Обувь специальная кожаная для защиты от нефти, нефтепродуктов, кислот, щелочей, нетоксичной и взрывоопасной пыли. Технические условия

Страница 1

Страница 2

Страница 3

Страница 4

Страница 5

Страница 6

Страница 7

Страница 8

Страница 9

Страница 10

Страница 11

Страница 12
МЕЖГОСУДАРСТВЕННЫЙ СТАНДАРТ
ОБУВЬ СПЕЦИАЛЬНАЯ КОЖАНАЯ
ДЛЯ ЗАЩИТЫ ОТ НЕФТИ,
НЕФТЕПРОДУКТОВ, КИСЛОТ, ЩЕЛОЧЕЙ,
НЕТОКСИЧНОЙ И ВЗРЫВООПАСНОЙ
ПЫЛИ
ТЕХНИЧЕСКИЕ УСЛОВИЯ
ИПК ИЗДАТЕЛЬСТВО СТАНДАРТОВ
Москва
МЕЖГОСУДАРСТВЕННЫЙ СТАНДАРТ
|
ОБУВЬ СПЕЦИАЛЬНАЯ КОЖАНАЯ ДЛЯ ЗАЩИТЫ ОТ НЕФТИ, НЕФТЕПРОДУКТОВ, КИСЛОТ, ЩЕЛОЧЕЙ, НЕТОКСИЧНОЙ И ВЗРЫВООПАСНОЙ ПЫЛИ Технические условия Safety leather footwear for protection from petroleum, petroleum products, |
ГОСТ |
Дата введения 01.07.85
Настоящий стандарт распространяется на специальную кожаную обувь, предназначенную для защиты работающих от сырой нефти, нефтяных масел и нефтепродуктов тяжелых фракций, кислот и щелочей концентрации до 20 %, нетоксичной и взрывоопасной пыли.
1. ВИДЫ И РАЗМЕРЫ
1.1. Обувь по виду, половозрастным группам, размерам, полнотам и условному обозначению защитных свойств должна соответствовать требованиям, указанным в табл. 1.
Таблица 1
|
Вид обуви |
Половозрастная группа обуви |
Размер по ГОСТ 11373 |
Количество полнот |
Условное обозначение защитных свойств по ГОСТ 12.4.103 |
|
Сапоги |
Мужская Женская |
240-307 217-285 |
3 |
Нс, Нм, К20, Щ20, Пн, Пв |
|
3 |
||||
|
Полусапоги, ботинки |
Мужская Женская |
240-307 217-285 |
3 |
Нс, Нм, К20, Щ20, Пн, Пв |
|
3 |
||||
|
Полусапоги с завышенными берцами |
Мужская Женская |
240-307 217-285 |
3 |
Нс, Нм, К20, Щ20, Пн, Пв |
|
3 |
||||
|
Ботинки на резинках |
Мужская Женская |
240-307 217-285 |
3 |
Нм, Пв |
|
3 |
||||
|
Полуботинки |
Мужская Женская |
240-307 217-285 |
3 |
Нм, К20, Щ20, Пн, Пв |
|
3 |
1.1.1. Допускается изготовлять обувь литьевого метода крепления с боковым обжимом на колодках одной полноты.
1.1.2. Допускается изготовлять обувь с верхом из хромовых кож и водостойкой кожи УКС с интервалом 5 мм между смежными размерами по длине.
1.1.3. Допускается изготовлять обувь для защиты от двух или нескольких перечисленных вредных производственных факторов.
1.1.4. Обувь, предназначенная для эксплуатации в условиях пониженных температур до минус 20 °С, должна изготовляться на подкладке из шерстяных, полушерстяных материалов, искусственного меха по нормативно-технической документации, до минус 30 °С — из натурального меха по нормативно-технической документации.
1.1.5. Допускается по согласованию с потребителем изготовлять обувь в двух полнотах.
(Введен дополнительно, Изм. № 1).
1.2. Исходные размеры обуви должны соответствовать нормам, указанным в табл. 2.
Таблица 2
|
Вид обуви |
Половозрастная группа обуви |
Исходный размер обуви |
Высота обуви, мм, не менее |
Ширина голенищ или берцев, мм, не менее |
|||
|
из кожи |
из искусственной кожи |
||||||
|
вверху |
внизу |
вверху |
внизу |
||||
|
Сапоги |
Мужская Женская |
270 |
395 |
198 191 |
182 171 |
204 |
187 |
|
240 |
350 |
196 |
176 |
||||
|
Полусапоги и ботинки |
Мужская Женская |
270 |
126 |
130 119 |
— — |
— — |
— — |
|
240 |
156 |
||||||
|
Полусапоги с завышенными берцами |
Мужская Женская |
270 |
220 |
— — |
182 170 |
— — |
— — |
|
240 |
180 |
||||||
|
Ботинки на резинках |
Мужская Женская |
270 |
150 |
132 127 |
— — |
— — |
— — |
|
240 |
180 |
||||||
|
Полуботинки |
Мужская Женская |
270 |
66 |
— — |
— — |
— — |
— — |
|
240 |
61 |
||||||
Примечания:
1. Высота обуви во всех полнотах одного размера не меняется.
2. Разница в высоте смежных размеров обуви должна быть, мм:
сапог — 5; полусапог и ботинок мужских — 2; полусапог и ботинок женских — 3; полуботинок — 1.
3. Разница в ширине берцев или голенищ смежных размеров и полнот обуви должна быть 2,5 мм.
4. В сапогах с разъемными голенищами, устанавливающимися по ноге, ширина голенищ вверху не нормируется.
1.2.1. Допускается по согласованию с потребителем изменять высоту обуви и ширину берцев и голенищ.
1.3. Размеры задников должны соответствовать нормам, указанным в табл. 3.
Таблица 3
|
Половозрастная группа обуви |
Исходный размер обуви |
Высота задника, мм, не более |
|||
|
по вертикали в крыльях сапог |
по линии заднего шва |
||||
|
сапог, полусапог |
ботинок, полуботинок |
||||
|
с верхом из юфтевых кож |
с верхом из хромовых кож |
||||
|
Мужская |
270 |
43 |
56 |
49 |
48 |
|
Женская |
240 |
39 |
52 |
45 |
44 |
Примечания:
1. Высота задников во всех полнотах одного размера не меняется.
2. Разница в высоте задников смежных размеров обуви должна быть 2 мм.
3. По согласованию с потребителем допускается увеличивать высоту фигурного задника сапог не более чем на 30 мм.
2. ТЕХНИЧЕСКИЕ ТРЕБОВАНИЯ
2.1. Обувь должна изготовляться в соответствии с требованиями настоящего стандарта по технологии и образцам-эталонам, утвержденным в установленном порядке.
2.2. Обувь должна изготовляться на колодках по ГОСТ 3927.
2.3. Обувь должна изготовляться следующих методов крепления: гвоздевого, гвозде-клеевого, клеевого, доппельно-клееевого, ранто-клеевого, литьевого.
2.4. Обувь в зависимости от защитных свойств должна изготовляться:
для защиты от взрывоопасной пыли (Пв) — на кожаной подошве с резиновым каблуком, гвоздевого метода крепления;
для защиты от сырой нефти (Нс) — на подошве из маслобензостойкой и маслонефтестойкой резин, полиуретана, гвоздевого, гвозде-клеевого и литьевого методов крепления;
для защиты от нефтяных масел и нефтепродуктов тяжелых фракций (Нм) — на подошвах из маслобензостойкой и маслонефтестойкой резин, полиуретана, гвоздевого, гвозде-клеевого, клеевого, доппельно-клеевого, ранто-клеевого и литьевого методов крепления;
для защиты от кислот, щелочей концентрации до 20 % (К20, Щ20) — на подошвах из кислото-щелочестойкой резины, полиуретана, гвозде-клеевого, клеевого и литьевого методов крепления;
для защиты от нетоксичной пыли (Пн) — на подошвах из маслобензостойкой, маслонефтестойкой, кислотощелочестойкой, износоустойчивой резин, полиуретана, гвоздевого, гвозде-клеевого, клеевого и литьевого методов крепления.
2.5. На наружные детали верха сапог, полусапог и ботинок применяют: юфтевую кожу для верха обуви из шкур крупного рогатого скота по ГОСТ 485, термоустойчивую юфтевую кожу хромового дубления, водостойкую кожу УКС по нормативно-технической документации.
Допускается применять:
на голенища сапог, берцы полусапог и ботинок, задние наружные ремни, задники, клапаны, язычки, манжеты, ремни для застежки — юфтевую кожу из свиных шкур по ГОСТ 485;
на голенища сапог — обувную кирзу по ГОСТ 9333, шарголин по ГОСТ 9277; эластоискожу-Т обувную по ТУ 17-21-446;
на детали верха ботинок — хромовую кожу для верха обуви из шкур крупного рогатого скота по ГОСТ 939 и хромовую кожу из шкур яловки средней и тяжелой, бычину легкую и тяжелую по нормативно-технической документации.
(Измененная редакция, Изм. № 1).
2.5.1. На наружные детали верха полуботинок применяют хромовую кожу для верха обуви из шкур крупного рогатого скота по ГОСТ 939, хромовую кожу из шкур яловки средней и тяжелой, бычину легкую и тяжелую, водостойкую кожу УКС по нормативно-технической документации.
2.5.2. Допускается изготовлять клапаны ботинок и полуботинок, штаферки ботинок из винилискожи — ТР по нормативно-технической документации или других искусственных материалов, по качеству не уступающих указанным.
2.6. На внутренние детали верха обуви применяют:
кожу для подкладки обуви по ГОСТ 940 (за исключением овчины), подкладочный спилок по нормативно-технической документации.
Допускается применять:
на поднаряды сапог и полусапог, подблочники и штаферки — юфтевую кожу для верха обуви по ГОСТ 485, хромовую кожу для верха обуви по ГОСТ 939, термоустойчивую юфтевую кожу хромового дубления, водостойкую кожу УКС и хромовую кожу из шкур яловки средней и тяжелой, бычину легкую и тяжелую по нормативно-технической документации;
на задние внутренние ремни, карманы для задников и подшивку сапог — юфтевую кожу верха обуви по ГОСТ 485, термоустойчивую юфтевую кожу хромового дубления и водостойкую кожу УКС по нормативно-технической документации;
на подшивку сапог, подкладку союзки и берцев полусапог — двухслойную кирзу, башмачное полотно, бумазею-корд по ГОСТ 19196;
на подкладку ботинок и полуботинок — диагональ, башмачное полотно по ГОСТ 19196 или другие материалы, по качеству не уступающие указанным.
2.7. На детали подкладки утепленной обуви применяют:
искусственный мех по ОСТ 17-793-79, шерстяные и полушерстяные ткани по ОСТ 17-73-86, натуральный мех по нормативно-технической документации или другие материалы, по качеству не уступающие указанным.
Допускается на подкладку верхней части голенищ применять башмачное полотно и двухслойную кирзу по ГОСТ 19196.
2.8. На подкладку под штаферку в ботинках применяют эластичный полиуретановый поропласт по нормативно-технической документации или другие материалы, по качеству не уступающие указанному.
2.9. Допускается манжеты для сапог, полусапог и ботинок изготовлять из кожи для подкладки обуви по ГОСТ 940 (кроме овчины), двухслойной кирзы, башмачного полотна по ГОСТ 19196, искусственной кожи, башмачной резины по нормативно-технической документации.
2.9.1. Допускается изготовлять манжеты из всех участков перчаточной кожи толщиной 0,7 — 1,0 мм по нормативно-технической документации.
2.10. Ботинки на резинках должны изготовляться с эластичной вставкой из башмачной резины по нормативно-технической документации.
2.11. Ушки в сапогах должны изготовляться из ушковой тесьмы по нормативно-технической документации.
2.11.1. Допускается по согласованию с потребителем изготовлять сапоги без ушек.
2.12. Обувь для защиты от взрывоопасной пыли должна изготовляться с блочками, крючками, пряжками из пластических масс или цветных металлов.
Шнурки должны быть хлопчатобумажные, синтетические по нормативно-технической документации с пластмассовыми наконечниками или из сыромятины шириной 4,0 — 4,5 мм.
2.13. Наружные и внутренние детали верха из кожи должны соответствовать нормам, указанным в табл. 4.
Таблица 4
|
Наименование детали по виду обуви |
Половозрастная группа обуви |
Толщина детали, мм |
Участки кожи, из которых выкраивают деталь |
|||
|
Кожа юфтевая из шкур крупного рогатого скота или конской по ГОСТ 485, кожа юфтевая хромового дубления термоустойчивая и кожа водостойкая УКС по нормативно-технической документации |
Кожа юфтевая из свиных шкур по ГОСТ 485 |
Кожа хромовая для верха обуви из шкур крупного рогатого скота по ГОСТ 939, кожа хромовая из шкур яловки средней и тяжелой, бычины легкой и тяжелой, кожа водостойкая УКС по нормативно-технической документации |
Кожа для подкладки обуви по ГОСТ 940, спилок подкладочный по нормативно-технической документации |
|||
|
Передач для сапог, союзки для полусапог |
Мужская |
1,5 — 1,9 |
— |
— |
— |
Из чепрачной части |
|
Женская |
1,5 — 1,9 |
— |
— |
— |
||
|
Союзки для ботинок |
Мужская |
1,3 — 1,8 |
— |
1,3 — 1,8 |
— |
То же |
|
Женская |
1,2 — 1,7 |
— |
1,2 — 1,7 |
— |
||
|
Союзки для полуботинок |
Мужская |
— |
— |
1,2 — 1,7 |
— |
« |
|
Женская |
— |
— |
1,2 — 1,7 |
— |
||
|
Голенища для сапог и берцы для полусапог |
Мужская |
1,2 — 1,7 |
1,4 — 1,9 |
— |
— |
Из плотных участков |
|
Женская |
1,2 — 1,7 |
1,4 — 1,9 |
— |
— |
||
|
Берцы для ботинок |
Мужская |
1,2 — 1,7 |
1,4 — 1,9 |
1,2 — 1,7 |
— |
То же |
|
Женская |
1,2 — 1,7 |
1,4 — 1,9 |
1,2 — 1,7 |
— |
||
|
Берцы для полуботинок |
Мужская |
— |
— |
1,2 — 1,7 |
— |
« |
|
Женская |
— |
— |
1,2 — 1,7 |
— |
||
|
Задинки для сапог и полусапог |
Мужская |
1,2 — 1,7 |
1,4 — 1,9 |
— |
— |
« |
|
Женская |
1,2 — 1,7 |
1,4 — 1,9 |
— |
— |
||
|
Задинки для ботинок |
Мужская |
0,9 — 1,3 |
1,1 — 1,5 |
1,2 — 1,7 |
— |
« |
|
Женская |
0,9 — 1,3 |
1,1 — 1,5 |
1,2 — 1,7 |
— |
||
|
Задинки для полуботинок |
Мужская |
— |
— |
1,2 — 1,7 |
— |
« |
|
Женская |
— |
— |
1,2 — 1,7 |
— |
||
|
Глухие и полуглухие клапаны: |
||||||
|
для сапог и полусапог |
Мужская |
1,1 — 1,6 |
1,1 — 1,6 |
— |
— |
« |
|
Женская |
1,1 — 1,6 |
1,1 — 1,6 |
— |
— |
||
|
для ботинок |
Мужская |
0,9 — 1,3 |
1,1 — 1,5 |
0,8 — 1,2 |
— |
Из плотных участков |
|
Женская |
0,9 — 1,3 |
1,1 — 1,5 |
0,8 — 1,2 |
— |
||
|
для полуботинок |
Мужская |
— |
— |
0,8 — 1,2 |
— |
Из плотных участков |
|
Женская |
— |
— |
0,8 — 1,2 |
— |
||
|
Язычки для ботинок |
Мужская |
0,7 — 1,2 |
0,8 — 1,2 |
0,8 — 1,2 |
— |
То же |
|
Женская |
0,7 — 1,2 |
0,8 — 1,2 |
0,8 — 1,2 |
— |
||
|
Язычки для полуботинок |
Мужская |
— |
— |
0,8 — 1,2 |
— |
« |
|
Женская |
— |
— |
0,8 — 1,2 |
— |
||
|
Накладка на клапан для ботинок |
Мужская |
— |
— |
1,2 — 1,6 |
— |
« |
|
Женская |
— |
— |
1,2 — 1,6 |
— |
||
|
Задние наружные ремни: |
||||||
|
для сапог |
Мужская |
1,4 — 1,9 |
1,5 — 1,9 |
Из плотных участков, кроме пашин |
||
|
Женская |
1,3 — 1,8 |
1,5 — 1,9 |
||||
|
для полусапог и ботинок |
Мужская |
1,4 — 1,9 |
1,5 — 1,9 |
1,4 — 1,9 |
— |
То же |
|
Женская |
1,4 — 1,9 |
1,5 — 1,9 |
1,3 — 1,8 |
— |
||
|
для полуботинок |
Мужская |
— |
— |
1,4 — 1,9 |
— |
« |
|
Женская |
— |
— |
1,3 — 1,8 |
— |
||
|
Ремни для застежки |
Мужская |
1,3 — 1,8 |
1,4 — 1,9 |
1,2 — 1,7 |
— |
« |
|
Женская |
1,3 — 1,8 |
1,4 — 1,9 |
1,2 — 1,7 |
— |
||
|
Манжеты |
Мужская |
1,1 — 1,5 |
1,2 — 1,6 |
1,0 — 1,4 |
0,7 — 1,2 |
« |
|
Женская |
1,1 — 1,5 |
1,2 — 1,6 |
1,0 — 1,4 |
0,7 — 1,2 |
||
|
Поднаряды для сапог и полусапог |
Мужская |
1,0 — 1,4 |
1,1 — 1,5 |
1,1 — 1,3 |
0,9 — 1,2 |
Из плотных участков кожи |
|
Женская |
0,9 — 1,2 |
1,0 — 1,2 |
1,1 — 1,3 |
0,9 — 1,2 |
||
|
Подкладка под союзки ботинок и полуботинок |
Мужская |
— |
— |
— |
0,8 — 1,2 |
То же |
|
Женская |
— |
— |
— |
0,8 — 1,2 |
||
|
Подшивка для сапог |
Мужская |
0,8 — 1,2 |
1,0 — 1,4 |
— |
0,8 — 1,2 |
« |
|
Женская |
0,8 — 1,2 |
1,0 — 1,4 |
— |
0,8 — 1,2 |
||
|
Подкладка под берцы, цельная подкладка; подкладка под язычок, подкладка под ремни для застежки |
Мужская |
— |
— |
— |
0,8 — 1,2 |
« |
|
Женская |
0,8 — 1,2 |
|||||
|
Задние внутренние ремни и карманы для задников |
Мужская |
0,8 — 1,2 |
1,0 — 1,4 |
— |
0,8 — 1,2 |
« |
|
Женская |
0,8 — 1,2 |
1,0 — 1,4 |
« |
0,8 — 1,2 |
||
|
Подблочник, штаферка |
Мужская |
0,7 — 1,2 |
0,7 — 1,2 |
0,7 — 1,2 |
0,7 — 1,2 |
« |
|
Женская |
0,7 — 1,2 |
0,7 — 1,2 |
0,7 — 1,2 |
0,7 — 1,2 |
||
Примечание. Толщина верхней части голенищ, задних наружных ремней и берцев допускается на 0,2 мм ниже минимальных толщин, указанных в настоящей таблице. Верхней частью голенищ, задних наружных ремней и берцев считается площадь деталей на расстоянии ⅓ высоты обуви от верхнего края.
(Измененная редакция, Изм. № 1).
2.14. По согласованию с потребителем допускаются привулканизированные детали верха: задние наружные ремни, наплывы (взамен ушек из тесьмы), кант голенищ из маслобензостойкой резиновой смеси по нормативно-технической документации.
2.14.1. Допускается изготовлять без задинок обувь литьевого метода крепления с наружным задником из полиуретана по нормативно-технической документации.
2.15. Детали заготовок обуви должны быть скреплены хлопчатобумажными нитками в девять и двенадцать сложений по ГОСТ 6309 или нитками из синтетических волокон по нормативно-технической документации.
2.16. Прочность ниточных креплений деталей заготовок обуви должна соответствовать нормам, указанным в табл. 5.
Таблица 5
|
Место скрепления шва |
Вид обуви |
Разрывная нагрузка на 1 см длины шва по каждому образцу, Н, не менее |
Метод испытания |
|
|
при двух строчках |
при строчках более двух |
|||
|
Голенища с передом |
Сапоги |
150 |
160 |
По ГОСТ 9290 |
|
Берцы с союзкой |
Полусапоги |
150 |
160 |
По ГОСТ 9290 |
|
Ботинки |
150 |
160 |
||
|
Полуботинки |
150 |
— |
||
|
Задний наружный ремень с голенищами или берцами |
Сапоги, полусапоги, ботинки, полуботинки |
120 |
— |
По ГОСТ 9290 |
(Измененная редакция, Изм. № 1).
2.16.1. Допускается частично заменять ниточные швы швами горячей вулканизации из маслобензостойкой резины по нормативно-технической документации при условии обеспечения норм прочности, указанных в табл. 5.
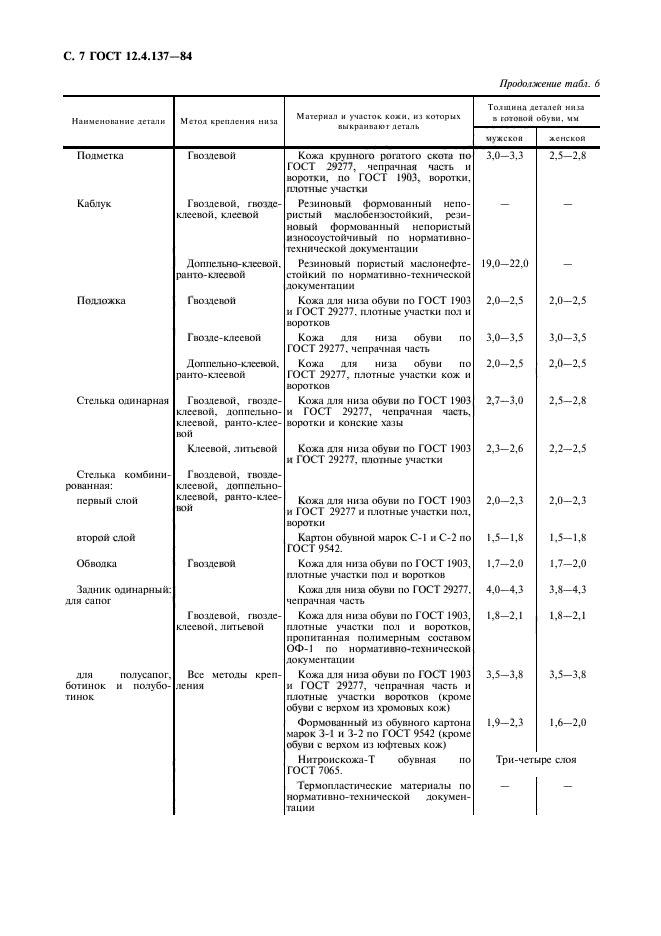
2.17. Наружные, внутренние и промежуточные детали низа обуви должны соответствовать нормам, указанным в табл. 6.
Таблица 6
|
Наименование детали |
Метод крепления низа |
Материал и участок кожи, из которых выкраивают деталь |
Толщина деталей низа в готовой обуви, мм |
|
|
мужской |
женской |
|||
|
Подошва |
Гвоздевой, гвозде-клеевой, клеевой |
Резиновая формованная непористая маслобензостойкая, резиновая формованная непористая износоустойчивая по нормативно-технической документации |
— |
— |
|
Гвозде-клеевой, клеевой |
Резиновая пористая маслонефтестойкая, резиновая пористая кислото-щелочестойкая по нормативно-технической документации |
6,8 — 8,5 |
5,8 — 7,8 |
|
|
Доппельно-клеевой, ранто-клеевой |
Резиновая пористая маслонефтестойкая по нормативно-технической документации |
6,8 — 8,5 |
— |
|
|
Литьевой |
Полиуретан по нормативно-технической документации |
— |
— |
|
|
Гвоздевой |
Кожа крупного рогатого скота по ГОСТ 29277, чепрачная часть |
4,0 — 4,3 |
3,8 — 4,1 |
|
|
Подметка |
Гвоздевой |
Кожа крупного рогатого скота по ГОСТ 29277, чепрачная часть и воротки, по ГОСТ 1903, воротки, плотные участки |
3,0 — 3,3 |
2,5 — 2,8 |
|
Каблук |
Гвоздевой, гвозде-клеевой, клеевой |
Резиновый формованный непористый маслобензостойкий, резиновый формованный непористый износоустойчивый по нормативно-технической документации |
— |
— |
|
Доппельно-клеевой, ранто-клеевой |
Резиновый пористый маслонефтестойкий по нормативно-технической документации |
19,0 — 22,0 |
— |
|
|
Подложка |
Гвоздевой |
Кожа для низа обуви по ГОСТ 1903 и ГОСТ 29277, плотные участки пол и воротков |
2,0 — 2,5 |
2,0 — 2,5 |
|
Гвозде-клеевой |
Кожа для низа обуви по ГОСТ 29277, чепрачная часть |
3,0 — 3,5 |
3,0 — 3,5 |
|
|
Доппельно-клеевой, ранто-клеевой |
Кожа для низа обуви по ГОСТ 29277, плотные участки кож и воротков |
2,0 — 2,5 |
2,0 — 2,5 |
|
|
Стелька одинарная |
Гвоздевой, гвозде-клеевой, доппельно-клеевой, ранто-клеевой |
Кожа для низа обуви по ГОСТ 1903 и ГОСТ 29277, чепрачная часть, воротки и конские хазы |
2,7 — 3,0 |
2,5 — 2,8 |
|
Клеевой, литьевой |
Кожа для низа обуви по ГОСТ 1903 и ГОСТ 29277, плотные участки |
2,3 — 2,6 |
2,2 — 2,5 |
|
|
Стелька комбинированная: первый слой |
Гвоздевой, гвозде-клеевой, доппельно-клеевой, ранто-клеевой |
Кожа для низа обуви по ГОСТ 1903 и ГОСТ 29277 и плотные участки пол, воротки |
2,0 — 2,3 |
2,0 — 2,3 |
|
второй слой |
Картон обувной марок С-1 и С-2 по ГОСТ 9542. |
1,5 — 1,8 |
1,5 — 1,8 |
|
|
Обводка |
Гвоздевой |
Кожа для низа обуви по ГОСТ 1903, плотные участки пол и воротков |
1,7 — 2,0 |
1,7 — 2,0 |
|
Задник одинарный: для сапог |
Кожа для низа обуви по ГОСТ 29277, чепрачная часть |
4,0 — 4,3 |
3,8 — 4,3 |
|
|
Гвоздевой, гвозде-клеевой, литьевой |
Кожа для низа обуви по ГОСТ 1903, плотные участки пол и воротков, пропитанная полимерным составом ОФ-1 по нормативно-технической документации |
1,8 — 2,1 |
1,8 — 2,1 |
|
|
для полусапог, ботинок и полуботинок |
Все методы крепления |
Кожа для низа обуви по ГОСТ 1903 и ГОСТ 29277, чепрачная часть и плотные участки воротков (кроме обуви с верхом из хромовых кож) |
3,5 — 3,8 |
3,5 — 3,8 |
|
Формованный из обувного картона марок З-1 и З-2 по ГОСТ 9542 (кроме обуви с верхом из юфтевых кож) |
1,9 — 2,3 |
1,6 — 2,0 |
||
|
Нитроискожа-Т обувная по ГОСТ 7065. |
Три — четыре слоя |
|||
|
Термопластические материалы по нормативно-технической документации |
— |
— |
||
|
для полусапог, ботинок и полуботинок |
Кожа для низа обуви по ГОСТ 1903, плотные участки пол и воротков, пропитанные полимерным составом ОФ-1 по нормативно-технической документации |
1,8 — 2,1 |
1,8 — 2,1 |
|
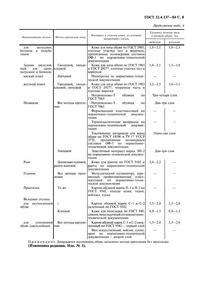
|
Задник двухслойный для сапог, полусапог и ботинок: |
Гвоздевой, гвозде-клеевой |
Кожа для низа обуви по ГОСТ 1903 и ГОСТ 29277, плотные участки пол и воротков |
1,8 — 2,1 |
1,5 — 1,8 |
|
мягкий пласт |
Литьевой |
Полиуретан по нормативно-технической документации |
— |
— |
|
жесткий пласт |
Гвоздевой, гвозде-клеевой, литьевой |
Кожа для низа обуви по ГОСТ 1903 и ГОСТ 29277, чепрачная часть и плотные воротки |
3,2 — 3,5 |
3,0 — 3,3 |
|
Нитроискожа-Т обувная по ГОСТ 7065 |
Три-четыре слоя |
|||
|
Подносок |
Все методы крепления |
Нитроискожа-Т обувная по ГОСТ 7065 |
Два-три слоя |
|
|
Формованный пластмассовый по нормативно-технической документации |
— |
— |
||
|
Термопластические материалы по нормативно-технической документации |
— |
— |
||
|
Текстильные материалы для верха обуви по ГОСТ 19196 и ТУ 17 УССР 3735, пропитанные полимерным составом ОФ-1 по нормативно-технической документации |
Один-два слоя |
|||
|
Литьевой |
Эластичный материал марки ЭП-2 по нормативно-технической документации |
Два-три слоя |
||
|
Рант |
Доппельно-клеевой, ранто-клеевой |
Кожа для рантов по ГОСТ 9182 и ранты по нормативно-технической документации |
2,0 — 2,2 |
— |
|
Геленок |
Все методы крепления |
Металлический (супинатор), деревянный, профилированный, пластмассовый по нормативно-технической документации |
— |
— |
|
Простилка |
То же |
Картон обувной марок П-1 и П-2 по ГОСТ 9542, отходы кожи, ткани, войлока, сукна |
— |
— |
|
Вкладная стелька: для неутепленной обуви |
« |
Картон обувной марок С-1 и С-2 оклеенный по ГОСТ 9542 |
1,5 — 2,0 |
1,5 — 2,0 |
|
Клеевой |
Кожа для подкладки по ГОСТ 940, спилок подкладочный по нормативно-технической документации |
0,9 — 1,3 |
0,9 — 1,3 |
|
|
для утепленной обуви (двухслойная) |
Все методы крепления |
Картон обувной марок С-1 и С-2 неоклеенный по ГОСТ 9542 — первый слой Мех искусственный, войлок, сукно, драп по нормативно-технической документации — второй слой |
1,5 — 2,0 |
1,5 — 2,0 |
Примечание. Допускается изготовлять обувь литьевого метода крепления без простилки.
(Измененная редакция, Изм. № 1).
2.18 Прочность крепления подошв в обуви должна соответствовать нормам, указанным в табл. 7.
Таблица 7
|
Метод крепления |
Прочность, крепления, не менее |
Метод испытания |
|
По каждому образцу |
||
|
Гвоздевое крепление резиновой подошвы |
130 Н/см |
По ГОСТ 9134 |
|
Гвоздевое крепление кожаной подошвы, подложки |
100 Н/см |
По ГОСТ 9134 |
|
По полупаре |
||
|
Клеевое крепление подошвы к верху |
45 Н/см |
По ГОСТ 9292 |
|
Клеевое крепление резиновой подошвы к подложке |
24 Н/см |
По ГОСТ 9292 |
|
Ниточное крепление ранта к кожаной подложке |
120 Н/см |
По ГОСТ 9134 |
|
Ниточное крепление ранта к подошве |
140 Н/см |
По ГОСТ 9134 |
|
Литьевой |
70 Н/см |
По ГОСТ 9292 |
(Измененная редакция, Изм. № 2).
2.19. Прочность крепления каблуков в обуви должна быть, Н, не менее:
800 — для мужской обуви;
600 — для женской обуви.
2.20. Для гвоздевого крепления подошвы и каблуков должны применяться латунные гвозди по нормативно-технической документации.
2.20.1. Допускается по согласованию с потребителем применять для крепления каблуков гвозди с антикоррозийным покрытием по ОСТ 17-272-78.
(Введен дополнительно, Изм. № 1).
2.21. Задники в сапогах должны быть стойкими во всех частях, в полусапогах, ботинках и полуботинках — во всех частях, кроме верхней на расстоянии 18 — 20 мм от верхнего края задника и в крылья на расстоянии 18 — 35 мм от концов.
2.21.1. Общая деформация задника не должна превышать 3,0 мм. Остаточная деформация задников из термопластических материалов должна быть не более 1,0 мм.
2.22. Обувь должна изготовляться с жесткими подносками. Подноски в обуви должны быть стойкими, за исключением ⅓ длины носка, прилегающей к союзке. Общая деформация подноска не должна превышать 3,0 мм. Остаточная деформация подносков из термопластических и эластичных материалов должна быть не более 1,0 мм.
2.23. Масса полупары обуви исходного размера должна соответствовать нормам, указанным в табл. 8.
Таблица 8
|
Вид обуви |
Половозрастная группа обуви |
Масса полупары обуви исходного размера, г, не более, при методе крепления |
|||||
|
гвоздевом на подошве из |
гвозде-клеевом |
клеевом |
литьевом |
доппельно-клеевом, ранто-клеевом |
|||
|
кожи |
резины |
||||||
| <
| |||||||
