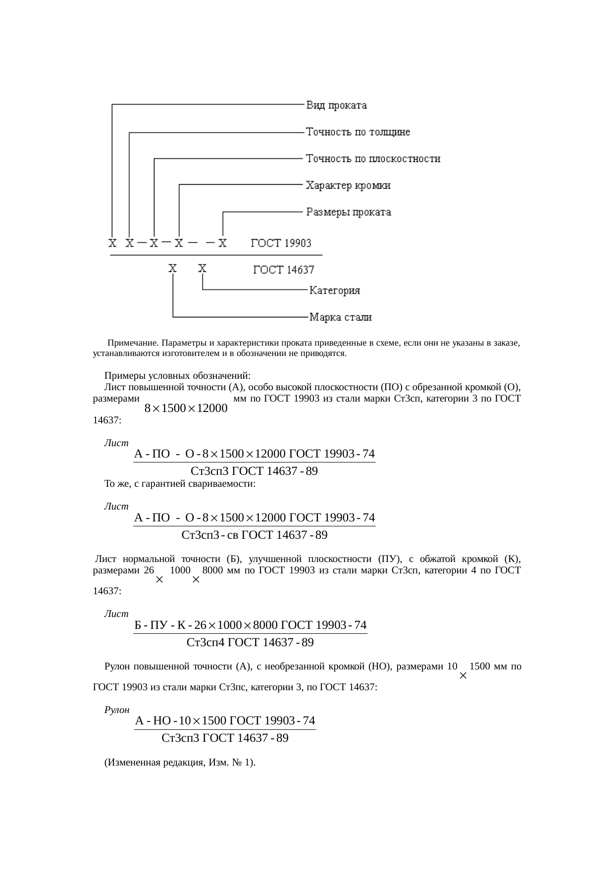
Прокат толстолистовой из углеродистой стали обыкновенного качества. Технические условия
На нашем сайте можно бесплатно скачать ГОСТ 14637-89 (1994) в удобном формате. Узнать актуальный статус ГОСТА «Прокат толстолистовой из углеродистой стали обыкновенного качества. Технические условия» на 2016 год.
Скрыть дополнительную информацию

Страница 1

Страница 2

Страница 3

Страница 4

Страница 5

Страница 6

Страница 7

Страница 8

Страница 9
