результатов испытаний не менее чем в трех партиях подряд.
(Введен дополнительно, Изм. № 3).
3. МЕТОДЫ ИСПЫТАНИЙ
3.1. Отбор проб — по ГОСТ 9980.2.
(Измененная редакция, Изм. № 2).
3.2. Подготовка к испытанию
Пластинки для нанесения эмалей подготавливают по ГОСТ 8832, разд. 3.
Цвет, внешний вид и время высыхания пленки определяют на пластинках из черной горячекатаной жести размером 70´150 мм и толщиной 0,25 — 0,28 мм.
Эластичность пленки при изгибе определяют на пластинках из черной горячекатаной жести размером 20´150 мм и толщиной 0,25 — 0,32 мм по ГОСТ 13345.
Твердость пленки, блеск и укрывистотсть определяют на стеклянных пластинках специального назначения размером 90´120 мм и толщиной 1,2 мм.
Остальные показатели определяют на стальных пластинках марок 08кп и 08пс размером 70´150 мм, толщиной 0,8 — 0,9 мм по ГОСТ 16523.
Вязкость, массовую долю нелетучих веществ и степень перетира определяют в неразбавленной эмали.
Для определения остальных показателей испытуемую эмаль перед нанесением на пластинки размешивают, разбавляют ксилолом до вязкости 22 — 25 с по вискозиметру типа ВЗ-246 (или ВЗ-4) с диаметром сопла 4 мм при температуре (20,0 ± 0,5) °С, фильтруют через сетку 009 или 01 по ГОСТ 6613 и наносят краскораспылителем на подготовленные пластинки в один слой.
При определении стойкости пленки к статическому воздействию воды, минерального масла и бензина эмаль наносят на обе стороны пластинки.
Нанесенную на пластинки эмаль сушат при температуре 75 — 80 °С в течение 3 ч, а при испытании черной эмали — 4 ч. Толщина пленки после высыхания для черной эмали 13 — 18 мкм, для остальных цветов — 18 — 23 мкм. При определении цвета и внешнего вида пленки эмаль наносят до полного укрытия окрашиваемой поверхности. Сушку между слоями проводят в течение 1 ч при температуре 75 — 80 °С, а последнего слоя — 3 ч.
После горячей сушки пластинки выдерживают при температуре (20 ± 2) °С в течение 3 ч.
(Измененная редакция, Изм. № 1, 2, 3).
3.3. Внешний вид пленки эмали определяют визуально при дневном рассеянном свете.
Цвет высушенной пленки определяют методом визуального сравнения с цветом соответствующих образцов (эталонов) цвета «Картотеки» или контрольных образцов цвета при естественном или искусственном дневном рассеянном свете.
Сравниваемые образцы должны находиться в одной плоскости на расстоянии 300 — 500 мм от глаз наблюдателя под углом зрения, исключающим блеск поверхности. В случае разногласий в оценке за окончательный принимают результат определения цвета при естественном дневном свете.
3.3а. Условную вязкость эмалей определяют по вискозиметру типа ВЗ-246 (или ВЗ-4) с диаметром сопла 4 мм при температуре (20,0 ± 0,5) °С.
3.3, 3.3а. (Измененная редакция, Изм. № 2).
3.4. Массовую долю нелетучих веществ эмали определяют по ГОСТ 17537, разд. 1. Навеску испытуемой эмали массой 1,80 — 2,20 г помещают в сушильный шкаф и выдерживают при температуре (140 ± 2) °С в течение 1,5 ч.
Допускается определение массовой доли нелетучих веществ под инфракрасной лампой при температуре (140 ± 2) °С до постоянной массы. При разногласиях в оценке данного показателя за окончательный принимают результат определения в сушильном шкафу.
(Измененная редакция, Изм. № 2, 3).
3.5. Укрывистость определяют по ГОСТ 8784, разд. 1. Каждый слой сушат в течение 1 ч при температуре 75 — 80 °С, а последний — в течение 3 ч при этой же температуре.
3.6. (Исключен, Изм. № 1).
3.7. Время высыхания определяют по ГОСТ 19007. Допускается удаление бумаги любым способом, не приводящим к видимым повреждениям пленки, при удержании бумаги на поверхности (например, за счет статического электричества).
3.8. Стойкость пленки к статическому воздействию воды определяют по ГОСТ 9.403, разд. 2, при этом образец, подготовленный по п. 3.2, выдерживают в дистиллированной воде по ГОСТ 6709 в течение 3 ч.
Пластинки с пленкой после испытания выдерживают при температуре (20 ± 2) °С в течение 1 ч и проводят осмотр невооруженным глазом. Испытуемый образец по внешнему виду должен быть без изменений. Допускается незначительное изменение цвета пленки белых эмалей.
3.9. Стойкость пленки к статическому воздействию минерального масла определяют по ГОСТ 9.403, разд. 2, при этом образцы, подготовленные по п. 3.2, выдерживают в авиационном масле по ГОСТ 21743 в течение 24 ч.
Пластинки с пленкой после испытания выдерживают при температуре (20 ± 2) °С в течение 1 ч и проводят осмотр невооруженным глазом.
Испытуемый образец по внешнему виду должен быть без изменения. Допускается незначительное изменение цвета пленки белых эмалей.
3.10. Стойкость пленки к статическому воздействию бензина определяют по ГОСТ 9.403, разд. 2, при этом образцы, подготовленные по п. 3.2, выдерживают в бензине Б-70 в течение 6 ч.
Пластинки с пленкой после испытания выдерживают при температуре (20 ± 2) °С в течение 1 ч и проводят осмотр невооруженным глазом.
Испытуемый образец по внешнему виду должен быть без изменений. Допускается незначительное изменение цвета пленки всех эмалей.
3.7 — 3.10. (Измененная редакция, Изм. № 2).
4. УПАКОВКА, МАРКИРОВКА, ТРАНСПОРТИРОВАНИЕ И ХРАНЕНИЕ
4.1. Упаковка — по ГОСТ 9980.3.
4.2. Маркировка — по ГОСТ 9980.4.
Назначение, меры предосторожности, способ применения эмалей ПФ-223, предназначенных для розничной торговли, указаны в приложении 2.
4.1, 4.2. (Измененная редакция, Изм. № 2).
4.3. Транспортирование и хранение — по ГОСТ 9980.5.
На транспортную тару должен быть дополнительно нанесен знак опасности по ГОСТ 19433, класс 3, классификационный шифр 3313, регистрационный номер ООН 1263 и манипуляционный знак «Герметичная упаковка» по ГОСТ 14192.
(Измененная редакция, Изм. № 2, 3).
5. ГАРАНТИИ ИЗГОТОВИТЕЛЯ
5.1. Изготовитель гарантирует соответствие эмалей требованиям стандарта при соблюдении условий транспортирования и хранения.
5.2. Гарантийный срок хранения эмалей ПФ-223 — один год со дня изготовления.
5.1, 5.2. (Измененная редакция, Изм. № 1).
6. ТРЕБОВАНИЯ БЕЗОПАСНОСТИ
6.1. Эмали ПФ-223 являются токсичными и пожаровзрывоопасными материалами, что обусловлено свойствами растворителей и свинцовых соединений, входящих в их состав (табл. 2).
Показатели пожаровзрывоопасности, определяемые по ГОСТ 12.1.044, приведены в приложении 3.
Возможные пути поступления вредных веществ в организм человека: ингаляционный, через кожные покровы.
Таблица 2
|
Наименование материала |
Предельно допустимая концентрация в воздухе рабочей зоны производственных помещений, мг/м3 |
Температура, °С |
Концентрационные пределы воспламенения, % (по объему) |
Класс опасности |
|
|
вспышки |
самовоспламенения |
||||
|
Не ниже |
|||||
|
Ксилол |
50 |
23 |
450 |
1,0 — 6,0 |
3 |
|
Уайт-спирит (нефрас-С4-155/200) |
300 |
33 |
270 |
1,4 — 6,0 |
4 |
|
Сольвент |
50 |
22 — 36 |
464 — 535 |
1,0 — 8,0 |
3 |
|
Соединения свинца |
0,01 |
— |
— |
— |
1 |
6.2. Пары растворителей, входящих в состав эмалей, оказывают раздражающее действие на слизистые оболочки глаз, верхних дыхательных путей.
При производстве эмалей соединения свинца, входящие в состав пигментов, могут вызвать нарушение деятельности нервной системы, изменения в крови.
Обладая кумулятивным свойством, свинец способен накапливаться в организме человека.
Специальным требованием к личной гигиене работающих с соединениями свинца является принятие душа по окончании работ.
6.3. При производстве и применении эмалей должны соблюдаться требования безопасности по ГОСТ 12.3.005 и ГОСТ 12.1.004.
6.4. Производство эмалей должно соответствовать «Общим правилам взрывобезопасности для взрывопожароопасных химических, нефтехимических и нефтеперерабатывающих производств», утвержденным Госгортехнадзором 06.09.88.
6.5. Лица, связанные с изготовлением и применением эмалей, должны быть обеспечены средствами индивидуальной защиты по ГОСТ 12.4.011, ГОСТ 12.4.068, ГОСТ 12.4.103, ГОСТ 12.3.002 и ГОСТ 12.4.028.
6.6. Средства тушения пожара: песок, кошма, пенный огнетушитель марки ОП, пенные установки, отвечающие требованиям ГОСТ 12.4.009.
6.7. Все работы, связанные с изготовлением и применением эмалей, должны проводиться в помещениях, снабженных приточно-вытяжной вентиляцией по ГОСТ 12.4.021, обеспечивающей состояние воздушной среды в соответствии с ГОСТ 12.1.005.
6.8. Методы определения вредных веществ в воздухе рабочей зоны — по технической документации, утвержденной в установленном порядке.
6.9. Высушенное покрытие не оказывает вредного влияния на организм человека и окружающую среду.
6.10. Контроль за соблюдением предельно допустимых выбросов (ПДВ) — по ГОСТ 17.2.3.02.
6.11. В воздушной среде и сточных водах в присутствии других веществ или факторов эмали ПФ-223 и компоненты, входящие в их состав, токсичных соединений не образуют.
6.12. Утилизация отходов осуществляется в соответствии с санитарными правилами «Порядок накопления, транспортирования, обезвреживания и захоронения токсичных промышленных отходов», утвержденными Министерством здравоохранения СССР 29.12.84, и с учетом требований санитарных правил «Предельное количество накопления токсичных промышленных отходов на территории предприятия (организации), утвержденных Министерством здравоохранения СССР 01.02.85.
Разд. 6. (Измененная редакция, Изм. № 3).
ПРИЛОЖЕНИЕ 1
Справочное
ТАБЛИЦА СООТВЕТСТВИЯ ОБОЗНАЧЕНИЯ ЦВЕТОВ ЭМАЛЕЙ ПФ-223
ПО ГОСТ 14923-78 С ИЗМЕНЕНИЕМ № 2 И ПО ГОСТ 14923-78
С ИЗМЕНЕНИЕМ № 1
|
Обозначение по ГОСТ 14923-78 с Изменением № 2 |
Обозначение по ГОСТ 14923-78 с Изменением № 1 |
Обозначение по ГОСТ 14923-78 с Изменением № 2 |
Обозначение по ГОСТ 14923-78 с Изменением № 1 |
|
Красная |
Красная |
Зеленовато-серая |
Зеленовато-серая |
|
Желтая |
Желтая |
Черная |
Черная |
|
Зеленая |
Зеленая |
Белая 01 |
Белая 1 |
|
Темная серо-зеленая |
Темная серо-зеленая |
Белая 02 |
Белая 2 |
|
Серо-голубая |
Серо-голубая |
Эталон цвета 303 заменен на 306 |
|
|
Темно-синяя |
Темно-синяя |
||
|
Голубовато-серая |
Голубовато-серая |
Эталон цвета 321 заменен на 364 |
|
|
Коричневая |
Коричневая |
||
|
Защитная |
Защитная |
Эталон цвета 327 заменен на 373 |
|
|
Темно-серая |
Темно-серая |
||
|
Серая |
Серая |
ПРИЛОЖЕНИЕ 1. (Измененная редакция, Изм. № 2).
ПРИЛОЖЕНИЕ 2
Обязательное
НАЗНАЧЕНИЕ, МЕРЫ ПРЕДОСТОРОЖНОСТИ, СПОСОБ ПРИМЕНЕНИЯ
ЭМАЛЕЙ ПФ-223, ПРЕДНАЗНАЧЕННЫХ ДЛЯ РОЗНИЧНОЙ ТОРГОВЛИ
Эмали ПФ-223 предназначаются для окрашивания металлических и деревянных поверхностей, эксплуатируемых внутри помещений. Эмали наносят кистью. В случае загустевания эмаль разбавляют бензином-растворителем для лакокрасочной промышленности (уайт-спиритом) или скипидаром. Время высыхания эмали — не более 30 ч при температуре (20 ± 2) °С.
Расход эмали на однослойное покрытие — 60 — 120 г/м2.
Эмали следует хранить в плотно закрытой таре, предохраняя от влаги и солнечных лучей.
Эмали следует беречь от огня.
Помещения, где проводится окраска, должны проветриваться в процессе окрасочных работ и по их окончании не менее 24 ч.
Для защиты рук следует применять резиновые перчатки, специальные мази, кремы.
Хранить эмали следует в местах, недоступных для детей.
Пленка эмали после высыхания не оказывает вредного воздействия на организм человека.
ПРИЛОЖЕНИЕ 2. (Измененная редакция, Изм. № 3).
ПРИЛОЖЕНИЕ 3
Справочное
ХАРАКТЕРИСТИКИ ПОЖАРООПАСНОСТИ ЭМАЛИ ПФ-223 ЖЕЛТОЙ
Температура вспышки паров в закрытом тигле………………………………. 32 °С
Температура вспышки паров в открытом тигле………………………………. 38 °С
Температура воспламенения…………………………………………………………… 44 °С
Температура самовоспламенения……………………………………………………. 409 °С
Температурные пределы распространения пламени:
нижний……………………………………………………………………………… 33 °С
верхний……………………………………………………………………………… 63 °С
ПРИЛОЖЕНИЕ 3. (Введено дополнительно, Изм. № 3).
ИНФОРМАЦИОННЫЕ ДАННЫЕ
1. РАЗРАБОТАН И ВНЕСЕН Министерством химической промышленности СССР
РАЗРАБОТЧИКИ
Л.П. Лаврищев, канд. техн. наук; М.И. Карякина, д-р техн. наук; Н.В. Майорова, канд. хим. наук; И.М. Федотова; Л.Б. Ольховатова; Г.С. Иоффе
2. УТВЕРЖДЕН И ВВЕДЕН В ДЕЙСТВИЕ Постановлением Государственного комитета СССР по стандартам от 26.05.78 № 1424
Изменение № 3 принято Межгосударственным Советом по стандартизации, метрологии и сертификации (протокол № 8 от 12.10.95)
За принятие проголосовали:
|
Наименование государства |
Наименование национального органа по стандартизации |
|
Азербайджанская Республика |
Азгосстандарт |
|
Республика Беларусь |
Госстандарт Беларуси |
|
Республика Казахстан |
Госстандарт Республики Казахстан |
|
Республика Молдова |
Молдовастандарт |
|
Российская Федерация |
Госстандарт России |
|
Республика Таджикистан |
Таджикгосстандарт |
|
Туркменистан |
Главная государственная инспекция Туркменистана |
3. ВЗАМЕН ГОСТ 14923-69
4. ССЫЛОЧНЫЕ НОРМАТИВНО-ТЕХНИЧЕСКИЕ ДОКУМЕНТЫ
|
Обозначение НТД, на который дана ссылка |
Номер пункта, подпункта |
Обозначение НТД, на который дана ссылка |
Номер пункта, подпункта |
|
ГОСТ 9.403-80 |
1.4; 3.8; 3.9; 3.10 |
ГОСТ 6806-73 |
1.4 |
|
ГОСТ 12.1.004-91 |
6.3 |
ГОСТ 8420-74 |
1.4 |
|
ГОСТ 12.1.005-88 |
6.7 |
ГОСТ 8784-75 |
1.4; 3.5 |
|
ГОСТ 12.1.044-89 |
6.1 |
ГОСТ 8832-76 |
3.2 |
|
ГОСТ 12.3.002-75 |
6.5 |
ГОСТ 9410-78 |
1.3 |
|
ГОСТ 12.3.005-75 |
6.3 |
ГОСТ 9949-76 |
1.3 |
|
ГОСТ 12.4.009-83 |
6.6 |
ГОСТ 9980.1-86 |
2.1 |
|
ГОСТ 12.4.011-89 |
6.5 |
ГОСТ 9980.2-86 |
3.1 |
|
ГОСТ 12.4.021-75 |
6.7 |
ГОСТ 9980.3-86 |
4.1 |
|
ГОСТ 12.4.028-76 |
6.5 |
ГОСТ 9980.4-86 |
4.2 |
|
ГОСТ 12.4.068-79 |
6.5 |
ГОСТ 9980.5-86 |
4.3 |
|
ГОСТ 12.4.103-83 |
6.5 |
ГОСТ 10214-78 |
1.3 |
|
ГОСТ 17.2.3.02-78 |
6.10 |
ГОСТ 13345-85 |
3.2 |
|
ГОСТ 896-69 |
1.4 |
ГОСТ 14192-96 |
4.3 |
|
ГОСТ 1928-79 |
1.3 |
ГОСТ 16523-89 |
3.2 |
|
ГОСТ 3134-78 |
1.3 |
ГОСТ 17537-72 |
1.4; 3.4 |
|
ГОСТ 4765-73 |
1.4 |
ГОСТ 18187-72 |
1.3 |
|
ГОСТ 5233-89 |
1.4 |
ГОСТ 19007-73 |
1.4; 3.7 |
|
ГОСТ 6589-74 |
1.4 |
ГОСТ 19433-88 |
4.3 |
|
ГОСТ 6613-86 |
3.2 |
ГОСТ 21743-76 |
3.9 |
|
ГОСТ 6709-72 |
3.8 |
5. Ограничение срока действия снято по протоколу № 3-93 Межгосударственного Совета по стандартизации, метрологии и сертификации (ИУС 5-6-93)
6. ПЕРЕИЗДАНИЕ (март 1999 г.) с Изменениями № 1, 2, 3, утвержденными в сентябре 1983 г., марте 1988 г., марте 1996 г. (ИУС 1-84, 7-88, 6-96)
СОДЕРЖАНИЕ
|
1. Технические требования. 1 2. Правила приемки. 3 3. Методы испытаний. 4 4. Упаковка, маркировка, транспортирование и хранение. 5 5. Гарантии изготовителя. 5 6. Требования безопасности. 5 Приложение 1. Таблица соответствия обозначения цветов эмалей пф-223 по гост 14923-78 с изменением № 2 и по гост 14923-78 с изменением № 1. 7 Приложение. Назначение, меры предосторожности, способ применения эмалей пф-223, предназначенных для розничной торговли. 7 Приложение 3. Характеристики пожароопасности эмали пф-223 желтой. 7 |
