Топлива термостабильные Т-6 и Т-8В для реактивных двигателей. Технические условия

Страница 1

Страница 2

Страница 3

Страница 4

Страница 5

Страница 6

Страница 7

Страница 8

Страница 9

Страница 10

Страница 11
ГОСТ 12308-89
МЕЖГОСУДАРСТВЕННЫЙ СТАНДАРТ
ТОПЛИВА ТЕРМОСТАБИЛЬНЫЕ Т-6 и Т-8В
ДЛЯ РЕАКТИВНЫХ ДВИГАТЕЛЕЙ
ТЕХНИЧЕСКИЕ УСЛОВИЯ
|
|
Москва Стандартинформ 2009 |
МЕЖГОСУДАРСТВЕННЫЙ СТАНДАРТ
|
ТОПЛИВА ТЕРМОСТАБИЛЬНЫЕ Т-6 и Т-8В Технические условия Thermostable fuels Т-6 and Т-8В for jet engines. |
ГОСТ |
Дата введения 01.07.90
Настоящий стандарт распространяется на термостабильные топлива для реактивных двигателей, получаемые из нефти и продуктов ее переработки.
1. ТЕХНИЧЕСКИЕ ТРЕБОВАНИЯ
1.1. Топлива должны изготовляться по технологии и с присадками, не причиняющими вреда жизни и здоровью граждан, окружающей среде, имуществу физических и юридических лиц, жизни и здоровью животных и растений.
Топлива не должны содержать поверхностно-активных и других химических веществ в количестве, ухудшающем их свойства.
(Новая редакция, Изм. № 2).
1.2. Характеристики
1.2.1. По физико-химическим и эксплуатационным показателям топлива должны соответствовать требованиям и нормам, указанным в таблице.
|
Наименование показателя |
Норма для марки |
Метод |
|
|
Т-6 |
Т-8В |
||
|
1. Плотность при 20 °С, кг/м3, не менее |
840 |
800 |
По ГОСТ 3900 |
|
2. Фракционный состав: |
По ГОСТ Р ЕН ИСО 3405 или ГОСТ 2177 |
||
|
температура начала перегонки °С, не ниже |
195 |
165 |
|
|
10 % отгоняется при температуре, °С, не выше |
220 |
185 |
|
|
50 % перегоняется при температуре, °С, не выше |
255 |
Не нормируется |
|
|
90 % перегоняется при температуре, °С, не выше |
290 |
Не нормируется |
|
|
98 % перегоняется при температуре, °С, не выше |
315 |
280 |
|
|
остаток от разгонки, %, не более |
Не нормируется |
Не нормируется |
|
|
потери от разгонки, %, не более |
Не нормируется |
Не нормируется |
|
|
3. Кинематическая вязкость, мм2/с, при температуре: |
По ГОСТ 33 |
||
|
минус 20 °С, не более |
16 |
8 |
|
|
минус 40 °С, не более |
60 |
16 |
|
|
20 °С |
Не более 4,5 |
Не менее 1,5 |
|
|
4. Низшая теплота сгорания, кДж/кг, не менее |
42900 |
По ГОСТ 11065 или по ГОСТ 21261 и по п. 3.2 настоящего стандарта |
|
|
5. Высота некоптящего пламени, мм, не менее |
20 |
По ГОСТ 4338 |
|
|
6. Кислотность, мг КОН на 100 см3 топлива: |
По ГОСТ 5985 и по п. 3.3 настоящего стандарта |
||
|
в топливе без противоизносной присадки, не более |
0,5 |
— |
|
|
в топливе с противоизносной присадкой |
0,4 — 0,7 |
||
|
на месте потребления, не более |
0,7 |
||
|
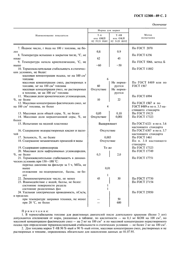
7. Йодное число, г йода на 100 г топлива, не более |
0,8 |
0,9 |
По ГОСТ 2070 |
|
8. Температура вспышки в закрытом тигле, °С, не ниже |
62 |
45 |
По ГОСТ 6356 |
|
9. Температура начала кристаллизации, °С, не выше |
-60 |
-50 |
По ГОСТ 5066, метод Б |
|
10. Термоокислительная стабильность в статических условиях, не более: |
По ГОСТ 11802 |
||
|
массовая концентрация осадка, мг на 100 см3топлива |
6 |
||
|
массовая концентрация смол, растворимых в топливе, мг на 100 см3 топлива |
60 |
Не нормируется |
По ГОСТ 8489 или по ГОСТ 1567 |
|
массовая концентрация смол, не растворимых в топливе, мг на 100 см3 топлива |
Отсутствие |
Не нормируется |
|
|
11. Объемная (массовая) доля ароматических углеводородов, %, не более |
8 (10) |
20 (22) |
По ГОСТ Р 52063 (ГОСТ Р ЕН 12916, ГОСТ 6994 |
|
12. Массовая концентрация фактических смол, мг на 100 см3 топлива, не более |
4 |
По ГОСТ 1567 и по ГОСТ 8489 и по п. 3.5 настоящего стандарта |
|
|
13. Массовая доля общей серы, %, не более |
0,05 |
0,10 |
По ГОСТ Р 51947 или ГОСТ Р 51859, или ГОСТ 19121 |
|
14. Массовая доля меркаптановой серы, %, не более |
Отсутствие |
0,001 |
По ГОСТ Р 52030 или ГОСТ 17323 |
|
15. Испытание на медной пластинке |
Выдерживает |
По ГОСТ 6321 и по п. 3.6 настоящего стандарта |
|
|
16. Содержание водорастворимых кислот и щелочей |
Отсутствие |
По ГОСТ 6307 и по п. 3.7 настоящего стандарта |
|
|
17. Зольность, %, не более |
0,003 |
По ГОСТ 1461 |
|
|
18. Содержание механических примесей и воды |
Отсутствие |
По п. 3.8 настоящего стандарта |
|
|
19. Содержание сероводорода |
То же |
По ГОСТ 17323 |
|
|
20. Массовая доля нафталиновых углеводородов, %, не более |
0,5 |
2,0 |
По ГОСТ 17749 |
|
21. Термоокислительная стабильность в динамических условиях при 150 — 180 °С: |
По ГОСТ 17751 |
||
|
перепад давления на фильтре за 5 ч, МПа, не выше |
0,01 |
||
|
отложения на подогревателе, баллы, не более |
1 |
||
|
22. Люминометрическое число, не менее |
45 |
50 |
По ГОСТ 17750 |
|
23. Взаимодействие с водой, баллы, не более: |
По ГОСТ 27154 |
||
|
состояние поверхности раздела |
1 |
||
|
состояние разделенных фаз |
1 |
||
|
24. Удельная электрическая проводимость, пСм/м, |
По ГОСТ 25950 |
||
|
— без антистатической присадки, не более |
10 |
10 |
|
|
— с антистатической присадкой |
50 — 600 |
50 — 600 |
|
|
при 20 °С, не более |
— |
600 |
|
|
25. Термоокислительная стабильность при контрольной температуре не ниже 275 °С: |
По ГОСТ Р 52954 |
||
|
— перепад давления на фильтре, мм рт. ст., не более |
25 |
25 |
|
|
— цвет отложений на трубке, баллы по цветовой шкале (при отсутствии нехарактерных отложений), не более |
3 |
3 |
|
Примечания:
1. В термостабильном топливе для реактивных двигателей после длительного хранения (более 3 лет) допускаются отклонения от норм, указанных в таблице, по кислотности — на 0,1 мг КОН на 100 см3, по массовой концентрации фактических смол — на 2 мг на 100 см3 и по массовой концентрации нерастворимого осадка при определении термоокислительной стабильности в статических условиях — не более 2 мг на 100 см3.
2. Для показателя «массовая доля меркаптановой серы» за отсутствие принимается содержание менее указанного минимального значения диапазона измерения по ГОСТ Р 52030.
3.(Исключен, Изм. № 2).
4. По требованию потребителя отдельные партии топлива марки Т-6 должны изготовляться с вязкостью не более 25 мм2/с при температуре минус 40 °С.
5. Топлива, предназначенные для применения во всех климатических районах, за исключением районов I1 и II1 (по ГОСТ 16350), допускается вырабатывать с температурой начала кристаллизации не выше минус 50 °С.
Топлива, применяемые в холодном I1 (по ГОСТ 16350) и арктическом II1 (по ГОСТ 16350) климате, должны иметь температуру начала кристаллизации не выше минус 60 °С.
6. Допускается реализация топлива для реактивных двигателей с температурой вспышки в закрытом тигле не ниже 38 °С.
(Измененная редакция, Изм. № 1, 2, 3).
1.2.2. Требования безопасности
Термостабильные топлива для реактивных двигателей по степени воздействия на организм человека относятся к малоопасным и малотоксичным продуктам 4-го класса опасности по ГОСТ 12.1.007.
Предельно допустимая концентрация паров углеводородов, входящих в состав топлив, в воздухе рабочей зоны помещения составляет 300 мг/м3 (в соответствии с ГОСТ 12.1.005) и определяется по ГОСТ 12.1.014.
Топливо марки Т-8В представляет собой легковоспламеняющуюся жидкость, выкипающую в пределах 165 — 280 °С, топливо марки Т-6 — горячую жидкость, выкипающую в пределах 195 — 315 °С.
Температура самовоспламенения топлива марок Т-6 и Т-8В составляет 220 °С.
Верхний температурный предел воспламенения топлива марок Т-6 и Т-8В составляет 105 °С, нижний — 57 °С для марки Т-8В и 75 °С — для марки Т-6; верхний концентрационный предел воспламенения паров топлив составляет 8 % (об.), нижний — 1,5 % (об.).
Термостабильные топлива для реактивных двигателей могут раздражать слизистые оболочки глаз и носоглотки, вызывать раздражение кожных покровов.
В помещении для хранения и использования реактивных топлив запрещается обращение с открытым огнем; искусственное освещение должно быть во взрывобезопасном исполнении.
При вскрытии тары не допускается использовать инструменты, дающие при ударе искру.
При разливе топлива необходимо собрать его в отдельную тару и место разлива протереть сухой тряпкой; при разливе на открытой площадке место разлива следует засыпать песком с последующим его удалением.
При загорании топлива применяют следующие средства пожаротушения: распыленную воду, пену; при объемном тушении — углекислый газ, состав СЖБ, состав 3,5 и перегретый пар.
Помещение, в котором проводится работа с топливом, должно быть снабжено приточно-вытяжной вентиляцией. При работе применяют индивидуальные средства защиты согласно нормам, утвержденным в установленном порядке.
Емкости для термостабильного топлива для реактивных двигателей должны быть защищены от статического электричества.
1.3. Маркировка топлив — по ГОСТ 1510.
1.4. Упаковка топлив — по ГОСТ 1510.
2. ПРИЕМКА
2.1. Термостабильные топлива для реактивных двигателей принимают партиями. Партией считают любое количество топлива, изготовленное в ходе непрерывного технологического процесса, однородное по показателям качества, сопровождаемое одним документом о качестве по ГОСТ 1510. Дополнительно в документе должно быть указано количество противоизносной, антиокислительной и антистатической присадок, введенных при изготовлении топлива.
Для проверки качества топлива проводят приемосдаточные испытания.
При получении неудовлетворительных результатов испытаний хотя бы по одному из показателей проводят повторные испытания вновь отобранной пробы от той же выборки. Результаты повторных испытаний распространяются на всю партию.
В случае разногласий арбитражным методом испытаний качества топлива устанавливается метод, указанный в таблице первым
(Измененная редакция, Изм. № 2).
2.2. Периодические испытания по показателю «термическая стабильность в динамических условиях» проводятся один раз в 3 месяца заводом-изготовителем. При получении неудовлетворительных результатов периодических испытаний изготовитель переводит испытания по данному показателю в категорию приемосдаточных для получения положительных результатов не менее чем на трех партиях подряд.
2.3. Каждая партия каждой марки продукции, находящаяся в обороте (за исключением розничной торговли), должна иметь паспорт продукции. Паспорт должен соответствовать требованиям пункта 29 технического регламента «О требованиях к автомобильному и авиационному бензину, дизельному и судовому топливу, топливу для реактивных двигателей и топочному мазуту», утвержденного постановлением Правительства Российской Федерации от 27 февраля 2008 г. № 118, и настоящего стандарта.
2.4. При реализации продукции продавец по требованию приобретателя обязан предоставить ему паспорт продукции, а также другие документы, содержащие следующие сведения:
а) наименование продукции и ее целевое назначение;
б) информация о документах, содержащих нормы, которым соответствует данная продукция;
в) наименование изготовителя, его местонахождение, страна происхождения продукции, наименование и местонахождение (адрес, телефон) продавца;
г) номер партии продукции, поставленной для реализации;
д) масса нетто продукции в таре;
е) сведения о наличии (наименование, содержание и свойства) присадок, добавленных в продукцию, или об их отсутствии;
ж) знаки опасности продукции в соответствии с требованиями законодательства Российской Федерации в области пожарной, экологической, а также биологической безопасности;
з) сведения о сертификате соответствия;
и) сведения по безопасному хранению, транспортированию, реализации, применению и утилизации продукции.
2.3, 2.4 (Введены дополнительно, Изм. № 2).
3. МЕТОДЫ ИСПЫТАНИЙ
3.1. Отбор проб — по ГОСТ 2517.
Объем объединенной пробы — 104 дм3.
100 дм3 топлива, отобранного в бочки или бидоны из оцинкованного железа, алюминия или нержавеющей стали, предназначены для определения термической стабильности по ГОСТ 17751.
При возникновении разногласий в оценке качества используют объединенную пробу, оставленную на хранение, в количестве 2 дм3.
3.2. При разногласиях в оценке качества топлив для реактивных двигателей по показателю «низшая теплота сгорания» определение проводят по ГОСТ 21261.
3.3. Кислотность определяют по ГОСТ 5985 со следующими дополнениями.
Для анализа применяют этиловый спирт по ГОСТ 18300 (высшего сорта), предварительно проверив на отсутствие щелочной реакции. Для этого 50 см3 спирта кипятят 5 мин с обратным холодильником, добавляют 8 — 9 капель нитрозинового желтого индикатора.
При зеленом окрашивании спирт перегоняют из колбы с елочным дефлегматором до получения 90 %-ного отгона. Перегнанный спирт вновь проверяют на отсутствие щелочной реакции. При получении после проверки желтого окрашивания спирт не перегоняют и используют для анализа. Для этого спирт в горячем состоянии нейтрализуют по ГОСТ 5985 до первого перехода окраски в зеленую. К нейтрализованному горячему спирту приливают 50 см3 испытуемого топлива и содержимое вновь кипятят 5 мин. При титровании с топливом индикатор больше не добавляют.
Титрование проводят из микробюретки с наименьшей ценой деления 0,01 см3.
3.4. (Исключен, Изм. № 1).
3.5. При разногласиях в оценке качества топлив по показателю «массовая концентрация фактических смол» его определяют по ГОСТ 1567.
3.6. Топливо считается выдержавшим испытание, если медная пластинка не изменила первоначальный цвет и блеск или имеют место изменения цвета пластинки на оранжевый, темно-оранжевый или малиновый, а также отдельные пятна тех же цветов.
3.7. Содержание водорастворимых кислот и щелочей определяют индикаторным методом. При проведении испытания в делительную воронку берут 100 см3 топлива и 10 см3 дистиллированной воды.
3.8. Определение содержания механических примесей и воды
Топливо, налитое в стеклянный цилиндр диаметром 40 — 55 мм, при рассмотрении его в проходящем свете должно быть прозрачным и не должно содержать взвешенных и осевших на дно цилиндра механических примесей и воды. В случае разногласий по содержанию механических примесей их определяют по ГОСТ 10577, при этом массовая доля механических примесей в топливах не должна превышать 0,0003 %.
4. ТРАНСПОРТИРОВАНИЕ И ХРАНЕНИЕ
Транспортирование и хранение — по ГОСТ 1510.
5. ГАРАНТИИ ИЗГОТОВИТЕЛЯ
5.1. Изготовитель гарантирует соответствие качества топлива требованиям настоящего стандарта при соблюдении условий транспортирования и хранения.
5.2. Гарантийный срок хранения термостабильных топлив для реактивных двигателей: 10 лет со дня изготовления — для топлива марки Т-6 и 5 лет — для топлива марки Т-8В.
ИНФОРМАЦИОННЫЕ ДАННЫЕ
1. УТВЕРЖДЕН Министерством нефтеперерабатывающей и нефтехимической промышленности СССР
РАЗРАБОТЧИКИ
Т. X. Мелик-Ахназаров, канд. техн. наук; В. В. Булатников, канд. техн. наук; П. С. Дейнеко, канд. техн. наук; Е. М. Бушуева, канд. хим. наук; С. В. Бнатов, канд. хим. наук; 3. Н. Могучая, И. X. Городничева
2. УТВЕРЖДЕН И ВВЕДЕН В ДЕЙСТВИЕ Постановлением Государственного комитета СССР по стандартам от 18.07.89 № 2389
3. ВЗАМЕН ГОСТ 12308-80
4. ССЫЛОЧНЫЕ НОРМАТИВНО-ТЕХНИЧЕСКИЕ ДОКУМЕНТЫ
|
Обозначение НТД, |
Номер пункта, |
Обозначение НТД, |
Номер пункта, |
|
ГОСТ 12.1.005-88 |
1.2.2 |
ГОСТ 11065-90 |
1.2.1 |
|
ГОСТ 12.1.007-76 |
1.2.2 |
ГОСТ 11802-88 |
1.2.1 |
|
ГОСТ 12.1.014-84 |
1.2.2 |
ГОСТ 6356-75 |
1.2.1 |
|
ГОСТ 33-2000 |
1.2.1 |
ГОСТ 16350-80 |
1.2.1 |
|
ГОСТ 1461-75 |
1.2.1 |
ГОСТ 17323-71 |
1.2.1 |
|
ГОСТ 1510-84 |
1.3; 1.4; 2.1; 4 |
ГОСТ 17749-72 |
1.2.1 |
|
ГОСТ 1567-97 |
1.2.1; 3.5 |
ГОСТ 17750-72 |
1.2.1 |
|
ГОСТ 2070-82 |
1.2.1 |
ГОСТ 17751-79 |
1.2.1; 3.1 |
|
ГОСТ 2177-99 |
1.2.1 |
ГОСТ 18300-87 |
3.3 |
|
ГОСТ 2517-85 |
2.1; 3.1 |
ГОСТ 19121-73 |
1.2.1 |
|
ГОСТ 3900-85 |
1.2.1 |
ГОСТ 21261-91 |
1.2.1; 3.2 |
|
ГОСТ 4338-91 |
1.2.1 |
ГОСТ 25950-83 |
1.2.1 |
|
ГОСТ 5066-91 |
1.2.1 |
ГОСТ 27154-86 |
1.2.1 |
|
ГОСТ 5985-79 |
1.2.1; 3.3 |
ГОСТ Р 51859-2002 |
1.2.1 |
|
ГОСТ 6307-75 |
1.2.1 |
ГОСТ Р 51947-2002 |
1.2.1 |
|
ГОСТ 6321-92 |
1.2.1 |
ГОСТ Р 52030-2003 |
1.2.1 |
|
ГОСТ 6994-74 |
1.2.1 |
ГОСТ Р 52063-2003 |
1.2.1 |
|
ГОСТ 8489-85 |
1.2.1 |
ГОСТ Р 52954-2008 |
1.2.1 |
|
ГОСТ 10577-78 |
3.8 |
(Измененная редакция, Изм. № 2).
5. Ограничение срока действия снято по протоколу № 4-93 Межгосударственного совета по стандартизации, метрологии и сертификации (ИУС 4-94)
6. ИЗДАНИЕ с Изменением 1, утвержденным в декабре 1991 г. (ИУС 4-92)
Переиздание (по состоянию на июнь 2009 г.)
СОДЕРЖАНИЕ
|
1. Технические требования. 1 2. Приемка. 3 3. Методы испытаний. 4 4. Транспортирование и хранение. 5 5. Гарантии изготовителя. 5 |
