Фартуки специальные. Технические условия
Заменяет

Страница 1

Страница 2

Страница 3

Страница 4

Страница 5

Страница 6

Страница 7

Страница 8

Страница 9

Страница 10

Страница 11

Страница 12
ГОСТ 12.4.029-76
МЕЖГОСУДАРСТВЕННЫЙ СТАНДАРТ
ФАРТУКИ СПЕЦИАЛЬНЫЕ
ТЕХНИЧЕСКИЕ УСЛОВИЯ
|
|
Москва Стандартинформ 2006 |
МЕЖГОСУДАРСТВЕННЫЙ СТАНДАРТ
|
ФАРТУКИ СПЕЦИАЛЬНЫЕ Технические условия Special aprons. |
ГОСТ |
Дата введения 01.01.78
Настоящий стандарт распространяется на фартуки, предназначенные в качестве спецодежды для защиты работающих от вредных производственных факторов.
1. ТИПЫ И ОСНОВНЫЕ РАЗМЕРЫ
1.1. Фартуки (черт. 1 — 4) должны изготовляться четырех типов:
А — для защиты передней части работающего;
Б — для защиты передней и боковых частей работающего;
В — для защиты передней, боковых и плечевых частей работающего;
Г — для защиты нижней части работающего.
Черт. 1
Черт. 2
Черт. 3
Черт. 4
1.2. Фартуки должны изготовляться трех размеров: 1, 2, 3 и трех длин: I, II и III в каждом размере в соответствии с табл. 1 и 2.
Таблица 1
|
Размер фартука |
Обхват бедер, см |
|
1 |
90 — 106 |
|
2 |
106 — 118 |
|
3 |
118 — 130 |
Таблица 2
|
Длина фартука |
Рост человека, см |
|
I |
146 — 164 |
|
II |
164 — 176 |
|
III |
176 — 188 |
1.3. Измерения готовых фартуков должны соответствовать указанным на черт. 5 — 8 и в табл. 3.
Черт. 5
Черт. 6
Черт. 7
Черт. 8
Таблица 3
см
|
Номер измерений на чертежах |
Наименование измерения |
Длина |
Размер |
Допускаемое отклонение |
||
|
1 |
2 |
3 |
||||
|
1 |
Длина посередине переда от верхнего края до низа в фартуках типов: |
|||||
|
А |
I |
90,0 |
90,0 |
90,0 |
±1,0 |
|
|
II |
100,0 |
100,0 |
100,0 |
|||
|
III |
110,0 |
110,0 |
110,0 |
|||
|
Б |
I |
95,0 |
95,0 |
95,0 |
±1,0 |
|
|
II |
105,0 |
105,0 |
105,0 |
|||
|
III |
115,0 |
115,0 |
115,0 |
|||
|
В |
I |
105,0 |
105,0 |
105,0 |
±1,0 |
|
|
II |
115,0 |
115,0 |
115,0 |
|||
|
III |
125,0 |
125,0 |
125,0 |
|||
|
Г — от шва притачивания пояса |
I |
62,0 |
62,0 |
62,0 |
±1,0 |
|
|
II |
70,0 |
70,0 |
70,0 |
|||
|
III |
78,0 |
78,0 |
78,0 |
|||
|
2 |
Длина нагрудника посередине от верхнего края горловины до шва притачивания в фартуках типа В |
I |
32,0 |
32,0 |
32,0 |
±0,5 |
|
II |
34,0 |
34,0 |
34,0 |
|||
|
III |
36,0 |
36,0 |
36,0 |
|||
|
3 |
Ширина нагрудника в верхней части в фартуках типов: |
|||||
|
А |
— |
26,0 |
28,0 |
30,0 |
±0,5 |
|
|
Б |
— |
22,0 |
24,0 |
26,0 |
||
|
В |
— |
38,0 |
40,0 |
42,0 |
||
|
4 |
Ширина нагрудника по линии притачивания в фартуках типа В |
— |
59,0 |
61,0 |
63,0 |
±0,5 |
|
5 |
Ширина на уровне боковых углов в фартуках типов: |
|||||
|
А |
— |
54,0 |
58,0 |
62,0 |
±1,0 |
|
|
Б |
— |
69,0 |
75,0 |
81,0 |
||
|
В |
— |
100,0 |
108,0 |
116,0 |
||
|
Г |
— |
64,0 |
70,0 |
76,0 |
||
|
6 |
Ширина внизу по прямой от одного края до другого в фартуках типов: |
|||||
|
А |
— |
76,0 |
80,0 |
84,0 |
±1,0 |
|
|
Б |
— |
91,0 |
97,0 |
103,0 |
||
|
В |
— |
122,0 |
130,0 |
138,0 |
||
|
Г |
— |
76,0 |
82,0 |
88,0 |
||
Примечание. По требованию потребителя и по согласованию с ЦК соответствующего профсоюза в зависимости от условий производства измерения фартуков всех типов допускается изменять, не уменьшая длины фартуков типов А, Б, В. Длина фартука типа Г может быть уменьшена не более чем на 30 см.
(Измененная редакция, Изм. № 1).
2. ТЕХНИЧЕСКИЕ ТРЕБОВАНИЯ
2.1. Материалы
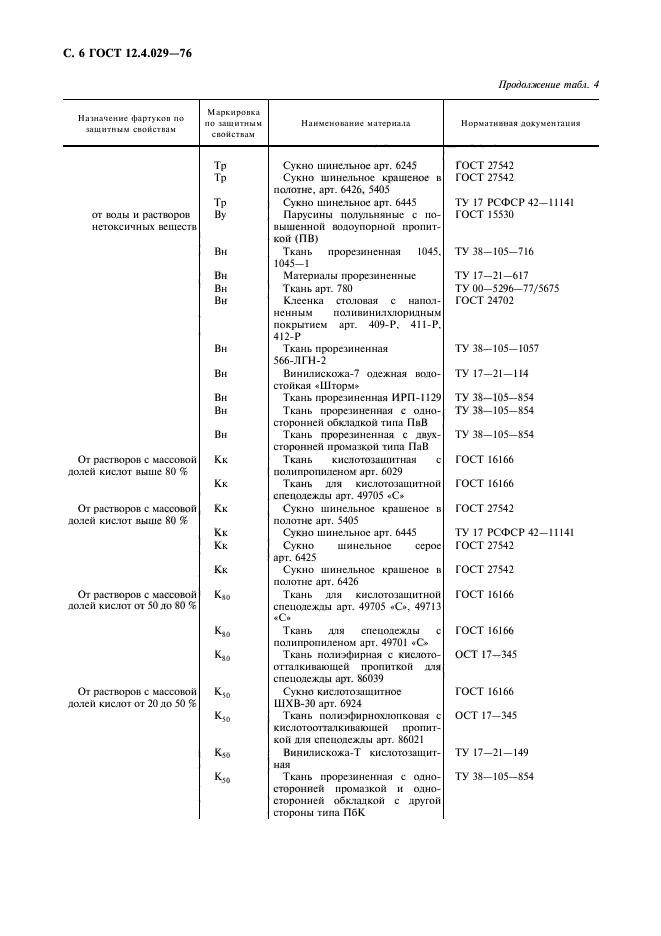
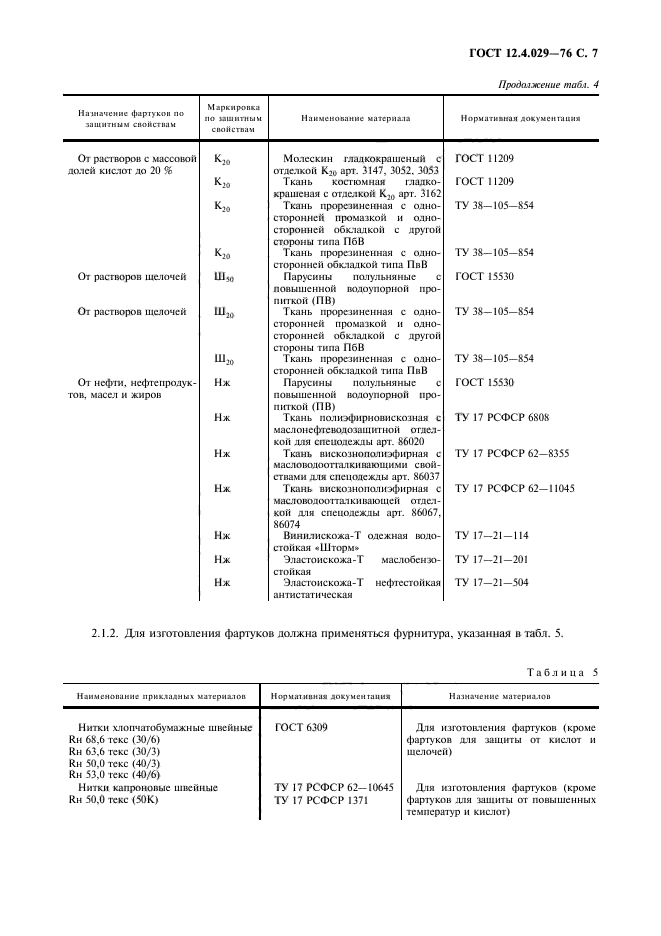
2.1.1. Фартуки должны изготовляться из материалов, указанных в табл. 4.
Таблица 4
|
Назначение фартуков по защитным свойствам |
Маркировка по защитным свойствам |
Наименование материала |
Нормативная документация |
|
От механических воздействий и общих производственных загрязнений |
Ми |
Ткани для спецодежды хлопкополиэфирные меланжевые с водоотталкивающей пропиткой (ВО) и малоусадочной отделкой, З, арт. 3596, 3597 |
ТУ 17 РСФСР 66-11049 |
|
МиЗ |
Бязь отбеленная и гладкокрашеная |
ГОСТ 29298* ТУ 17 РСФСР 60-10724 ТУ 17 Каз. ССР 01-385 ТУ 17 Груз. ССР 122 |
|
|
От механических воздействий и общих производственных загрязнений |
МиЗ |
Ткань хлопкополиэфирная гладкокрашеная, З, арт. 3489 |
ГОСТ 29298 |
|
МиЗ |
Ткань костюмная хлопчатобумажная гладкокрашеная для спецодежды из пряжи с машин БД-200, арт. 3199 |
ТУ 17 РСФСР 66-10449 |
|
|
От повышенных температур: |
Тк |
Парусины полульняные с огнезащитной пропиткой (ОП) |
ГОСТ 15530 |
|
обусловленных климатом |
Тк |
Молескин гладкокрашеный с отделкой ТО № 7, 10 |
ГОСТ 29298 |
|
от теплового излучения |
Ти |
Эластоискожа-Т теплоотражательная |
ТУ 17-21-193 |
|
Ти |
Ткани асбестовые АЛТ-5, ACT-2 |
ГОСТ 6102 |
|
|
от искр, брызг расплавленного металла, окалины |
Тр |
Материалы искрозащитные (ИМ) |
ТУ 38-103465 |
|
Тр |
Ткани асбестовые АЛТ-5, ACT-2 |
ГОСТ 6102 |
|
|
Тр |
Парусины полульняные с огнезащитной пропиткой (ОП) |
ГОСТ 15530 |
|
|
Тр |
Сукно шинельное арт. 6245 |
ГОСТ 27542 |
|
|
Тр |
Сукно шинельное крашеное в полотне, арт. 6426, 5405 |
ГОСТ 27542 |
|
|
Тр |
Сукно шинельное арт. 6445 |
ТУ 17 РСФСР 42-11141 |
|
|
от воды и растворов нетоксичных веществ |
By |
Парусины полульняные с повышенной водоупорной пропиткой (ПВ) |
ГОСТ 15530 |
|
Вн |
Ткань прорезиненная 1045, 1045-1 |
ТУ 38-105-716 |
|
|
Вн |
Материалы прорезиненные |
ТУ 17-21-617 |
|
|
Вн |
Ткань арт. 780 |
ТУ 00-5296-77/5675 |
|
|
Вн |
Клеенка столовая с наполненным поливинилхлоридным покрытием арт. 409-Р, 411-Р, 412-Р |
ГОСТ 24702 |
|
|
Вн |
Ткань прорезиненная 566-ЛГН-2 |
ТУ 38-105-1057 |
|
|
Вн |
Винилискожа-7 одежная водостойкая «Шторм» |
ТУ 17-21-114 |
|
|
Вн |
Ткань прорезиненная ИРП-1129 |
ТУ 38-105-854 |
|
|
Вн |
Ткань прорезиненная с односторонней обкладкой типа ПвВ |
ТУ 38-105-854 |
|
|
Вн |
Ткань прорезиненная с двухсторонней промазкой типа ПаВ |
ТУ 38-105-854 |
|
|
От растворов с массовой долей кислот выше 80 % |
Кк |
Ткань кислотозащитная с полипропиленом арт. 6029 |
ГОСТ 16166 |
|
Кк |
Ткань для кислотозащитной спецодежды арт. 49705 «С» |
ГОСТ 16166 |
|
|
От растворов с массовой долей кислот выше 80 % |
Кк |
Сукно шинельное крашеное в полотне арт. 5405 |
ГОСТ 27542 |
|
Кк |
Сукно шинельное арт. 6445 |
ТУ 17 РСФСР 42-11141 |
|
|
Кк |
Сукно шинельное серое арт. 6425 |
ГОСТ 27542 |
|
|
Кк |
Сукно шинельное крашеное в полотне арт. 6426 |
ГОСТ 27542 |
|
|
От растворов с массовой долей кислот от 50 до 80 % |
К80 |
Ткань для кислотозащитной спецодежды арт. 49705 «С», 49713 «С» |
ГОСТ 16166 |
|
К80 |
Ткань для спецодежды с полипропиленом арт. 49701 «С» |
ГОСТ 16166 |
|
|
К80 |
Ткань полиэфирная с кислотоотталкивающей пропиткой для спецодежды арт. 86039 |
ОСТ 17-345 |
|
|
От растворов с массовой долей кислот от 20 до 50 % |
К50 |
Сукно кислотозащитное ШХВ-30 арт. 6924 |
ГОСТ 16166 |
|
К50 |
Ткань полиэфирнохлопковая с кислотоотталкивающей пропиткой для спецодежды арт. 86021 |
ОСТ 17-345 |
|
|
К50 |
Винилискожа-Т кислотозащитная |
ТУ 17-21-149 |
|
|
К50 |
Ткань прорезиненная с односторонней промазкой и односторонней обкладкой с другой стороны типа ПбК |
ТУ 38-105-854 |
|
|
От растворов с массовой долей кислот до 20 % |
К20 |
Молескин гладкокрашеный с отделкой К20 арт. 3147, 3052, 3053 |
ГОСТ 11209 |
|
К20 |
Ткань костюмная гладкокрашеная с отделкой К20 арт. 3162 |
ГОСТ 11209 |
|
|
К20 |
Ткань прорезиненная с односторонней промазкой и односторонней обкладкой с другой стороны типа ПбВ |
ТУ 38-105-854 |
|
|
К20 |
Ткань прорезиненная с односторонней обкладкой типа ПвВ |
ТУ 38-105-854 |
|
|
От растворов щелочей |
Ш50 |
Парусины полульняные с повышенной водоупорной пропиткой (ПВ) |
ГОСТ 15530 |
|
От растворов щелочей |
Ш20 |
Ткань прорезиненная с односторонней промазкой и односторонней обкладкой с другой стороны типа ПбВ |
ТУ 38-105-854 |
|
Ш20 |
Ткань прорезиненная с односторонней обкладкой типа ПвВ |
ТУ 38-105-854 |
|
|
От нефти, нефтепродуктов, масел и жиров |
Нж |
Парусины полульняные с повышенной водоупорной пропиткой (ПВ) |
ГОСТ 15530 |
|
Нж |
Ткань полиэфирновискозная с маслонефтеводозащитной отделкой для спецодежды арт. 86020 |
ТУ 17 РСФСР 6808 |
|
|
Нж |
Ткань вискознополиэфирная с масловодоотталкивающими свойствами для спецодежды арт. 86037 |
ТУ 17 РСФСР 62-8355 |
|
|
Нж |
Ткань вискознополиэфирная с масловодоотталкивающей отделкой для спецодежды арт. 86067, 86074 |
ТУ 17 РСФСР 62-11045 |
|
|
Нж |
Винилискожа-Т одежная водостойкая «Шторм» |
ТУ 17-21-114 |
|
|
Нж |
Эластоискожа-Т маслобензостойкая |
ТУ 17-21-201 |
|
|
Нж |
Эластоискожа-Т нефтестойкая антистатическая |
ТУ 17-21-504 |
* С 1 января 2007 г. вводится в действие ГОСТ 29298-2005 (здесь и далее).
2.1.2. Для изготовления фартуков должна применяться фурнитура, указанная в табл. 5.
Таблица 5
|
Наименование прикладных материалов |
Нормативная документация |
Назначение материалов |
|
Нитки хлопчатобумажные швейные Rн 68,6 текс (30/6) Rн 63,6 текс (30/3) Rн 50,0 текс (40/3) Rн 53,0 текс (40/6) |
ГОСТ 6309 |
Для изготовления фартуков (кроме фартуков для защиты от кислот и щелочей) |
|
Нитки капроновые швейные Rн 50,0 текс (50К) |
ТУ 17 РСФСР 62-10645 ТУ 17 РСФСР 1371 |
Для изготовления фартуков (кроме фартуков для защиты от повышенных температур и кислот) |
|
Нитки лавсановые Rн 37,5 текс (33Л) Rн 62,0 текс (55Л) Rн 95,0 текс (90Л) |
ОСТ 17-257 |
Для изготовления фартуков (кроме фартуков для защиты от повышенных температур) |
|
Нитки армированные швейные Rн 45,0 текс (44-1ЛХ) Rн 69,5 текс (65ЛХ) |
ОСТ 17-921 |
Для изготовления фартуков (кроме фартуков для защиты от щелочей) |
|
Тесьма хлопчатобумажная шир. 20 — 25 мм |
ОСТ 17-582 |
Для швейных бретелей и завязок |
|
Лента эластичная помочная |
ОСТ 17-284 |
Для притачивания к бретелям фартуков типа А и кокетки фартуков типа В |
|
Лента эластичная подвязочная |
ОСТ 17-284 |
То же |
Примечание к табл. 4 и 5. По согласованию изготовителя с потребителем допускается применять материалы различного волокнистого состава и другие прикладные материалы по качеству не ниже указанных в табл. 4 и 5.
2.1.1, 2.1.2. (Измененная редакция, Изм. № 3).
2.2. Внешний вид
2.2.1. Фартук типа А (см. черт. 1) с цельнокроеным нагрудником, накладным карманом, бретелями, притачанными к верхней части нагрудника и скрещенными сзади. К бретелям притачана эластичная лента. Фартук типа Б (см. черт. 2) с цельнокроеным нагрудником, с шейной бретелью, один конец которой притачан к правому концу нагрудника, другой продевается через шлевку на левом конце и завязывается. Накладной карман разделен строчкой на две части. К верхним боковым углам притачана тесьма для завязывания.
Фартук типа В (см. черт. 3) с притачным нагрудником, переходящим сзади в кокетку, к нижней части которой притачана эластичная лента. Кокетка сзади может быть разрезная с застежкой. К боковым углам на уровне талии притачана тесьма, концы которой продеваются через петлю в эластичной ленте и завязываются спереди.
Фартук типа Г (см. черт. 4) без нагрудника, с притачным поясом, завязывающимся сзади, с мягкими складками по линии талии, с накладным карманом.
2.2.2. В зависимости от условий производства и по соглашению с потребителем фартуки допускается изготовлять по технической документации на модель, составленной с учетом требований настоящего стандарта:
с нагрудниками различной формы;
с различным количеством, формой и расположением карманов и клапанов; без карманов;
с различными способами крепления шейных бретелей и завязок;
с усилительными накладками;
с различными видами отделок (рельефы, строчки и т.д.);
с прокладкой (вата, ватин, поролон и др.);
фартуки типов А и Б — с закрытой нижней частью в виде юбки; с притачным нагрудником; с замкнутой шейной бретелью;
фартуки типа В — с цельнокроеным нагрудником;
с шейными бретелями из хлопчатобумажных тканей в фартуках из материалов с покрытием.
Комбинированные фартуки из двух и более видов тканей.
(Измененная редакция, Изм. № 1, 3).
2.3. Основные требования к изготовлению
2.3.1. Фартуки по конструкции, применяемым материалам, внешнему виду и изготовлению должны соответствовать образцу, утвержденному в установленном порядке; для изделий госзаказа — по образцу, утвержденному заказчиком.
(Измененная редакция, Изм. № 1).
2.3.2. Определение сортности готовых фартуков — по ГОСТ 12.4.031.
2.3.3 Классификация стежков, строчек и швов — по ГОСТ 12807.
Требования к стежкам, строчкам и швам — по ГОСТ 29122.
(Измененная редакция, Изм. № 2).
2.3.4. Детали фартуков выкраивают в направлении нитей основы ткани или утка.
(Измененная редакция, Изм. № 1).
2.3.5. В готовых фартуках допускаются:
надставки в боковых частях по одной с каждой стороны или одна надставка, если ширина фартука превышает ширину раскраиваемого материала, надставки несимметричные;
нагрудник из двух частей;
завязки и шейные бретели из основной ткани и не более чем из двух частей с расположением швов в долевом или поперечном направлении; поперечные швы завязок должны располагаться на расстоянии не менее 25 см от свободного конца;
обтачки бретелей фартуков типа А и пояса фартука типа Г из ткани типа бязи, сатина.
(Измененная редакция, Изм. № 3).
2.3.6. Надставки в фартуках и нагрудник в фартуках типа В притачивают настрочным швом, накладным с открытым или закрытым срезом, запошивочным, швом «взамок» или стачным. В фартуках из тяжелых материалов нагрудники должны быть притачаны двумя строчками.
2.3.7. В фартуках, изготовляемых из прорезиненных тканей, а также тканей с покрытием, швы по требованию потребителя могут быть герметизированы.
2.3.8. Боковые, верхние и нижние срезы фартуков обрабатывают швом вподгибку с открытым или закрытым срезом, тесьмой или обтачкой.
В фартуках из прорезиненных, пленочных и кожеподобных материалов, сукна, тканей с покрытием и других неосыпающихся материалов срезы допускается не обрабатывать. В нижние углы фартуков настрачивают усилители.
2.3.9. Открытые срезы в фартуках из осыпающихся тканей должны быть обметаны.
2.3.10. Верхние края карманов обрабатывают швом вподгибку с закрытым или открытым срезом или обтачкой. Карманы настрачивают одной или двумя строчками.
2.3.11. К нижним концам бретелей фартука типа А притачивают эластичную помочную ленту или в два ряда подвязочную.
2.3.12. Один конец шейной бретели в фартуках типа Б притачивают к правой стороне нагрудника, на левую — настрачивают шлевку для продевания свободного конца шейной бретели.
2.3.13. К нижней части кокетки фартука типа В притачивают эластичную помочную или в два ряда подвязочную вдвое сложенную ленту, конец которой скрепляют строчкой на расстоянии 6 — 7 см от перегиба для образования петли.
(Измененная редакция, Изм. № 3).
3. ПРАВИЛА ПРИЕМКИ И МЕТОДЫ КОНТРОЛЯ
3.1. Правила приемки фартуков — по ГОСТ 23948.
3.2. Методы контроля качества фартуков — по ГОСТ 4103.
Разд. 3. (Измененная редакция, Изм. № 1).
4. МАРКИРОВКА, УПАКОВКА, ТРАНСПОРТИРОВАНИЕ И ХРАНЕНИЕ
4.1. Маркировка фартуков — по ГОСТ 10581 и ГОСТ 12.4.103.
4.2. (Исключен, Изм. № 3).
4.3. Упаковка и транспортирование фартуков — по ГОСТ 10581.
4.4. Маркировка и упаковка фартуков, изготовляемых по госзаказу, — по ГОСТ 19159.
4.5. Маркировка транспортной тары — по ГОСТ 14192 с дополнительными указаниями наименования и количества изделий, размера, роста и года изготовления (две последние цифры).
4.6. Фартуки из прорезиненных тканей и из тканей с различными пропитками должны храниться в проветриваемых помещениях на расстоянии не менее 1 м от отопительных приборов.
4.7. (Исключен, Изм. № 3).
5. УКАЗАНИЯ ПО ЭКСПЛУАТАЦИИ
5.1. Химическая чистка изделий — по ГОСТ 12.4.169.
5.2. Стирка изделий — согласно приложению.
Раздел 5. (Введен дополнительно, Изм. № 3).
ПРИЛОЖЕНИЕ
Рекомендуемое
ПАМЯТКА-ИНСТРУКЦИЯ
по уходу за фартуками
Фартуки, изготовленные из хлопчатобумажных, льняных и смешанных с капроном или лавсаном тканей, можно стирать в растворе с любыми моющими средствами при температуре 40 °С в стиральной машине в течение 10 мин с последующей промывкой.
Фартуки, изготовленные из пленочных, прорезиненных материалов и искусственной кожи, рекомендуется промывать теплой водой.
Фартуки, изготовленные из асбестовых тканей, с покрытием или без покрытия стирке и химчистке не подвергаются.
ПРИЛОЖЕНИЕ. (Измененная редакция, Изм. № 3).
ИНФОРМАЦИОННЫЕ ДАННЫЕ
1. РАЗРАБОТАН И ВНЕСЕН Министерством легкой промышленности СССР
2. УТВЕРЖДЕН И ВВЕДЕН В ДЕЙСТВИЕ Постановлением Государственного комитета стандартов Совета Министров СССР от 11.11.76 № 2532
3. ССЫЛОЧНЫЕ НОРМАТИВНО-ТЕХНИЧЕСКИЕ ДОКУМЕНТЫ
|
Обозначение НТД, на который дана ссылка |
Номер пункта |
Обозначение НТД, на который дана ссылка |
Номер пункта |
|
ГОСТ 12.4.031-84 |
2.3.2 |
ТУ 17-21-114-76 |
2.1.1 |
|
ГОСТ 12.4.103-83 |
4.1 |
ТУ 17-21-149-76 |
2.1.1 |
|
ГОСТ 12.4.169-85 |
5.1 |
ТУ 17-21-193-77 |
2.1.1 |
|
ГОСТ 4103-82 |
3.2 |
ТУ 17-21-201-77 |
2.1.1 |
|
ГОСТ 6102-94 |
2.1.1 |
ТУ 17-21-504-84 |
2.1.1 |
|
ГОСТ 6309-93 |
2.1.2 |
ТУ 17-21-617-88 |
2.1.1 |
|
ГОСТ 10581-91 |
4.1, 4.3 |
ТУ 17 РСФСР 42-11141-86 |
2.1.1 |
|
ГОСТ 11209-85 |
2.1.1 |
ТУ 17 РСФСР 60-10724-84 |
2.1.1 |
|
ГОСТ 12807-2003 |
2.3.3 |
ТУ 17 РСФСР 62-8355-78 |
2.1.1 |
|
ГОСТ 14192-96 |
4.5 |
ТУ 17 РСФСР 62-10645-83 |
2.1.2 |
|
ГОСТ 15530-93 |
2.1.1 |
ТУ 17 РСФСР 62-11045-85 |
2.1.1 |
|
ГОСТ 16166-80 |
2.1.1 |
ТУ 17 РСФСР 66-10449-82 |
2.1.1 |
|
ГОСТ 19159-85 |
4.4 |
ТУ 17 РСФСР 66-11049-85 |
2.1.1 |
|
ГОСТ 23948-80 |
3.1 |
ТУ 17 РСФСР 1371-84 |
2.1.2 |
|
ГОСТ 24702-81 |
2.1.1 |
ТУ 17 РСФСР 6808-74 |
2.1.1 |
|
ГОСТ 27542-87 |
2.1.1 |
ТУ 17 Каз. ССР 01-385-80 |
2.1.1 |
|
ГОСТ 29122-91 |
2.3.3 |
ТУ 17 Груз. ССР 122-83 |
2.1.1 |
|
ГОСТ 29298-92 |
2.1.1 |
ТУ 38-103465-80 |
2.1.1 |
|
ОСТ 17-257-84 |
2.1.2 |
ТУ 38-105-716-84 |
2.1.1 |
|
ОСТ 17-284-87 |
2.1.2 |
ТУ 38-105-854-75 |
2.1.1 |
|
ОСТ 17-345-85 |
2.1.1 |
ТУ 38-105-1057-76 |
2.1.1 |
|
ОСТ 17-582-76 |
2.1.2 |
ТУ 00 5296-77/5675 |
2.1.1 |
|
ОСТ 17-921-82 |
2.1.2 |
4. Ограничение срока действия снято по протоколу № 3-93 Межгосударственного совета по стандартизации, метрологии и сертификации (ИУС 5-6-93)
5. ИЗДАНИЕ (август 2006 г.) с Изменениями № 1, 2, 3, утвержденными в феврале 1982 г., июле 1983 г., июне 1988 г. (ИУС 5-82, 11-83, 10-88)
СОДЕРЖАНИЕ
|
1. Типы и основные размеры.. 1 2. Технические требования. 6 3. Правила приемки и методы контроля. 10 4. Маркировка, упаковка, транспортирование и хранение. 10 5. Указания по эксплуатации. 11 Приложение Памятка-инструкция по уходу за фартуками. 11 |









