Пружины винтовые цилиндрические сжатия I класса, разряда 4 из стали круглого сечения. Основные параметры витков
Заменяет

Страница 1

Страница 2

Страница 3

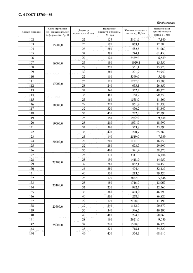
Страница 4

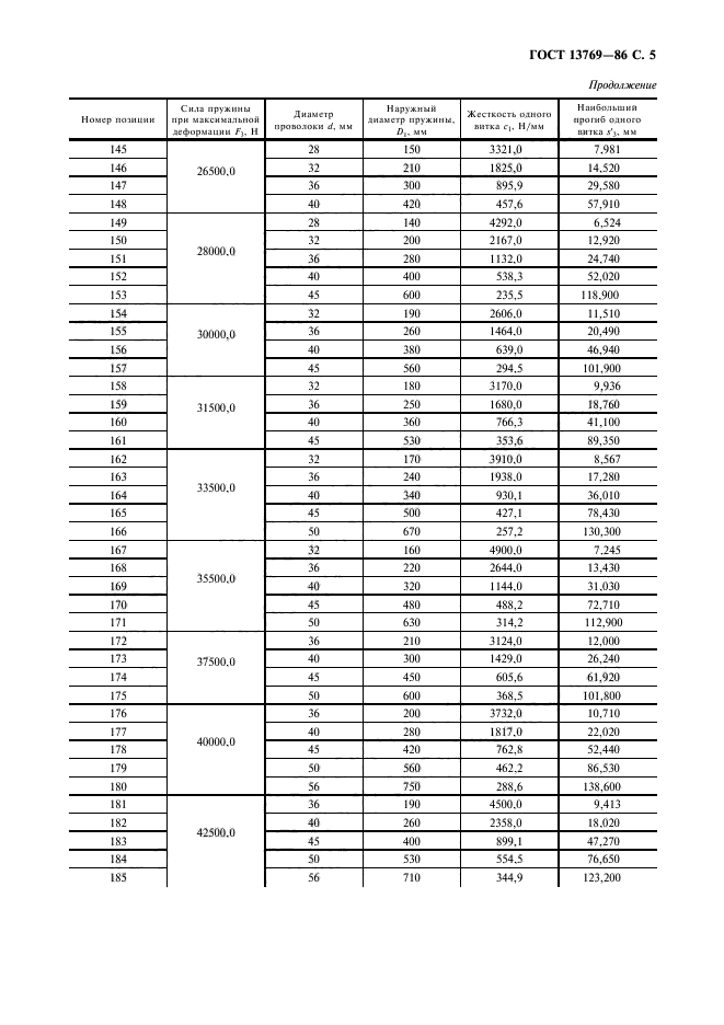
Страница 5

Страница 6

Страница 7

Страница 8

Страница 9

Страница 10
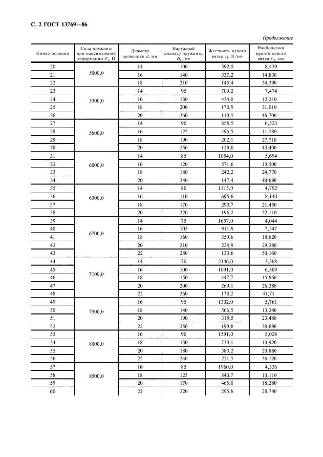
С. 1 ГОСТ 13769-86 МЕЖГОСУДАРСТВЕННЫЙ СТАНДАРТ ПРУЖИНЫ ВИНТОВЫЕ ЦИЛИНДРИЧЕСКИЕ СЖАТИЯ I КЛАССА, РАЗРЯДА 4 ИЗ СТАЛИ КРУГЛОГО СЕЧЕНИЯ ОСНОВНЫЕ ПАРАМЕТРЫ ВИТКОВ Издание официальное £ I ГЧ ■л ИПК ИЗДАТЕЛЬСТВО СТАНДАРТОВ Москва УДК 669.14-272.272:006.354 Группа Г11 МЕЖГОСУДАРСТВЕННЫЙ СТАНДАРТ ПРУЖИНЫ ВИНТОВЫЕ ЦИЛИНДРИЧЕСКИЕ СЖАТИЯ I КЛАССА, РАЗРЯДА 4 ИЗ СТАЛИ КРУГЛОГО СЕЧЕНИЯ ГОСТ Основные параметры витков 13769_86 Cylindrical hclicul compression springs of 1 class and of 4 category made of round steel. Main parameters of coils ОКСТУ 1243_ Дата введении 01.07.88 Настоящий стандарт распространяется на пружины сжатия 1 класса, разряда 4 с силами при максимальной деформации пружины (А,) от 2800 до 180000 Н. 1. Основные параметры витков должны соответствовать указанным в таблице. 2. Пружины должны изготовляться из стали горячекатаной круглой по ГОСТ 2590 диаметром от 14 до 70 мм. 1, 2. (Измененная редакция, Изм. № 1). 3. Классификация пружин — по ГОСТ 13764. 4. Методика определения размеров пружин по ГОСТ 13765. Номер позиции Сила пружины при максимальной деформации F-,. Н ДиаМСТр проволоки J. мм Наружный диаметр пружины. D,. мм Жесткость одною виткз с(. Н/мм Наибо.тьш ни прошГ» одного витка j’j, мм 1 2800,0 180 82.38 33.990 2 3000,0 14 170 99.38 30.190 3 3150,0 160 121.1 26,020 4 3350,0 150 150.0 22.330 5 16 210 88.05 38,040 6 3550.0 14 140 188.4 18.850 7 16 200 103.2 34.390 8 3750.0 14 130 241.4 15.540 9 16 190 121.8 30,770 10 4000,0 14 125 275.4 14.530 11 16 180 145.8 27.440 12 4250.0 14 120 316.6 13.430 13 16 170 176.0 24,150 14 14 N0 425.5 10.580 15 4500,0 16 160 215.3 20.900 16 18 240 94.13 47.810 17 14 105 500.1 9.497 18 4750.0 16 150 267.2 17.780 19 18 220 125.0 38.000 Издание официальное ★ Перепечатка воепрешена Издательство стандартов. 1986 © ИГ1К Издательство стандартов. 1999 Переиздание с Изменениями С. 2 ГОСТ 13769-86 Продатсение Номер па ni пик Сила пружинм при максимально» деформации Г). 11 Диамор проволоки J. мм Наружный лиаыстр пружины. D,. мм Жесткость одною ВИГКД Г|, H /мм Наиболыи НИ прошб оаиого шика Vj. мм 20 14 100 592.5 8,439 21 5000,0 16 140 337.2 14.830 22 18 210 145.4 34.390 23 14 95 709.2 7.474 24 5300.0 16 130 434.0 12.210 25 18 200 170.9 31.010 26 20 260 113.5 46.700 27 14 % 858.5 6.523 28 5600.0 16 125 496,5 11.280 29 18 190 202.1 27.710 30 20 250 129.0 43,400 31 14 85 1054.0 5.694 32 6000.0 16 120 571.6 10,500 33 18 180 242.2 24,770 34 20 240 147.4 40,690 35 14 80 1315.0 4.792 36 6300.0 16 МО 695.6 8.140 37 18 170 293.7 21.450 38 20 220 196.2 32.110 39 14 75 1657.0 4.044 40 6700.0 16 105 911.9 7.347 41 18 160 359,6 18.620 42 20 210 228,9 29.280 43 22 280 133.6 50,160 44 14 70 2146.0 3.308 45 7100,0 16 100 1091,0 6.509 46 18 150 447,7 15,860 47 20 200 269,1 26.380 48 22 260 170.2 41.71 49 16 95 1302.0 5,761 50 750U.0 18 140 566.5 13.240 51 20 190 319.5 23.480 52 22 250 193.8 38.690 53 16 90 1591.0 5.028 54 8000,0 18 130 733,1 10.920 55 20 ISO 383.2 20,880 56 22 240 221,5 36.120 57 16 85 1960.0 4.336 58 S50û.0 18 125 840,7 10,110 59 20 170 465.0 IS, 280 60 22 220 295,8 28.740 ГОСТ 13769-86 С. 3 Прмкижение Номер пошипи С ил л пружины при максимальной деформации Г). H Диаметр проволоки J. мм Наружный диаметр пружины. D,. мм Жесткость одною витка f|, II,.’мм Наибольш ни про1нб одного витка s’y, мм 61 16 80 2453.0 3,670 62 9000,0 18 120 970,5 9.274 63 20 160 572.0 15,730 64 22 210 346.1 26,000 6S 25 320 149.3 60.280 66 18 110 1323.0 7.178 67 9500,0 20 150 714.5 13.290 68 22 200 407.1 28.340 69 25 300 184.2 51.560 70 18 105 1564.0 6.394 71 IOOOO.O 20 140 908,3 11,010 72 22 190 484.2 20.650 73 25 280 231.1 43.260 74 18 100 1862.0 5.693 75 10600.0 20 130 1179.0 8.990 76 22 180 582.5 18.190 77 25 260 295.3 55.900 78 18 95 2252.0 4.972 79 11200.0 20 125 1356.0 8.261 80 22 170 708.2 15.820 81 25 250 336.4 33.290 82 28 360 164.6 68.040 83 18 90 2759.0 4.277 84 11800.0 20 120 1580.0 7,518 85 22 160 873,6 13,510 86 25 240 385.5 30.600 87 28 340 198.6 59.430 88 20 МО 2153,0 5.805 89 12500.0 22 150 1094,0 11.430 90 25 220 526.8 24.190 91 28 320 242.1 51.690 92 20 105 2556.0 5.165 93 13200.0 22 140 1400.0 9.426 94 25 210 605.3 21.800 95 28 300 299.6 44.060 % 32 420 161.7 74.960 97 20 100 3066.0 4.567 98 14000.0 22 130 1822.0 7,685 99 25 200 715.1 19.580 IÛ0 28 280 376.8 37,160 101 32 400 206.2 67.900 С. 4 ГОСТ 13769-86 Продахжение Номер no ni пик Сила пружины при максимальной деформации Г). 11 Диамс|р ирополоки d. мм Наружный диаметр пружины. /),. мм Жесткость одною нитка с|. Н/мм Наибольш ни npoiiiô олиого шика л’}, мм 102 22 125 2101.0 7,140 103 15000,0 25 190 853,1 17.580 104 28 260 482.8 31.060 105 32 380 244.1 61,450 IU6 22 120 2439.0 6.559 107 16000,0 25 180 1029,1 15,550 108 28 250 551,1 25.970 109 32 360 291,2 54.950 110 22 МО 3369.0 5,046 Iii 17000.0 25 170 1252.0 13,580 112 28 240 633,1 26.850 ИЗ 32 340 352,2 48.270 114 36 480 188,2 90,350 115 25 160 1558.0 11.560 116 18000,0 28 220 851.9 21.130 117 32 320 430.2 41.840 118 36 450 232.0 77.590 119 25 150 1962.0 9.684 120 19000,0 28 210 1001.0 18.990 121 32 300 553.9 35.590 122 36 420 290.7 65.360 123 25 140 2519.0 7.939 124 20000.0 28 200 1187,0 16,850 125 32 280 673.7 29.690 126 36 400 341.4 58.570 127 25 130 3311.0 6,404 128 212(10,0 28 190 1418.0 14.950 129 32 260 867.1 24.450 130 36 380 404.4 52,430 131 40 530 213.5 99.320 132 25 125 3832.0 5.846 133 224ÙO.O 28 180 1716.0 13.060 134 32 250 992.7 22.560 135 36 360 483.9 46.290 136 40 500 258.0 86.820 137 28 170 2108.0 11,190 138 23600.0 32 240 1142.0 20.670 139 36 340 S46.6 40.290 140 40 4X0 294.8 80.060 141 28 160 2621.0 9.536 142 25000.0 32 220 1550.0 16.120 143 36 320 718.1 34.820 144 40 450 364.3 68,610 ГОСТ 13769-86 С. 5 Прмкижение Номер мошниц Сила пружины при максимальной деформации Г). H Диаметр проволоки J. мм Наружный диаметр пружины. D,. мм Жесткость одною витка f|, H /мм Наибольш ни протиб одного витка Vj. мм 145 28 150 3321.0 7.981 146 26500.0 32 210 1825.0 14.520 147 36 300 895.9 29.580 148 40 420 457.6 57.910 149 28 140 4292.0 6.524 150 28000.0 32 200 2167.0 12.920 151 36 280 1132.0 24.740 152 40 400 538.3 52.020 153 45 600 235,5 118.900 154 32 190 2606.0 11,510 155 30000,0 36 260 1464.0 20,490 156 40 380 639.0 46.940 157 45 560 294.5 101,900 158 32 180 3170.0 9,936 159 31500.0 36 250 1680.0 18.760 160 40 360 766.3 41,100 161 45 530 353.6 89.350 162 32 170 3910.0 8.567 163 33500,0 36 240 1938.0 17.280 164 40 340 930.1 36.010 165 45 500 427.1 78.430 166 50 670 257.2 130.300 167 32 160 4900,0 7.245 168 35500.0 36 220 2644.0 13.430 169 40 320 1144.0 31.030 170 45 480 488,2 72.710 171 50 630 314.2 112,900 172 36 210 3124.0 12.000 173 37500.0 40 300 1429.0 26,240 174 45 450 605.6 61.920 175 50 600 368.5 101.800 176 36 200 3732.0 10.710 177 40000.0 40 280 1817.0 22.020 178 45 420 762.8 52.440 179 50 560 462.2 86.530 180 56 750 288,6 138.600 181 36 190 4500,0 9,413 182 42500.0 40 260 2358.0 18.020 183 45 400 899,1 47,270 184 50 530 554.5 76.650 185 56 710 344,9 123.200 С. 6 ГОСТ 13769-86 Лродагжение Номер 1 Knill! III! Сила пружины при максимальном деформации Г). II Диаметр проволоки J. мм Наружный диаметр пружины. /),. мм Жесткость одною нитка f|, H/мм Наибольш ни прошб одного шика s’y, мм 186 36 180 5513.0 8,160 187 45000,0 40 250 2712.0 16.600 188 45 380 1072.0 41.970 189 50 500 672.9 66.880 1% 56 670 415.4 108.300 191 40 240 3139.0 15.130 192 47500.0 45 360 1287,0 36.900 193 50 480 771.1 61,600 194 56 630 510,1 93.120 195 40 220 4307.0 11,610 196 50000,0 45 340 1568.0 31.900 197 50 450 958.0 52.190 198 56 600 599.3 83.430 199 63 850 317.1 157,700 200 40 210 5111.0 10,370 201 53000,0 45 320 1935.0 27.400 202 50 420 1211,0 43.780 203 56 560 753.6 70.330 204 63 800 386.0 137,280 205 40 200 6131.0 9.134 206 56000.0 45 300 2422.0 23.120 207 50 400 1430.0 39.150 208 56 530 905.9 61.810 209 63 750 476.6 117.500 210 45 280 3104.0 19.330 211 60000,0 50 380 1706.0 35,170 212 56 500 1102.0 54.430 213 63 710 570,5 105,160 214 45 260 4048.0 15.570 215 63000.0 50 360 2058.0 30.610 216 56 480 1266.0 49.750 217 63 670 691.0 91.170 218 45 250 4670.0 14.350 219 67000.0 50 340 2514.0 26.650 220 56 450 1577,0 42.480 221 63 630 847.8 79.030 222 70 950 345.7 193.800 223 45 240 5425.0 13.090 224 71000.0 50 320 3115.0 22,790 225 56 420 2000.0 35.490 226 63 600 998.0 71.140 227 70 900 412.0 172.300 ГОСТ 13769-86 С. 7 Прмкижение Номер но m пик Сила пружины нрн максимальной деформации Г). 11 Диаме|р прополоки d. мм Наружный диаметр пружины. /),. мм Жесткость одною нитка С|, Н/мм Наибольш и П протиб одного шика л’у, мм 228 45 220 7500,0 10.000 229 75000,0 50 300 3924.0 19.110 230 56 400 2370.0 31.650 231 63 560 1259.0 59.580 232 70 850 496.5 151.100 233 50 280 5039.0 15.870 234 80000.0 56 380 2837.0 28.200 235 63 530 1517.0 52.720 236 70 800 605.6 132,100 237 50 260 6620.0 12.840 238 85000.0 56 360 3434.0 24.750 239 63 500 1852.0 46.180 240 70 750 749.3 113.4О0 241 50 250 7664.0 11.740 242 90000.0 56 340 4212,0 21.370 243 63 480 2131.0 42.230 244 70 710 898.7 100.100 245 56 320 5243.0 17,500 246 95000.0 63 450 2666.0 35.630 247 70 670 1091.0 87. КМ) 248 56 300 6641.0 15,060 249 1ÛOÛOO.O 63 420 3396.0 29.440 250 70 630 1342.0 74.540 251 56 280 8584.0 12.340 252 106000,0 63 400 4038.0 26,250 253 70 600 1583,0 66.980 254 112000.0 63 380 4851.0 25,090 255 70 560 2003,0 55.930 256 118000.0 63 360 5899.0 20,000 257 70 530 2421.0 48.750 258 125000.0 63 340 7271.0 17.190 259 70 500 2963,0 42.180 260 132000.0 63 320 9104,0 14,500 261 70 480 3418.0 38.610 262 140000.0 450 4294.0 32.610 263 150000.0 70 420 5495.0 27.300 264 160000.0 400 6556.0 24.410 265 170000.0 380 7908.0 21.500 266 180000.0 360 9660.0 18.640 С. 8 ГОСТ 13769-86 ИНФОРМАЦИОН Н Ы Е ДАНН Ы Е 1. РАЗРАБОТЧИКИ Б.А. Станкевич (руководитель темы): О.Н. Магницкий, д-р техн. наук; А.А. Косилов; Б.Н. Крюков; Е.А. Караштин, канд. техн. наук 2. УТВЕРЖДЕН И ВВЕДЕМ В ДЕЙСТВИЕ Постановлением Государственного комитета СССР по стандартам от 19.12.86 № 4012 3. Стандарт полностью соответствует СТ СЭВ 5616—86 4. ВЗАМЕН ГОСТ 13769-68 5. ССЫЛОЧНЫЕ НОРМАТИВНО-ТЕХНИЧЕСКИЕ ДОКУМЕНТЫ Обозначение НТД. на кошрый дана ссылка Номер пункта ГОСТ 2590-88 2 ГОСТ 13761-86 3 ГОСТ 13765-86 4 6. Ограничение срока дейс!вия снято по протоколу № 7—95 Межгосударственного Совета но стандартизации, метрологии и сертификации (ИУС 11—95) 7. ПЕРЕИЗДАНИЕ (сентябрь 1999 г.) с Изменением № I, утвержденным в ноябре 1988 г. (ИУС 2-89)
Редактор Л. В. Лфапсеико Технический редактор Л.Л. Кулнецоаа Корректор B.C. Чсрпах Компьютер.*!ля верстка С.В. Габовой
Изд. ниц. St 021007 от I0.0S.95. Сдано и набор 06.09.99. Подписано п печать 12.10.99. Усд.исчл. 1,40. Уч.-И1Л.д. I.0S.
Тираж 148 укч. С 3S03. Зак. S57.
ИПК Илдательстно стандартов. 107076. Москва. Колоде шыи пер.. 14.
Набрано и И здатсльстве на ПЭВМ Фи.ша.! ИПК Издательство ciaii.iapioa — тип. «Московский печатник”. Москва. Лилии пер., 6
Пдр St 080102
